根据《泾源县2023年优质高产高效玉米推广工作方案》(泾政办发〔2023〕1号)文件精神,2023年全县计划种植优质高产高效玉米10.5万亩,其中:政府统一采购种植87033亩,农户自发种植17967亩。投入资金12559775.69元。其中:粮食高质高效项目资金2250000元、统筹整合资金6547830.69元、农户自筹资金3761945元。
2023年6月12日—6月22日,县农业农村局与县财政局、乡村振兴局组成县级综合验收组,对全县2023年优质高产高效玉米种植工作进行了全面验收,现将验收结果公示如下:
验收结果:
2023年优质高产高效玉米种植涉及94个行政村,共抽验94个行政村,抽验面积29467.1亩,抽验比例33.13%,完成率98.99%,确认政府采购种植面积87033亩。
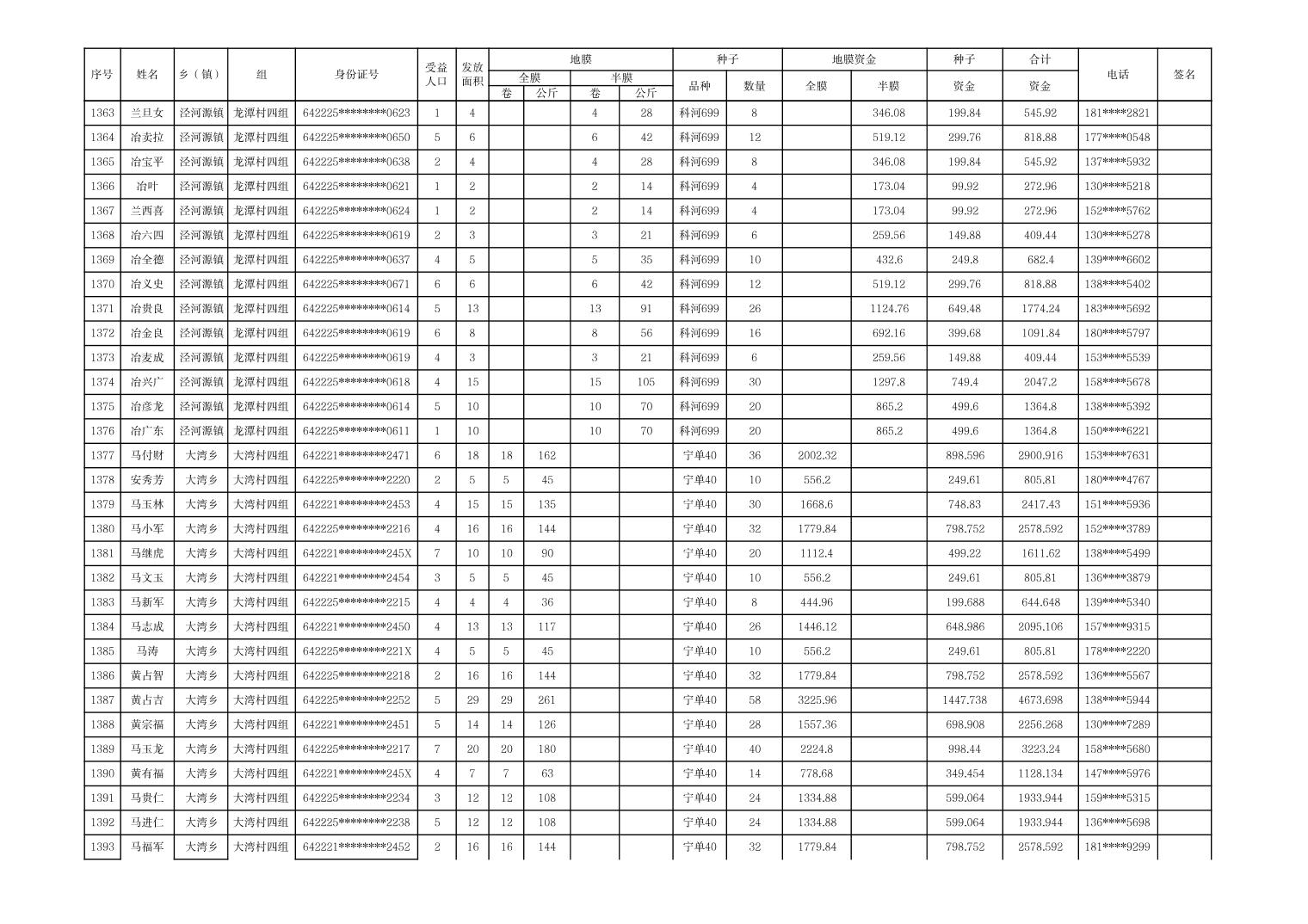
大湾乡:优质高产高效玉米种植行政村13个,共抽验13个行政村,抽验面积6999.7亩,抽验比例35.7%,完成率98%,确认覆膜种植面积19629亩。
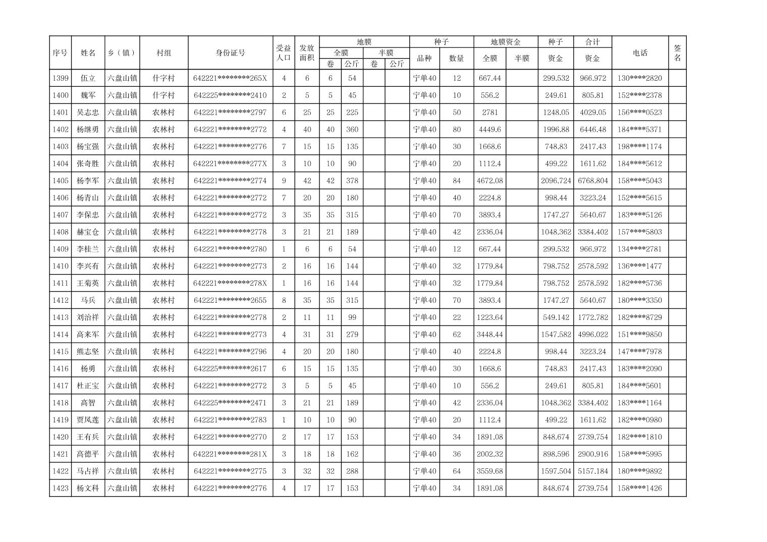
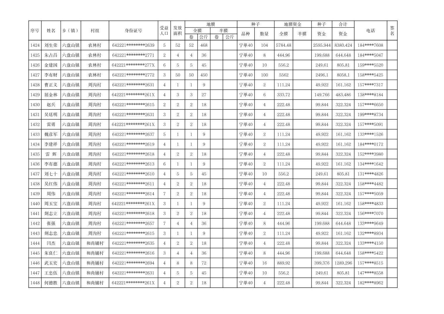
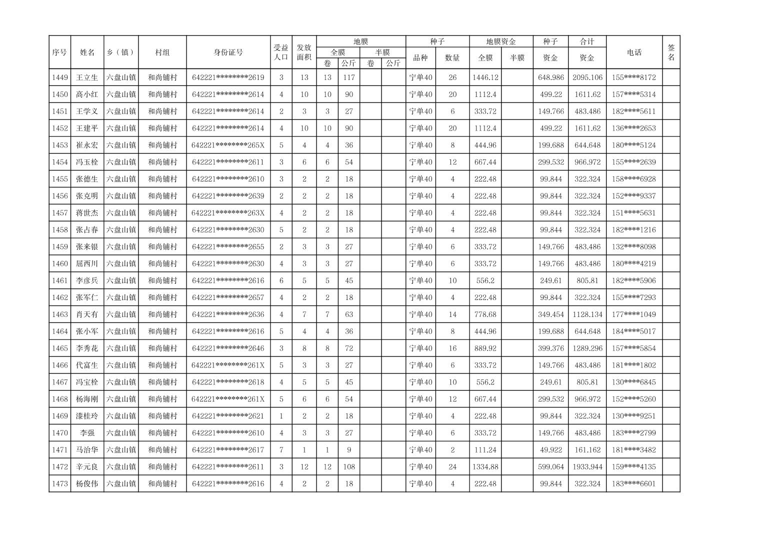
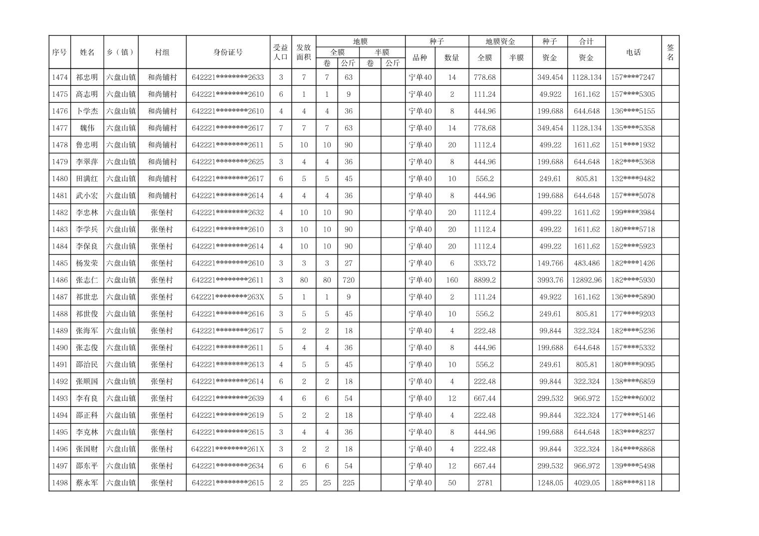
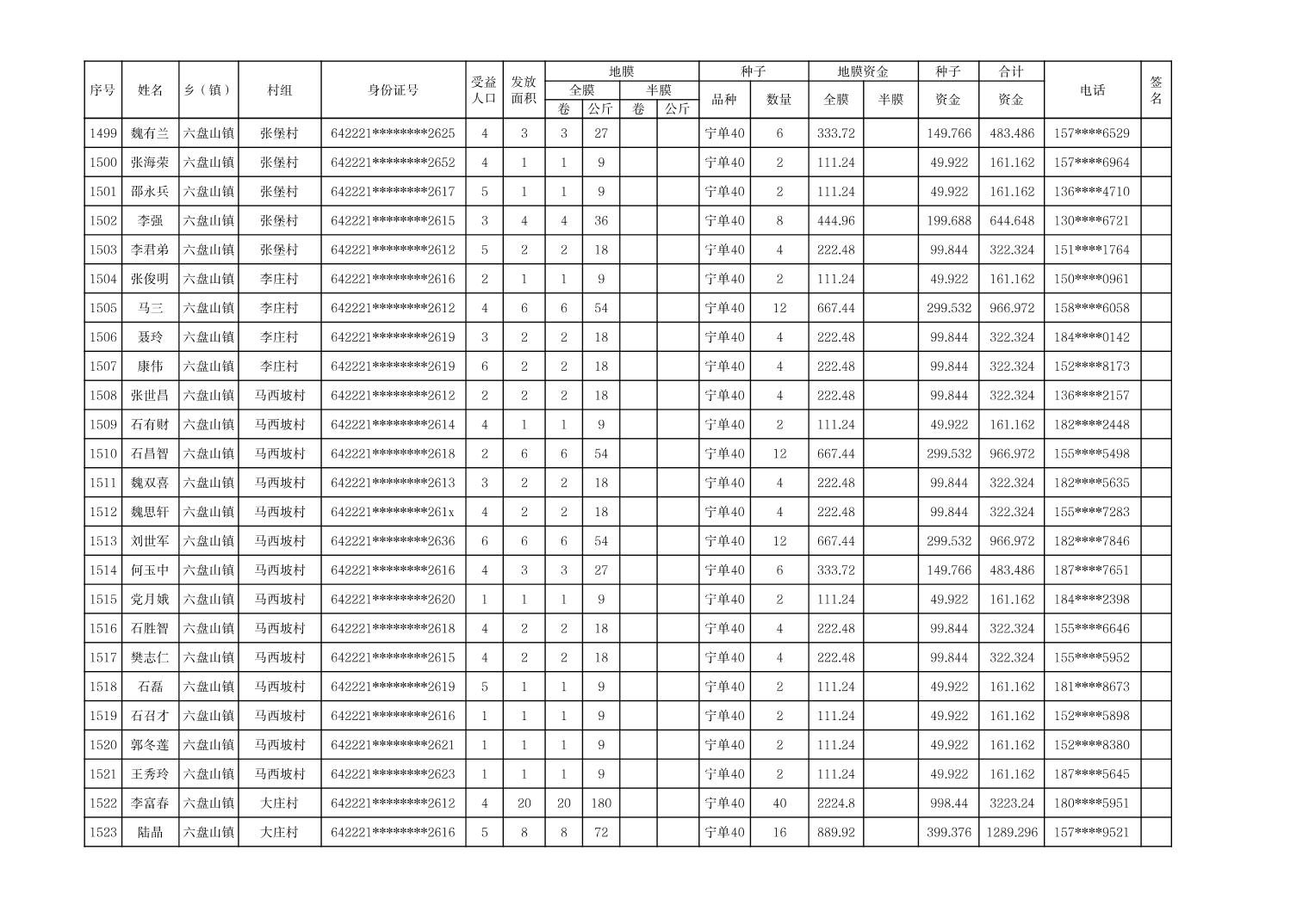
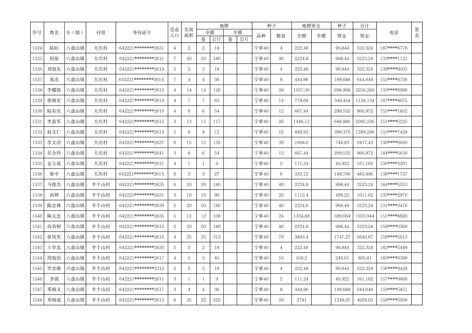
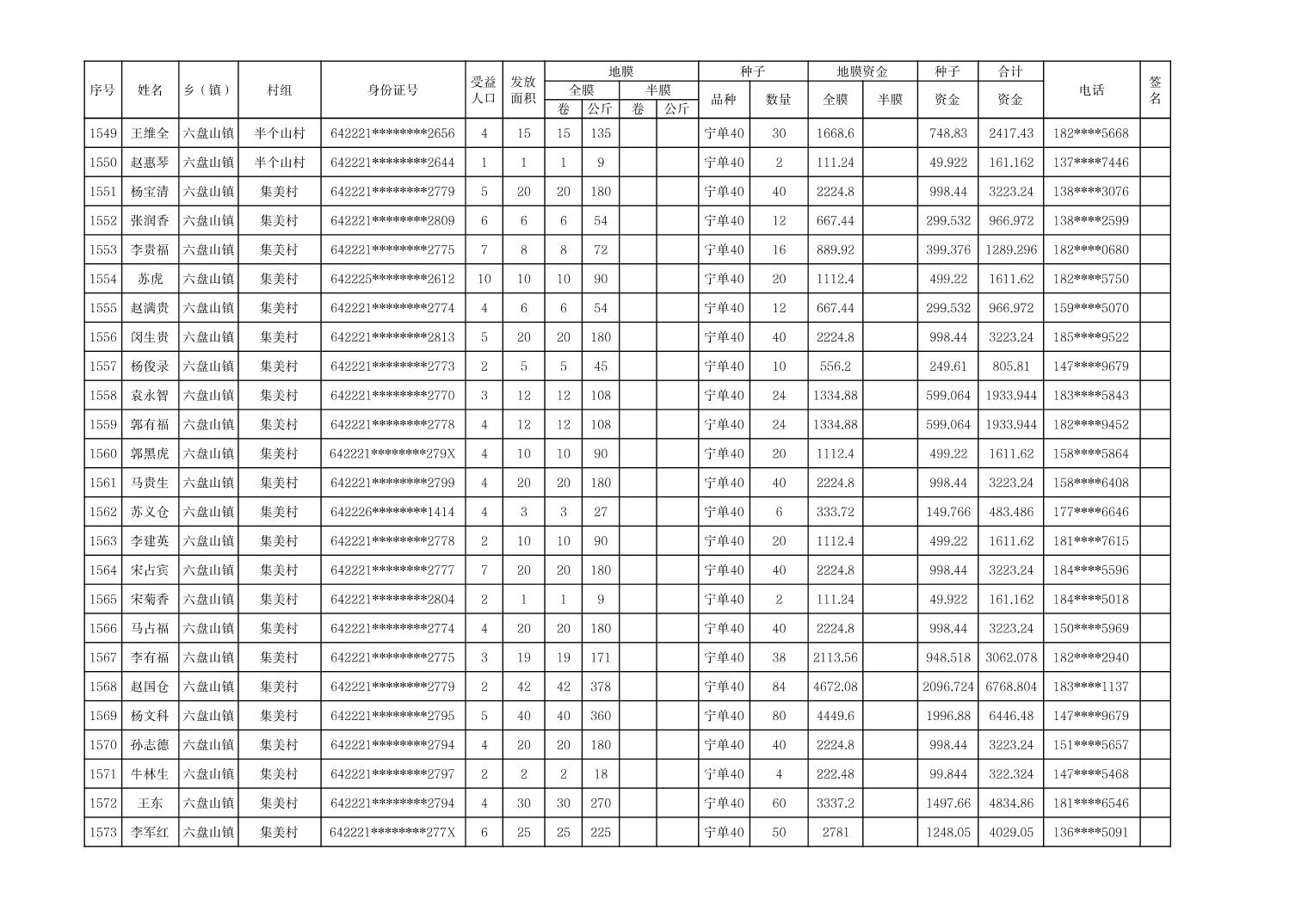
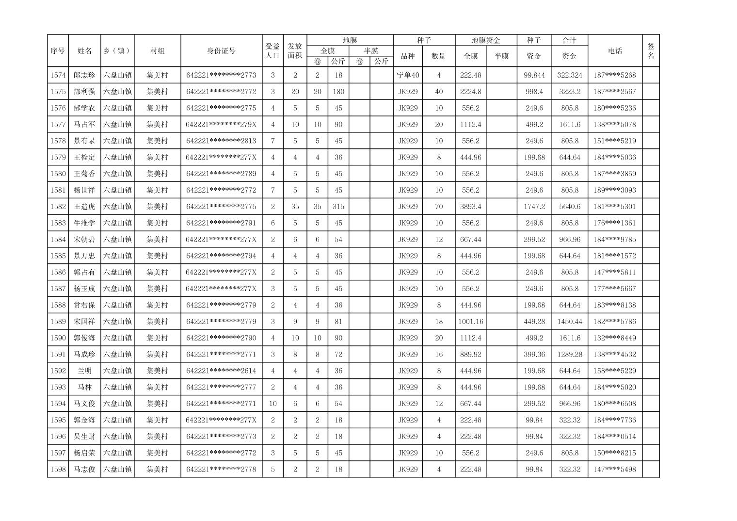
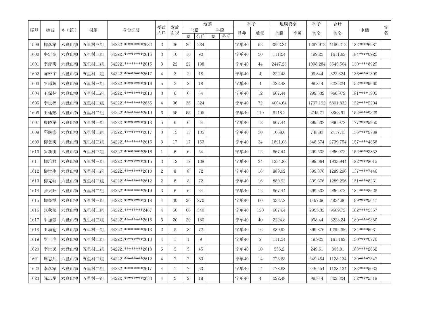
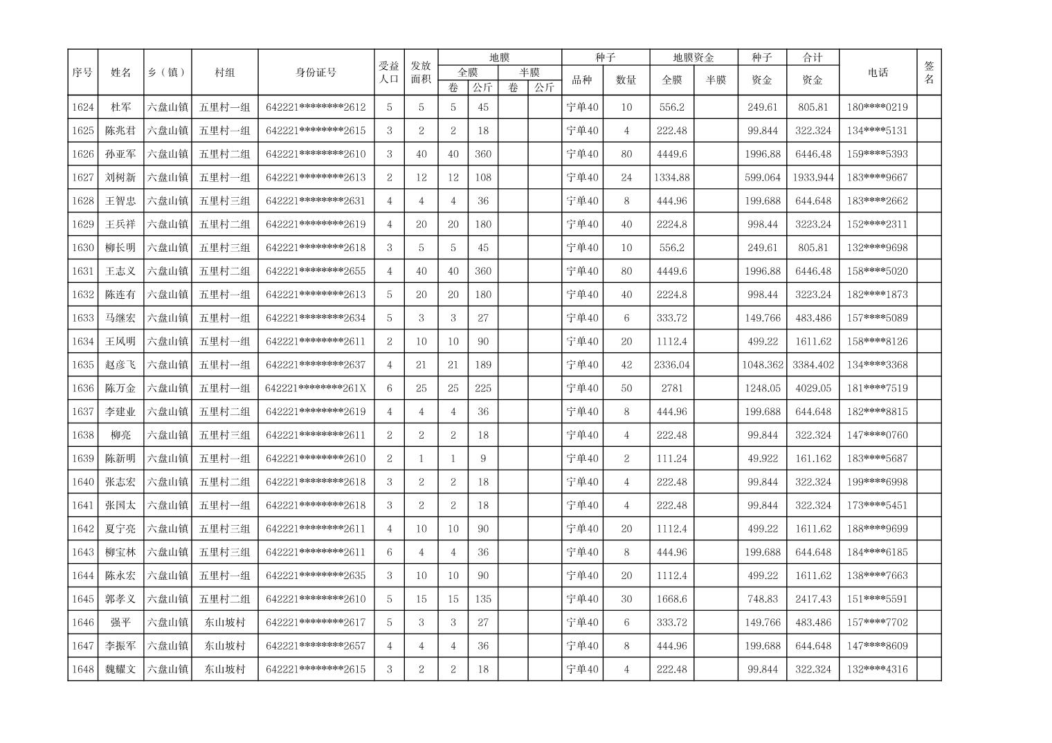
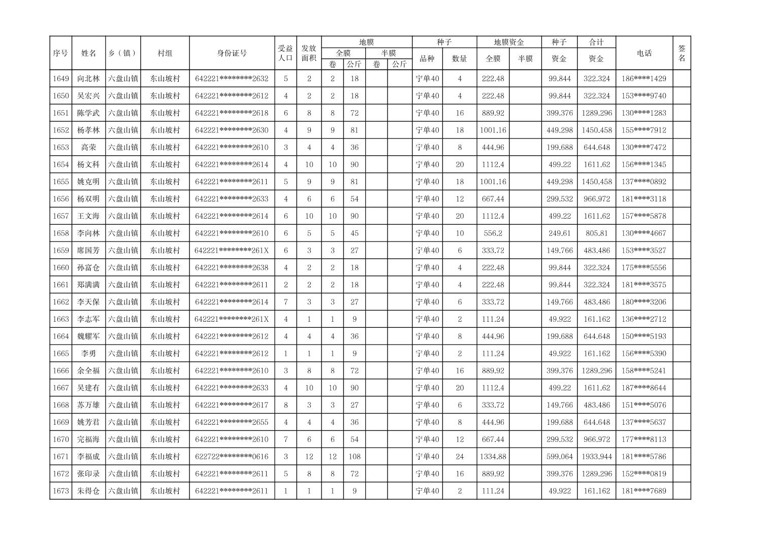
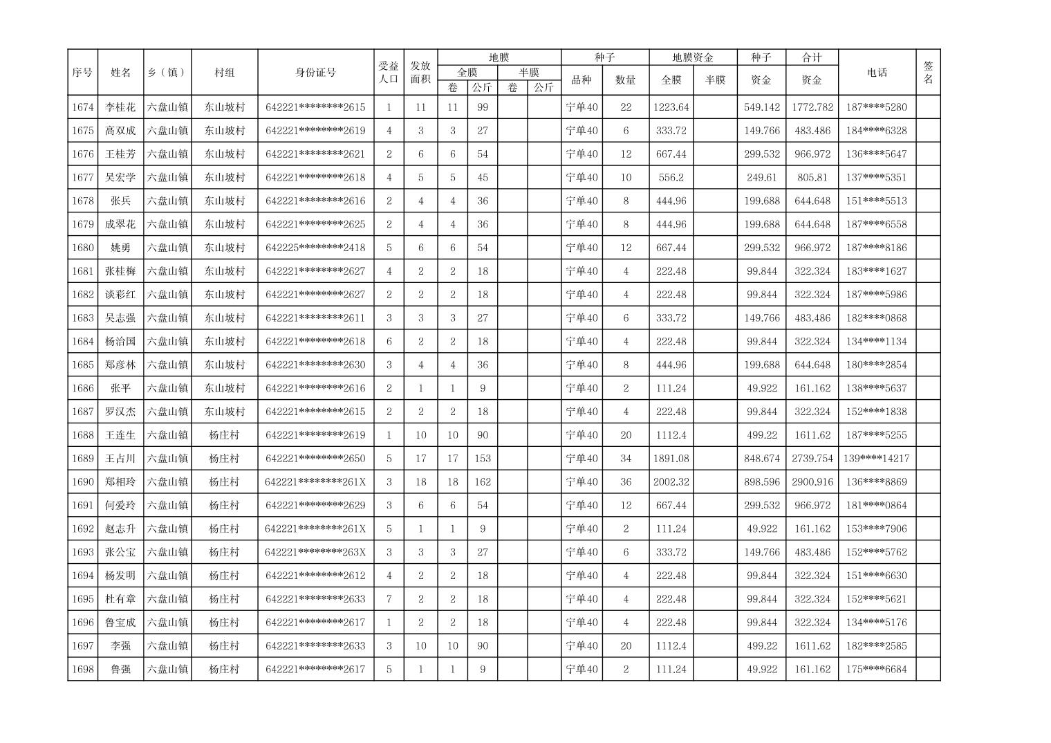
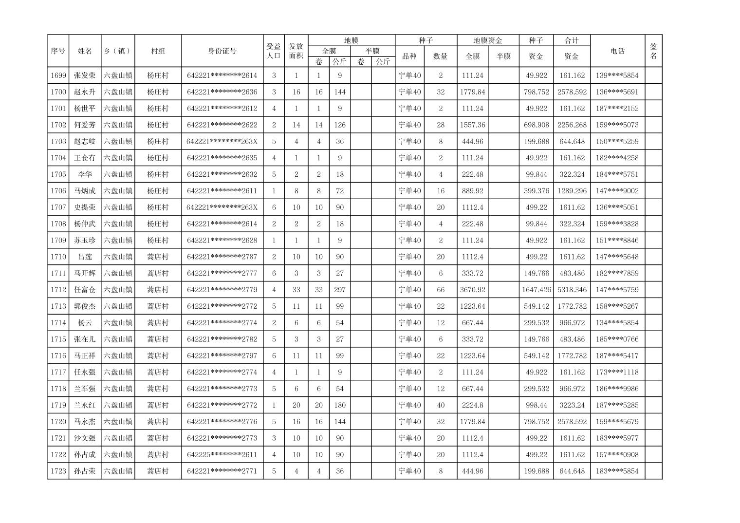
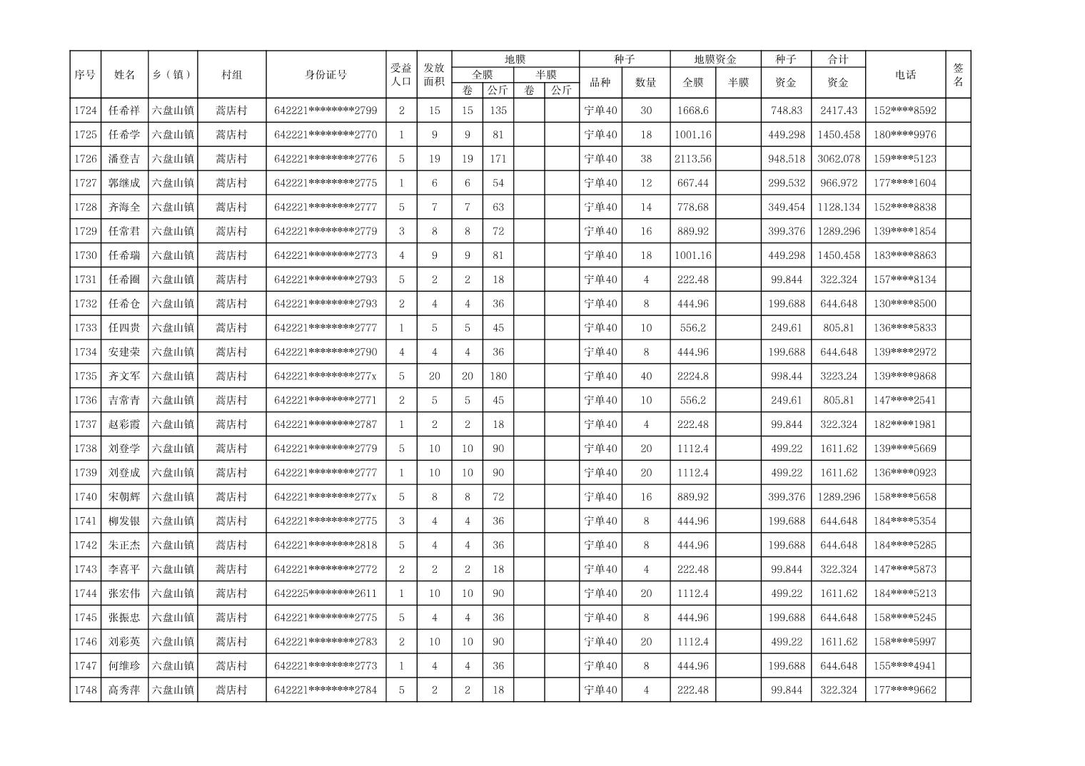
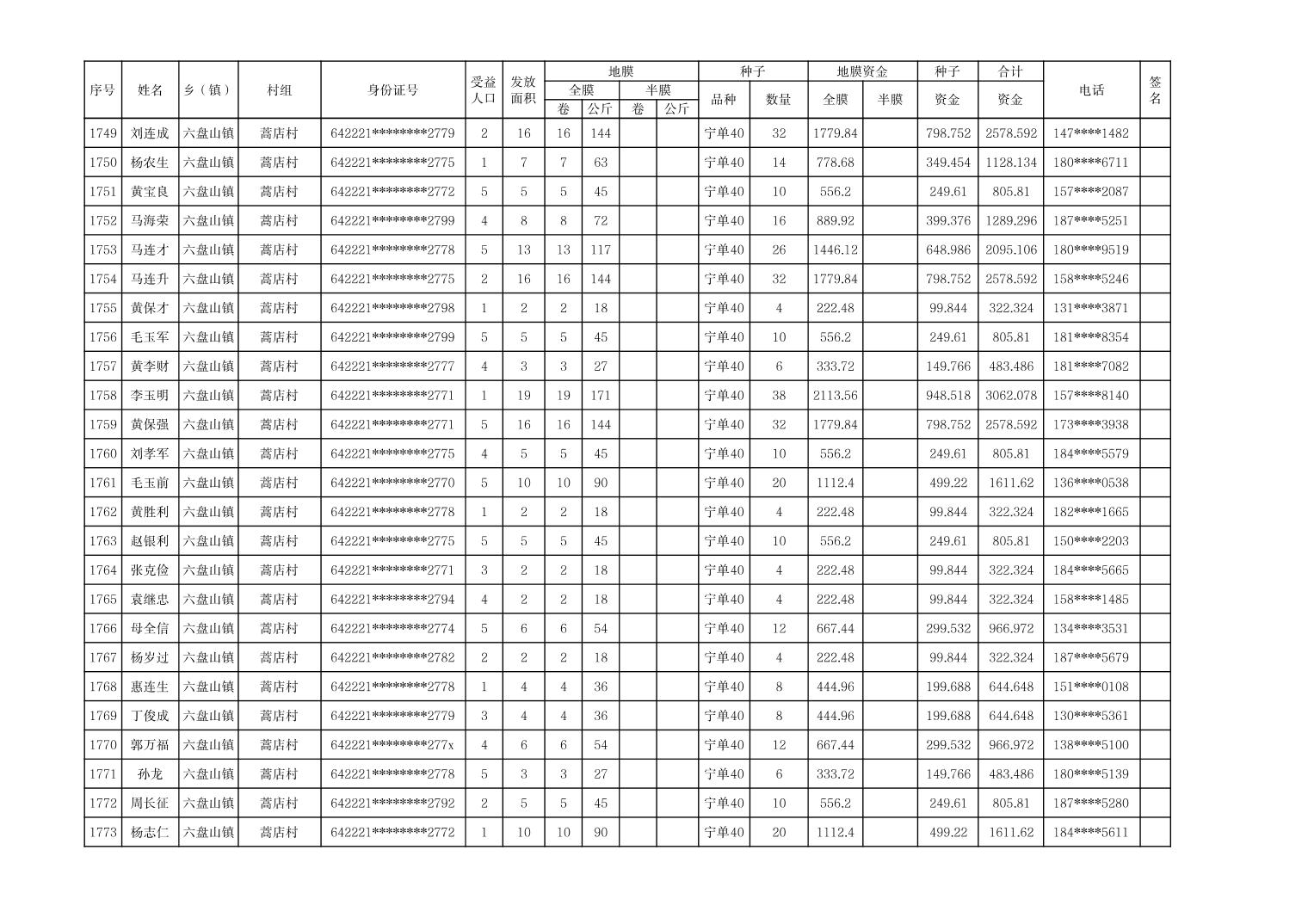
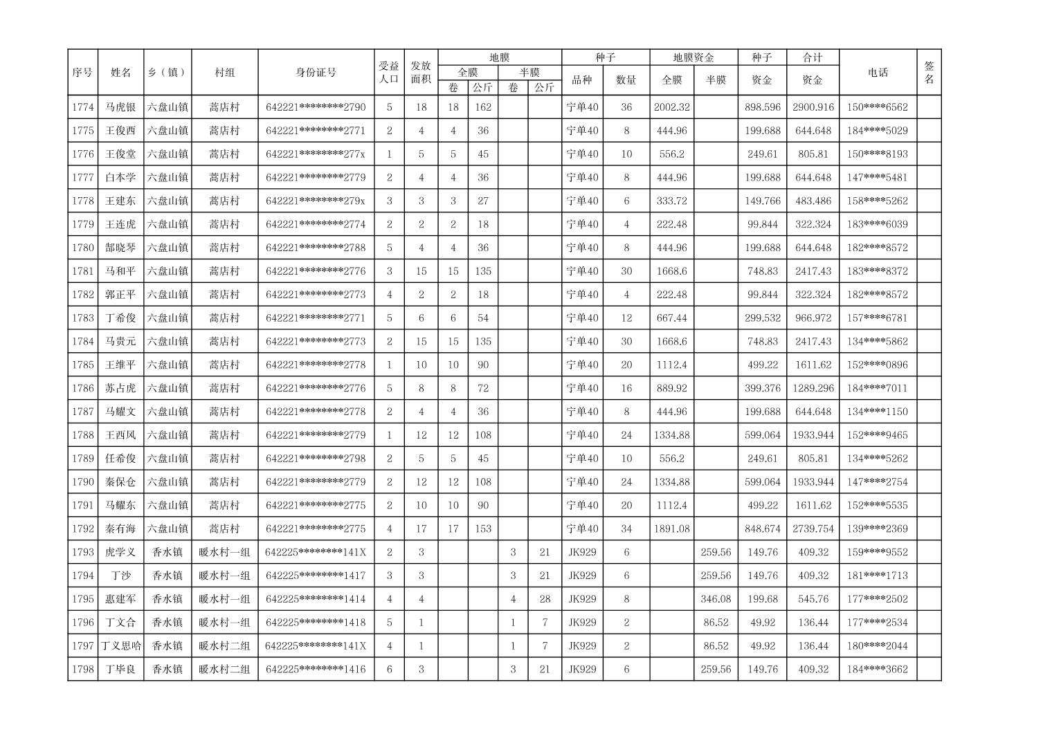
六盘山镇:优质高产高效玉米种植行政村16个,共抽验16个行政村,抽验面积2510.5亩,抽验比例31.3%,完成率98.6%,确认覆膜种植面积8027亩。
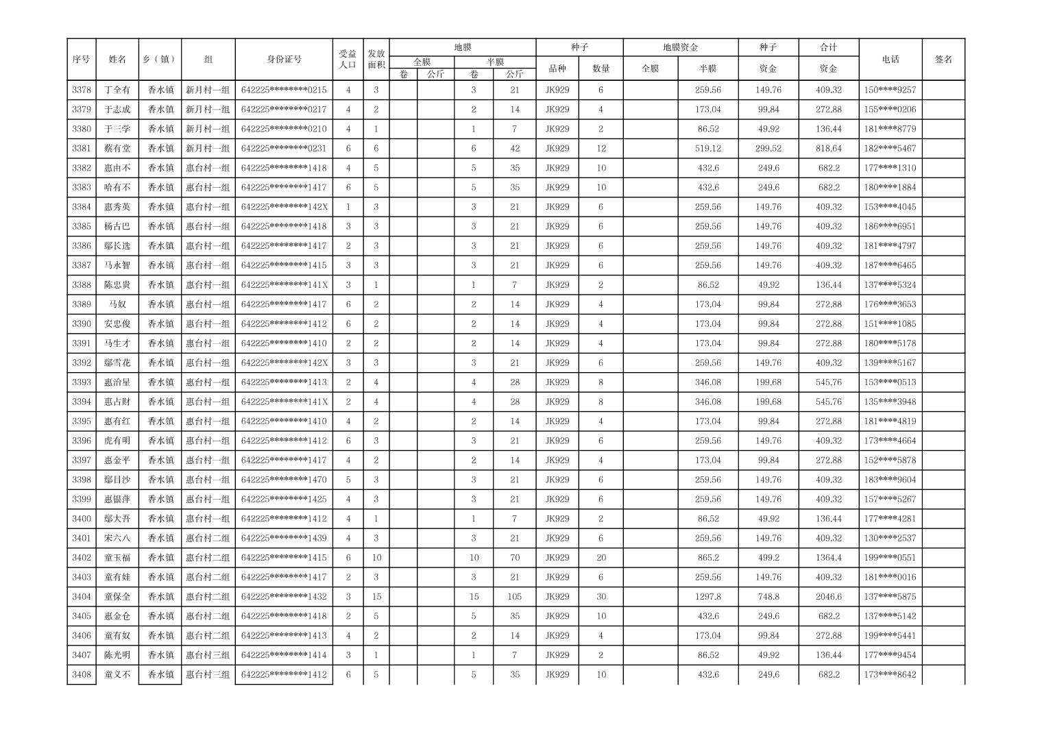
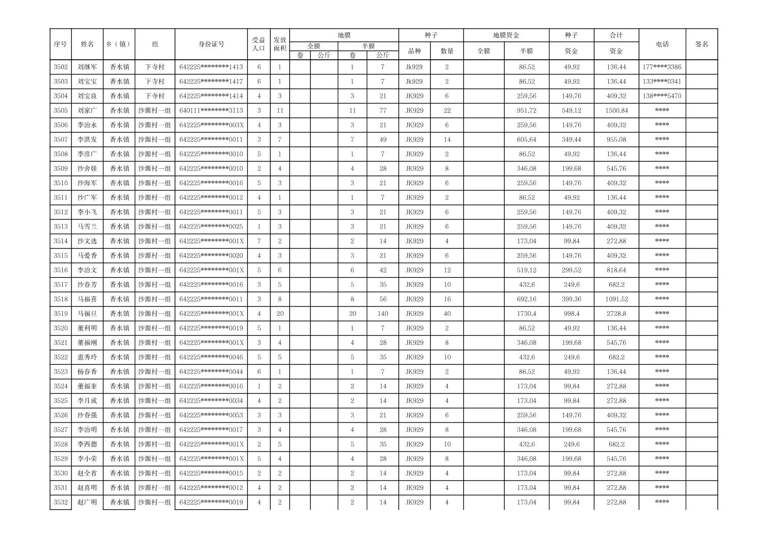
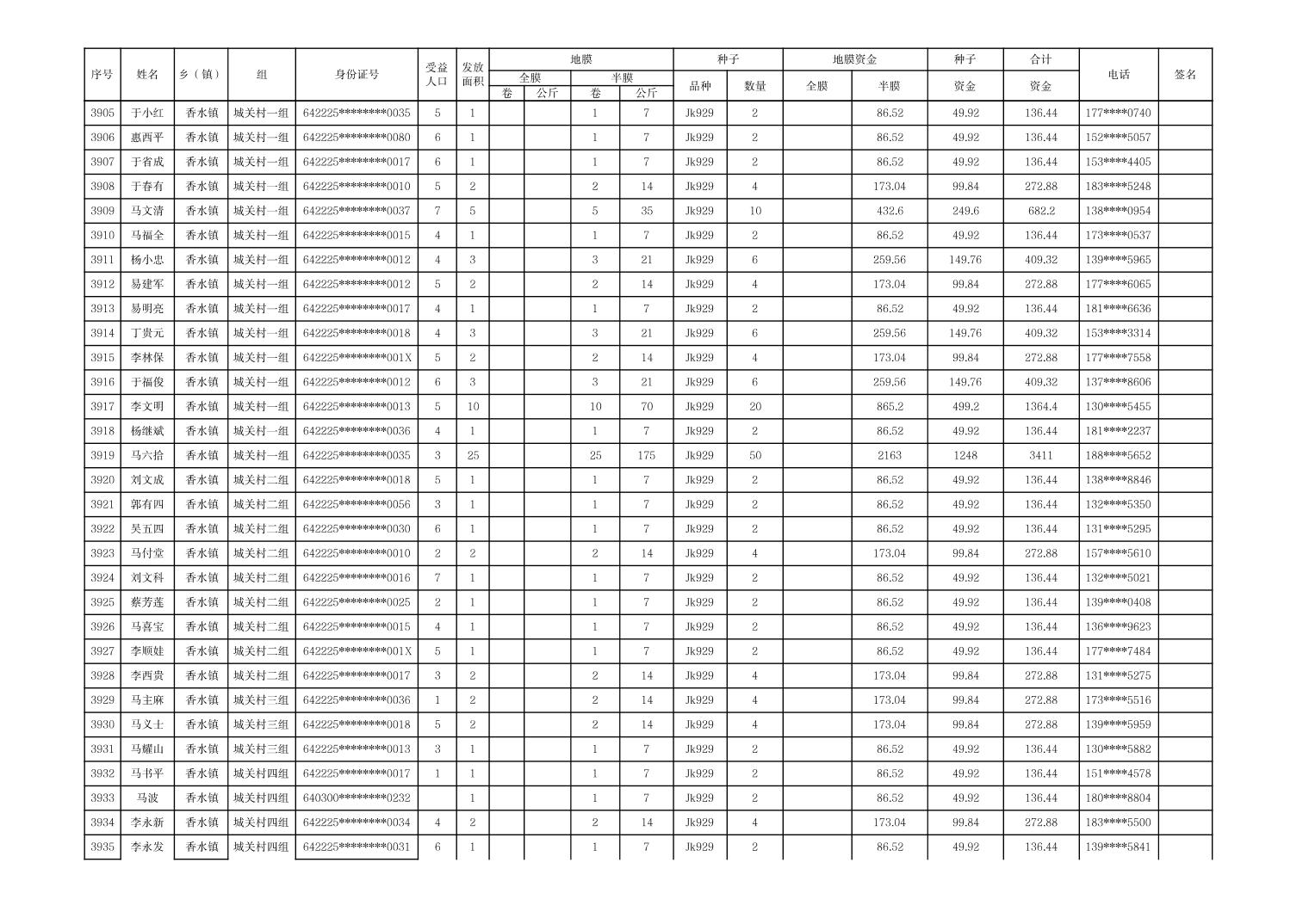
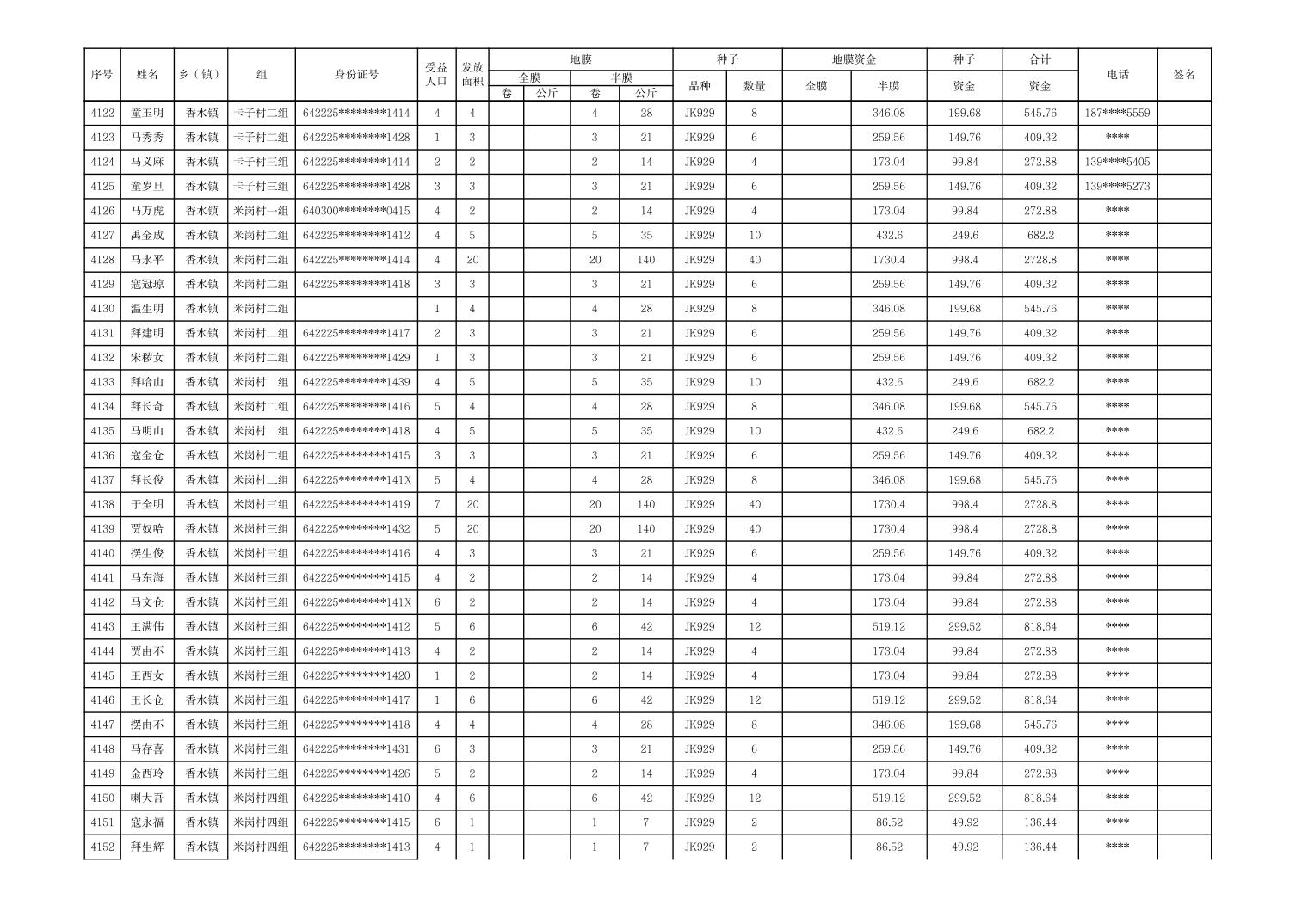
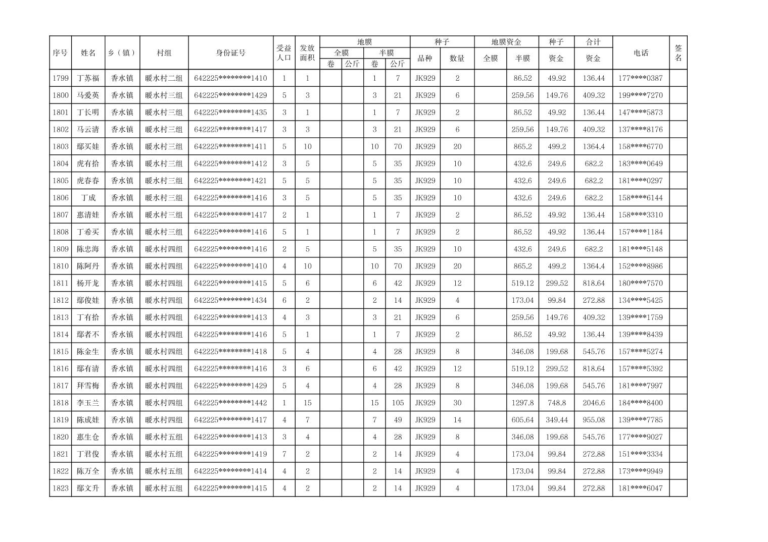
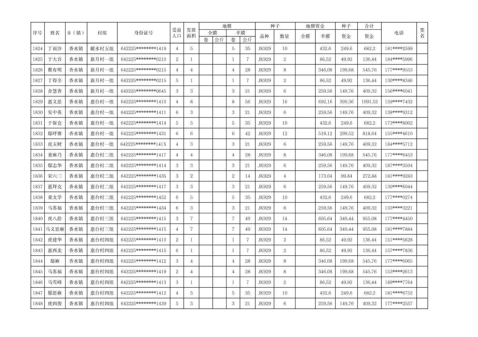
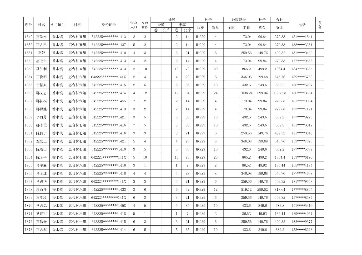
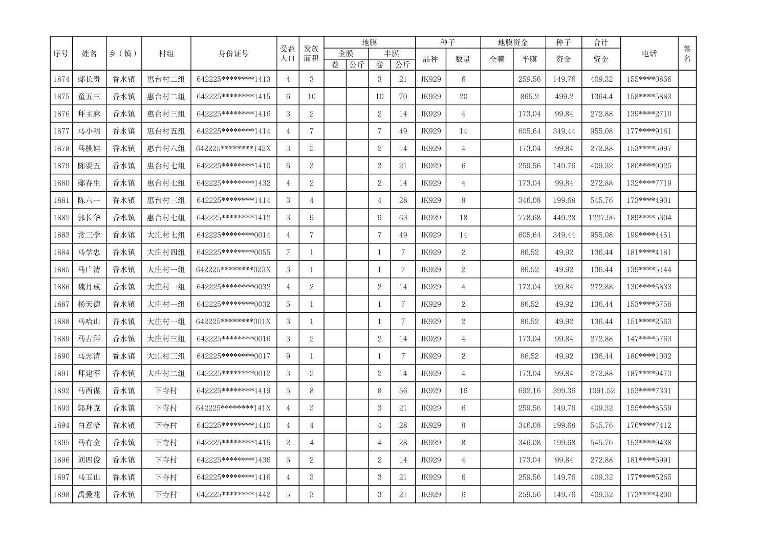
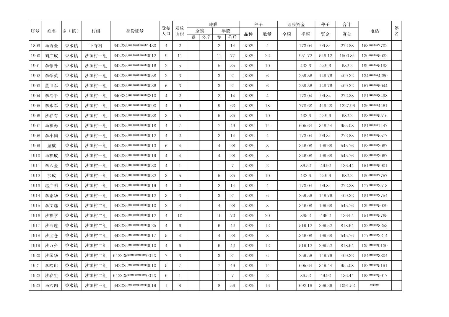
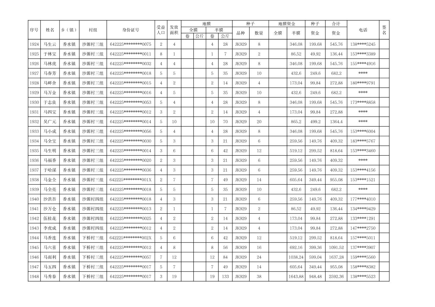
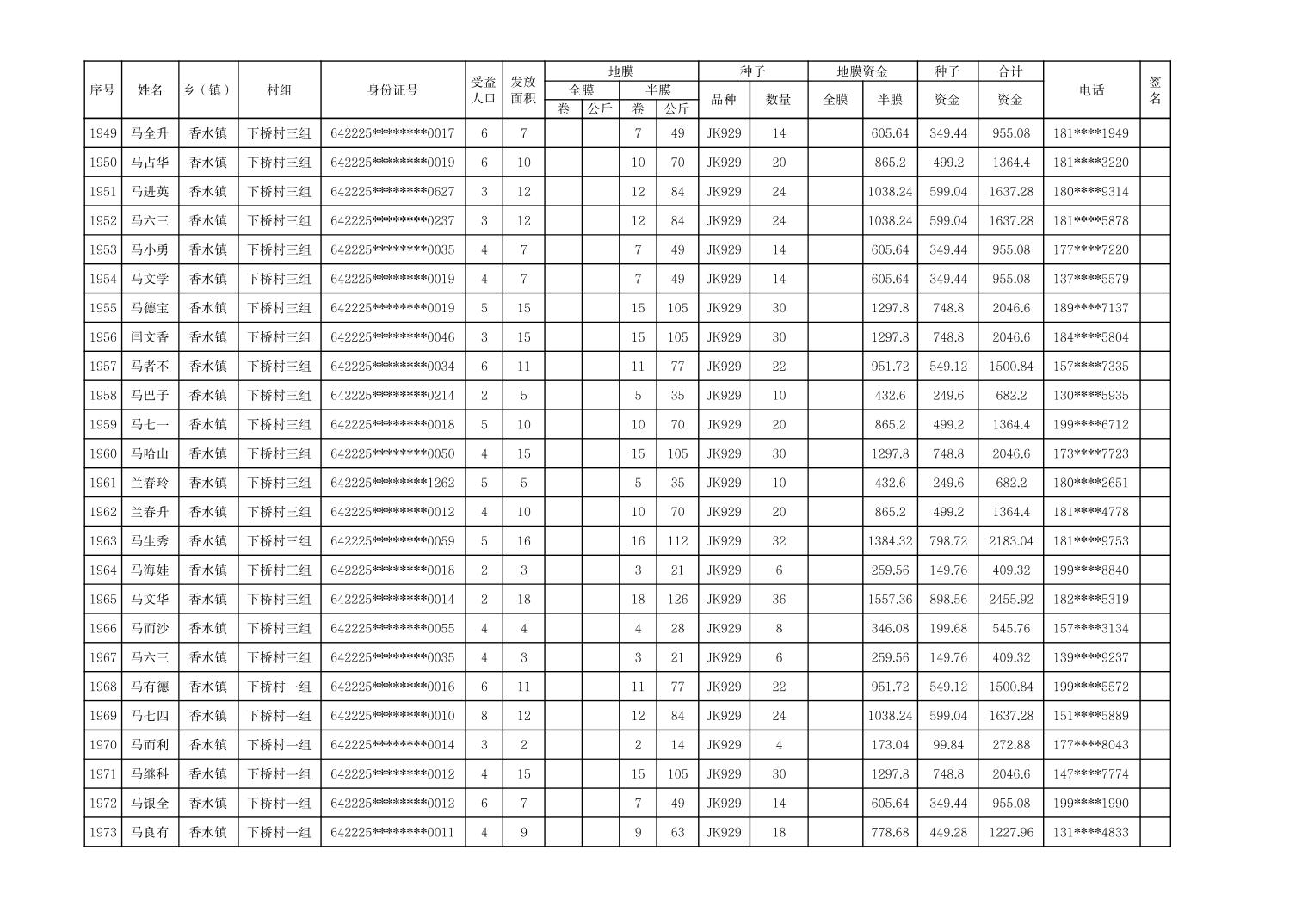
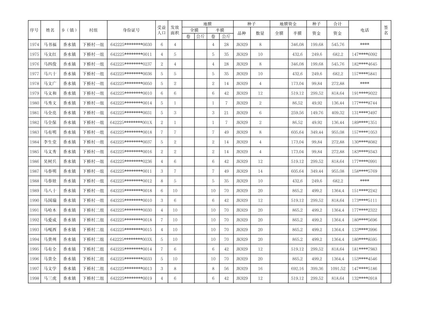
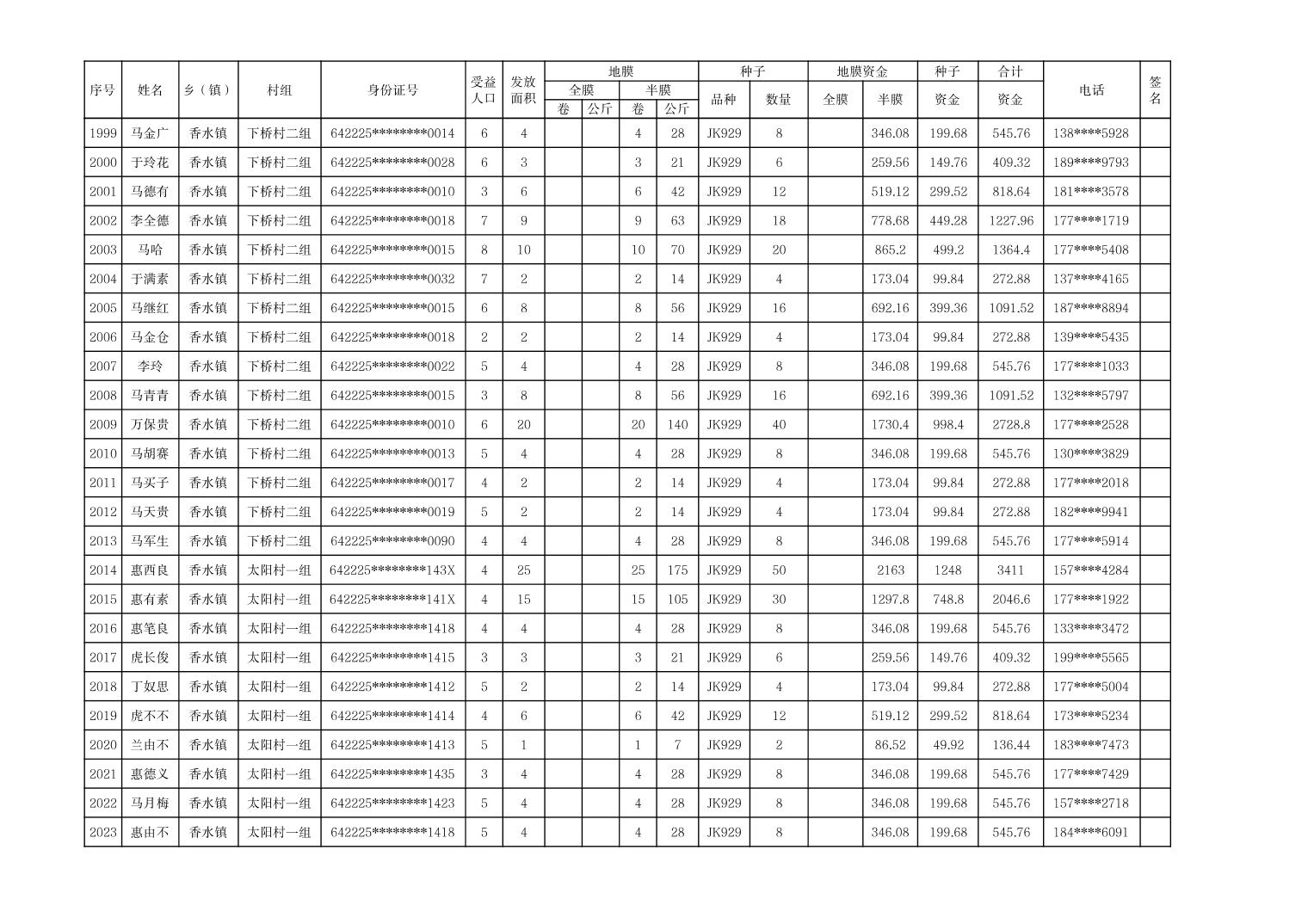
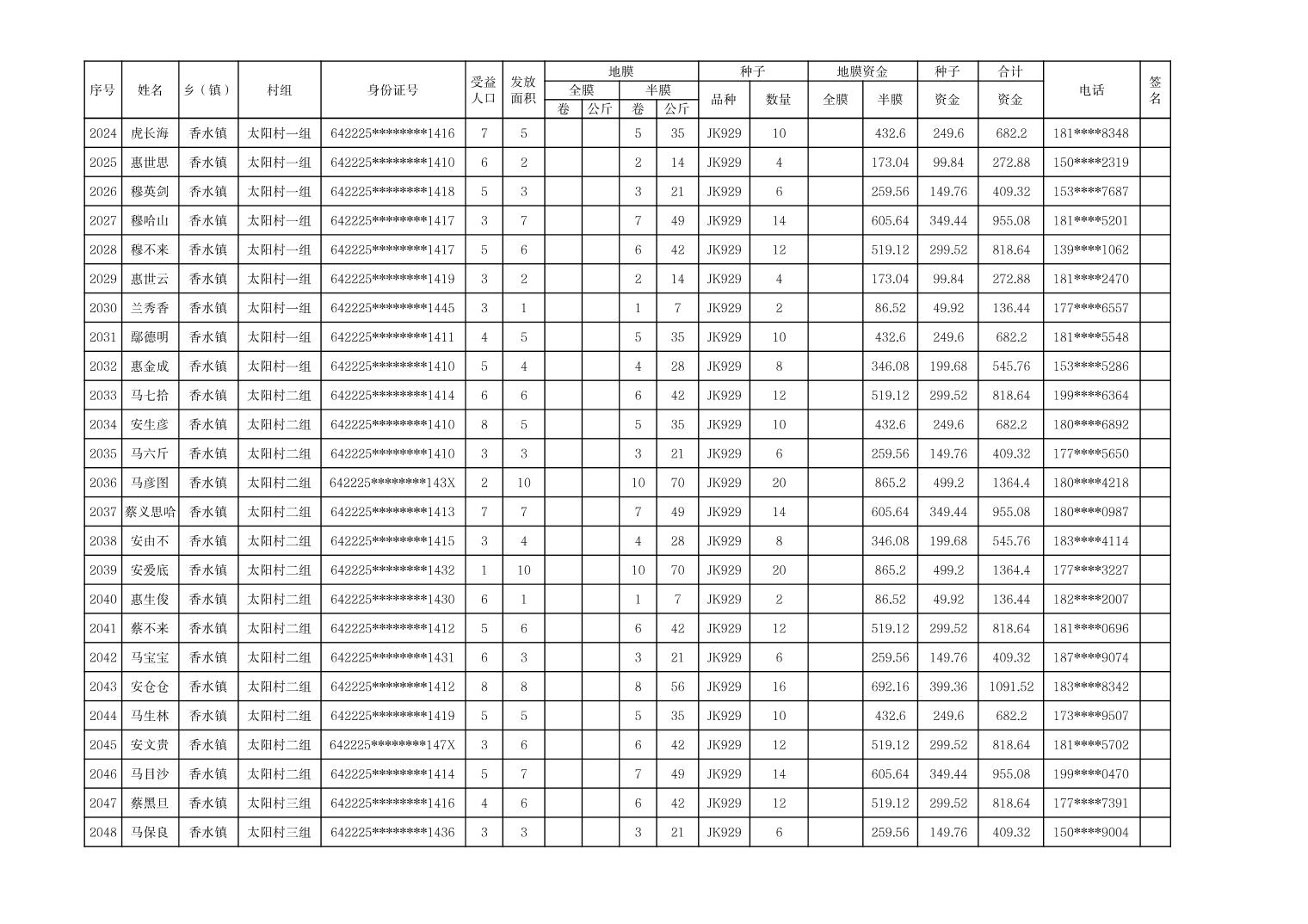
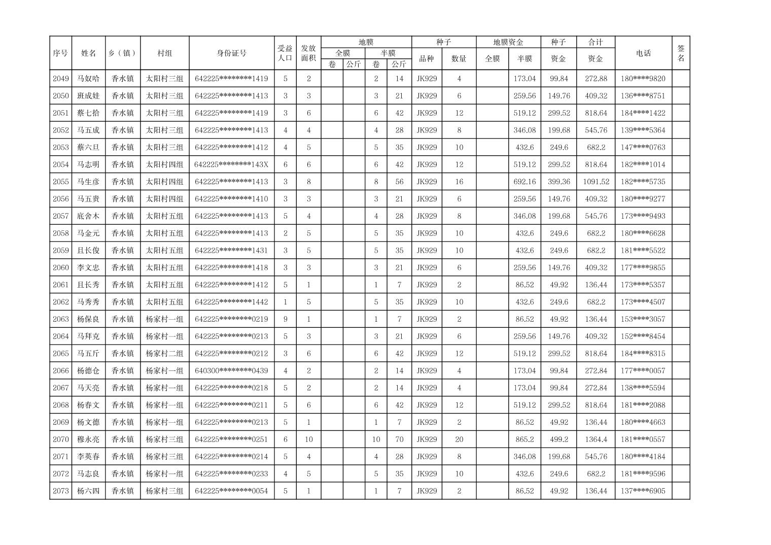
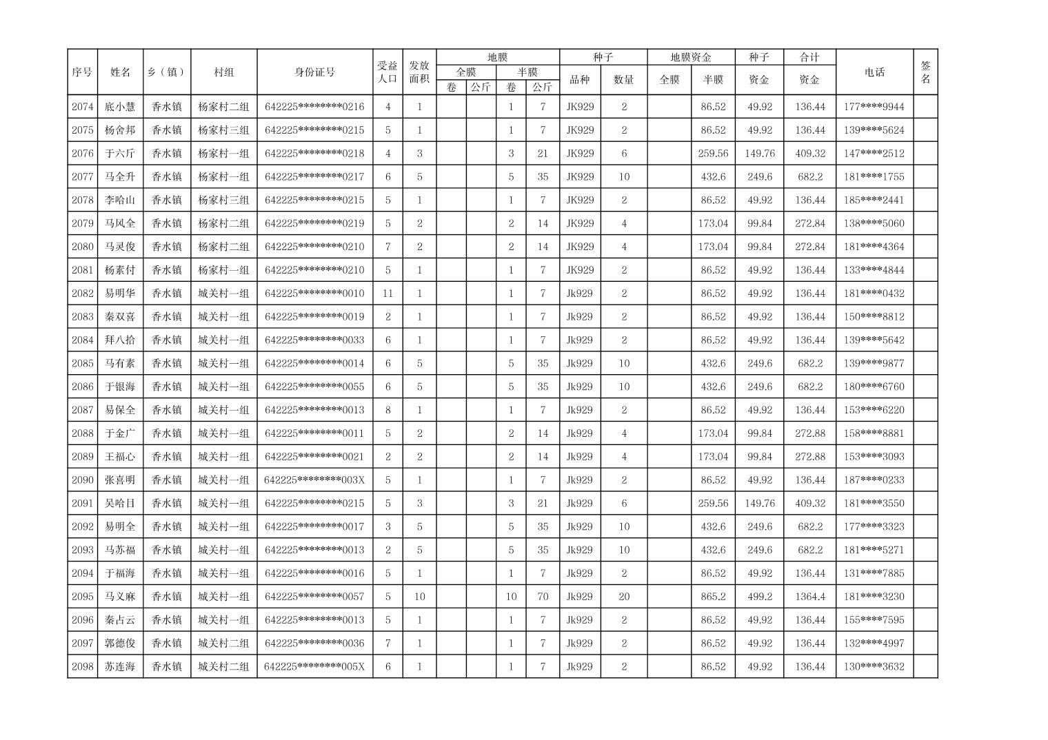
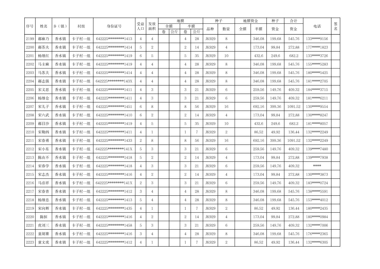
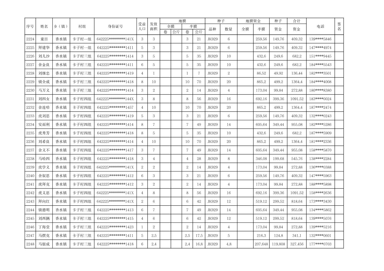
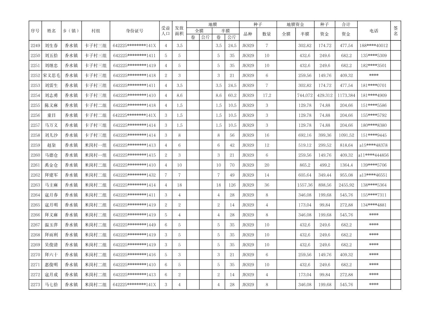
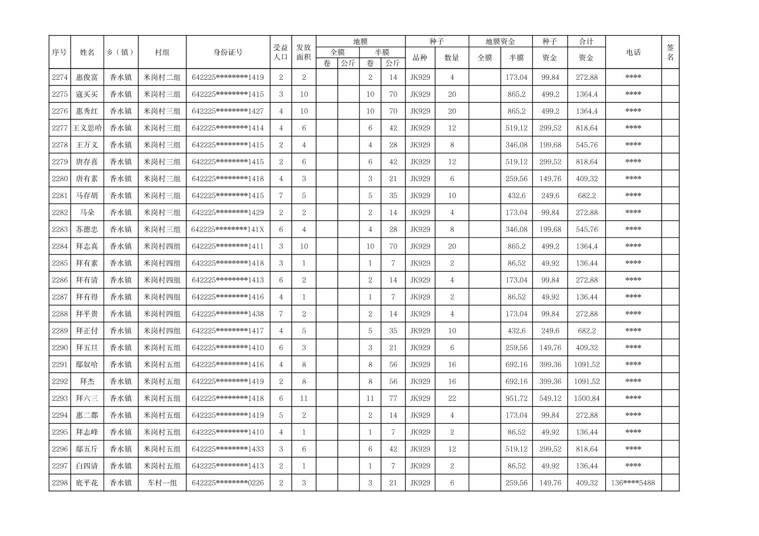
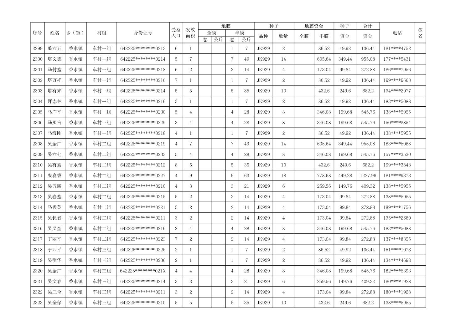
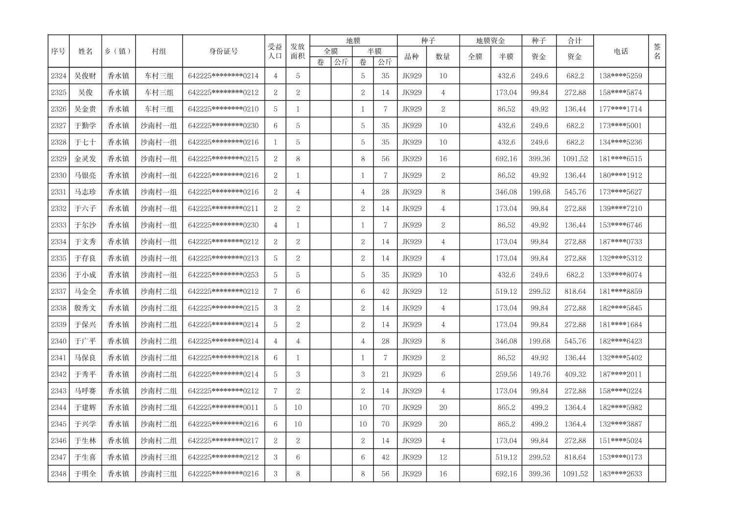
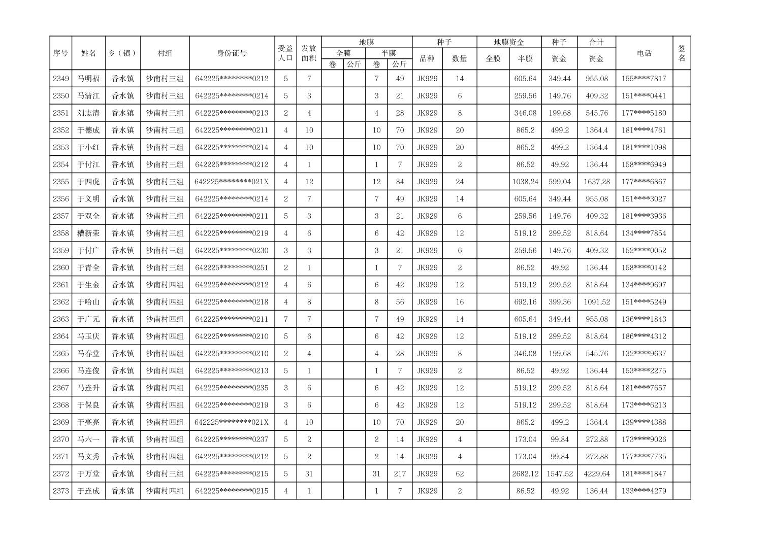
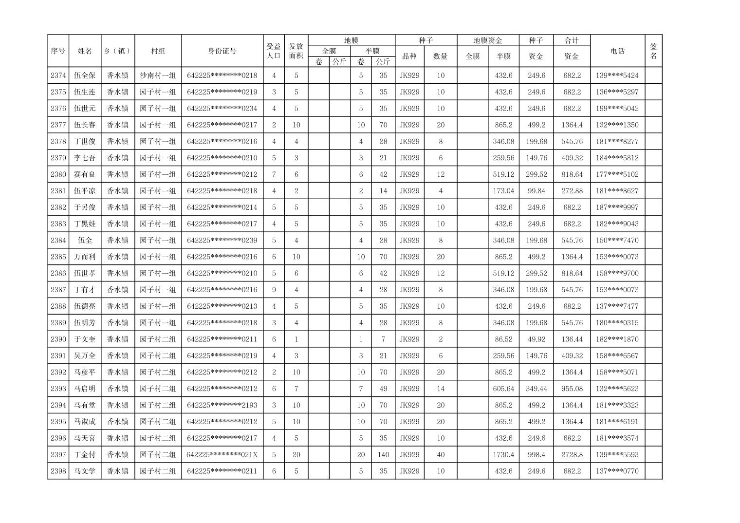
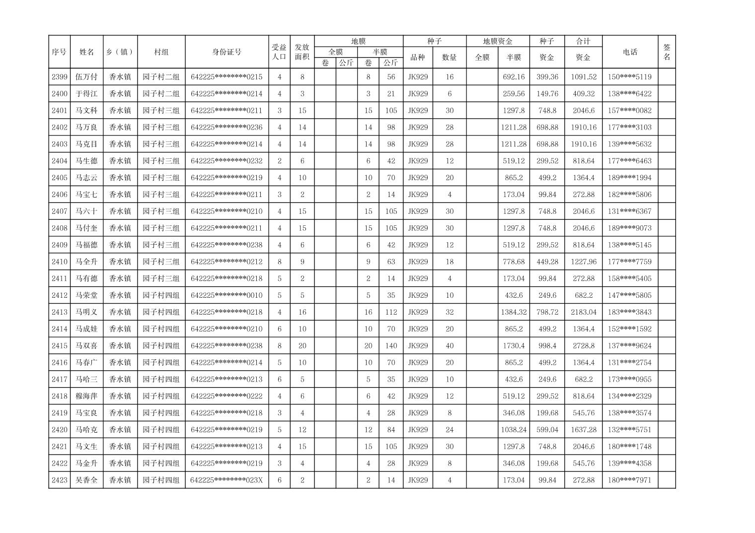
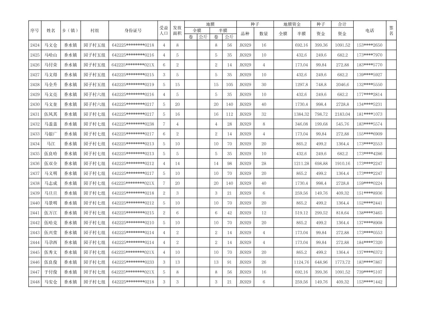
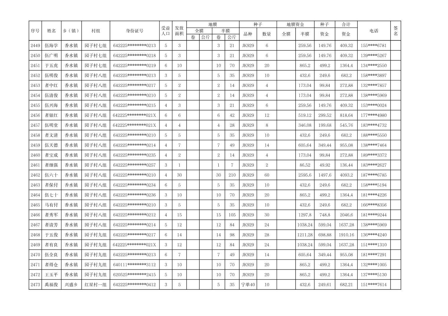
香水镇:优质高产高效玉米种植行政村16个,共抽验16个行政村,抽验面积3110亩,抽验比例33.4%,完成率99.8%,确认覆膜种植面积9296亩。
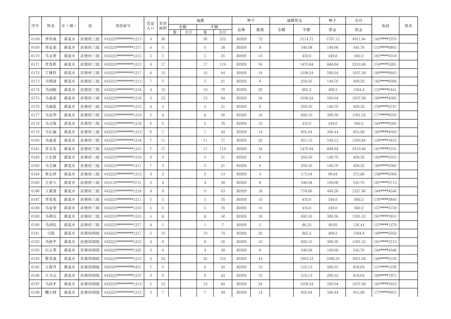
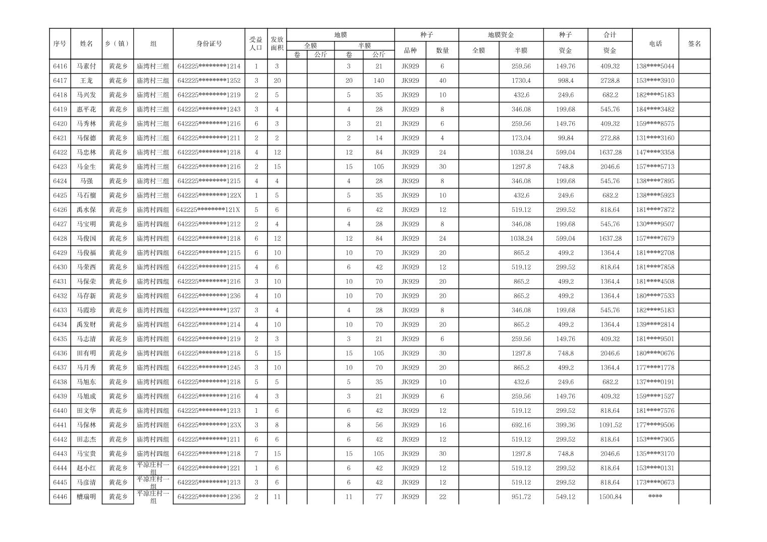
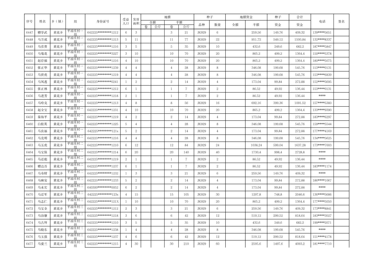
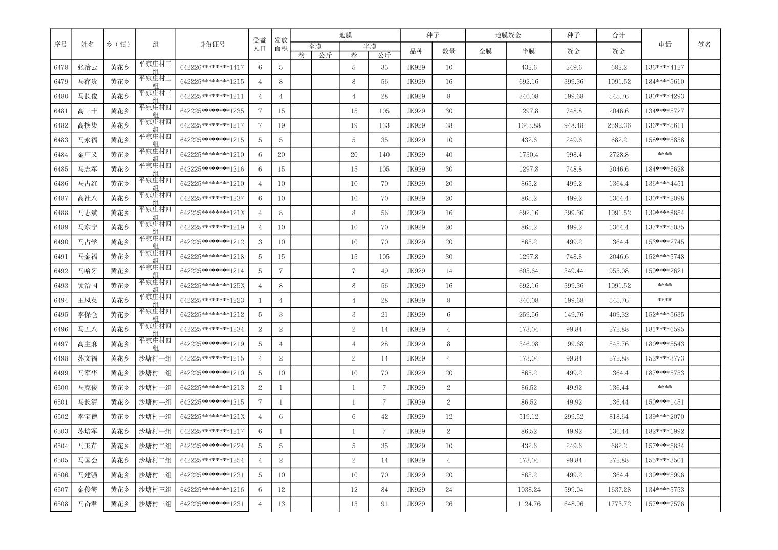
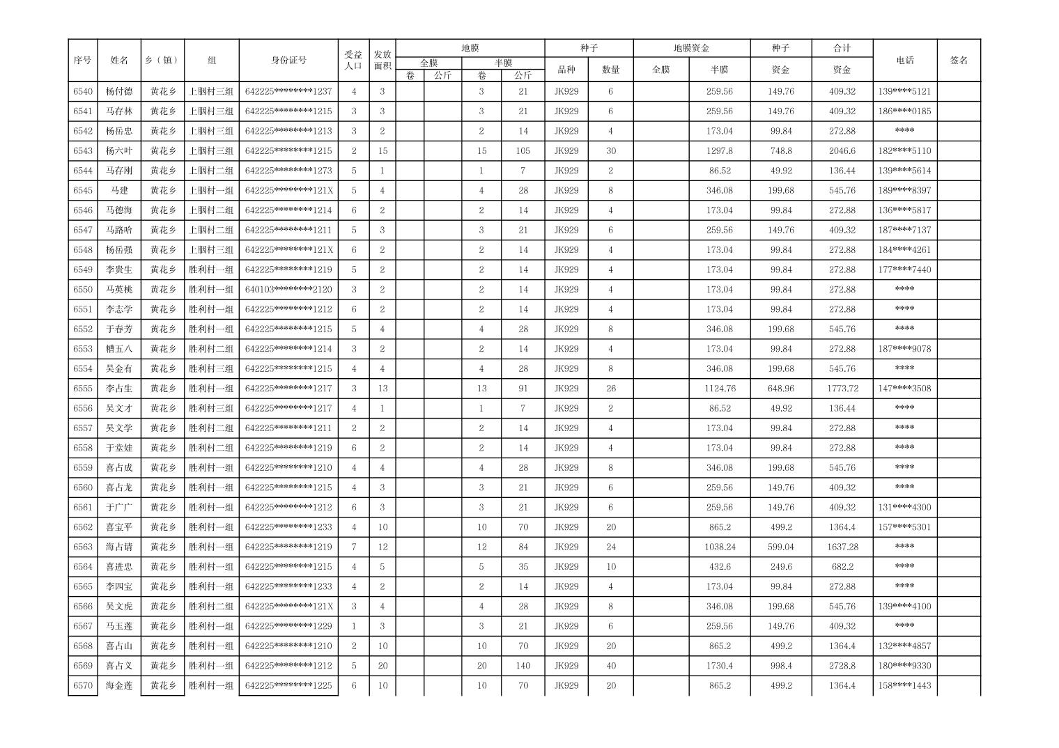
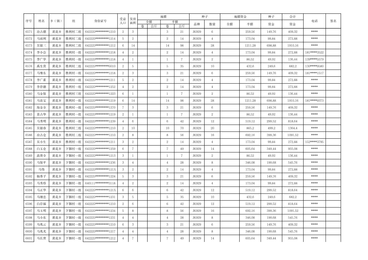
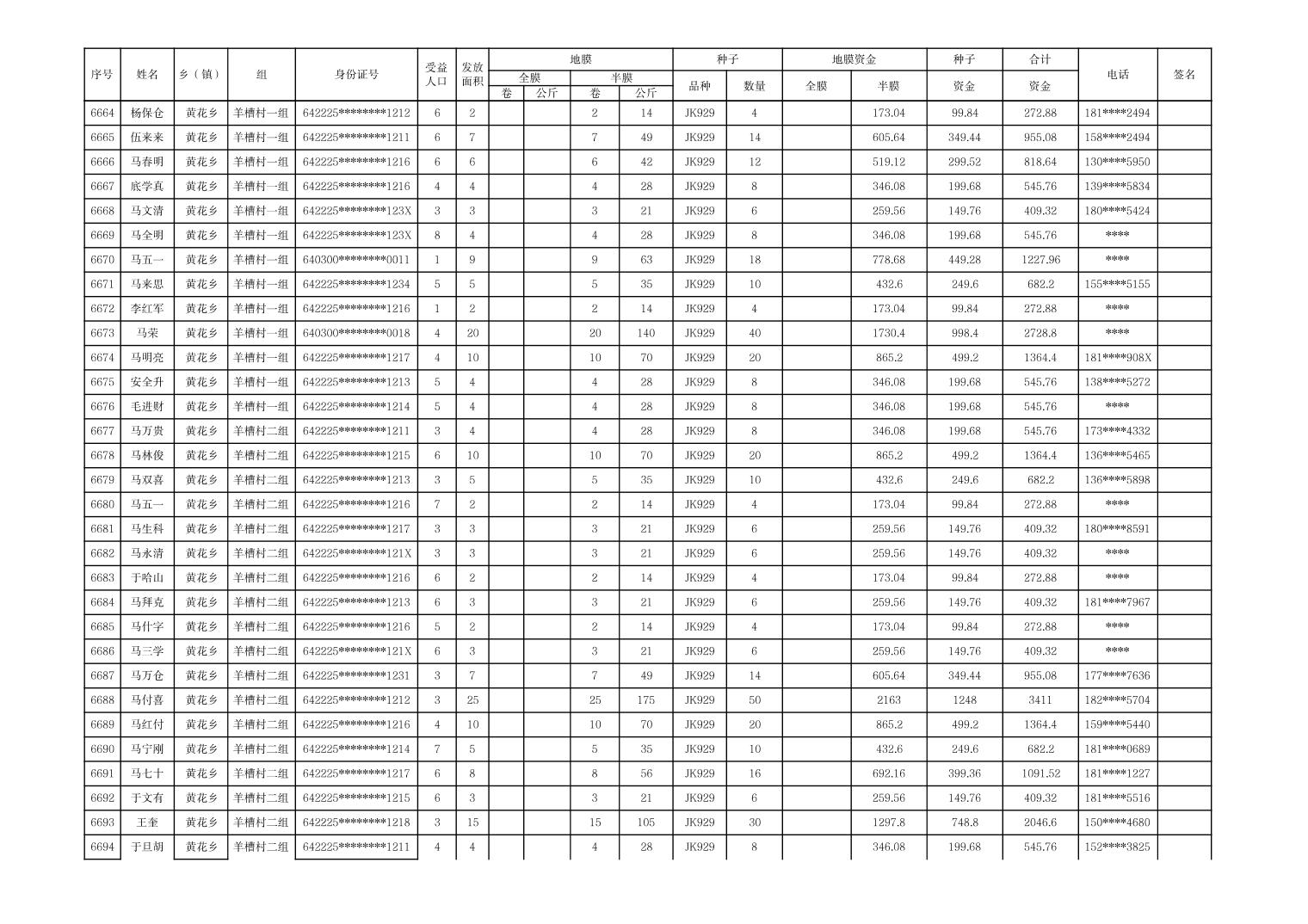
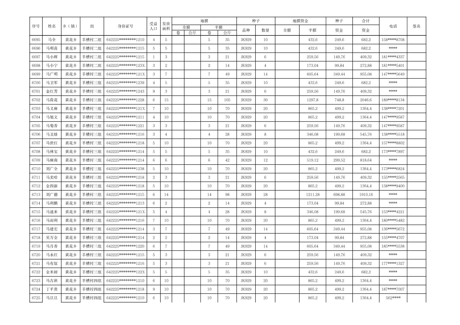
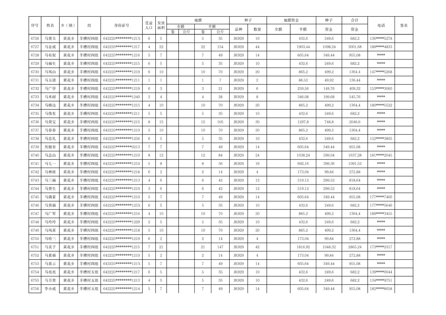
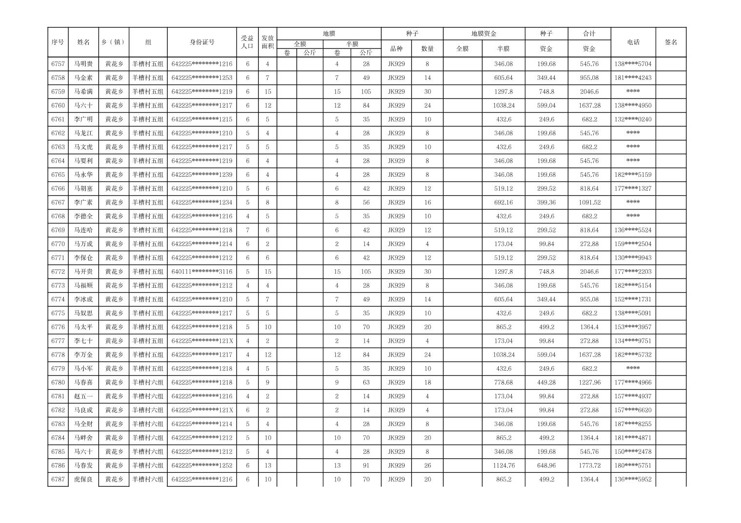
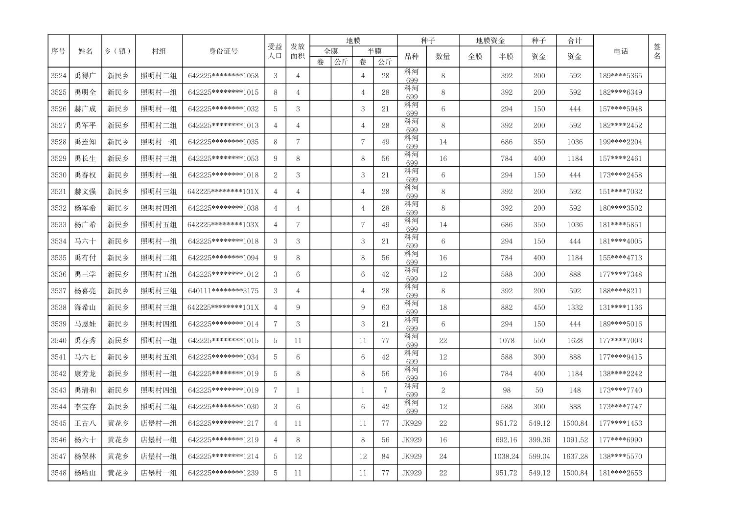
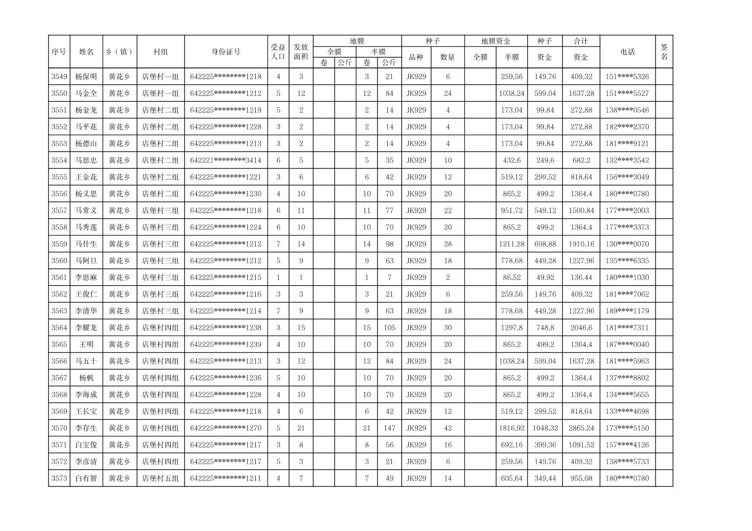
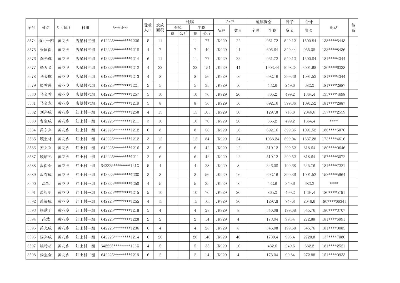
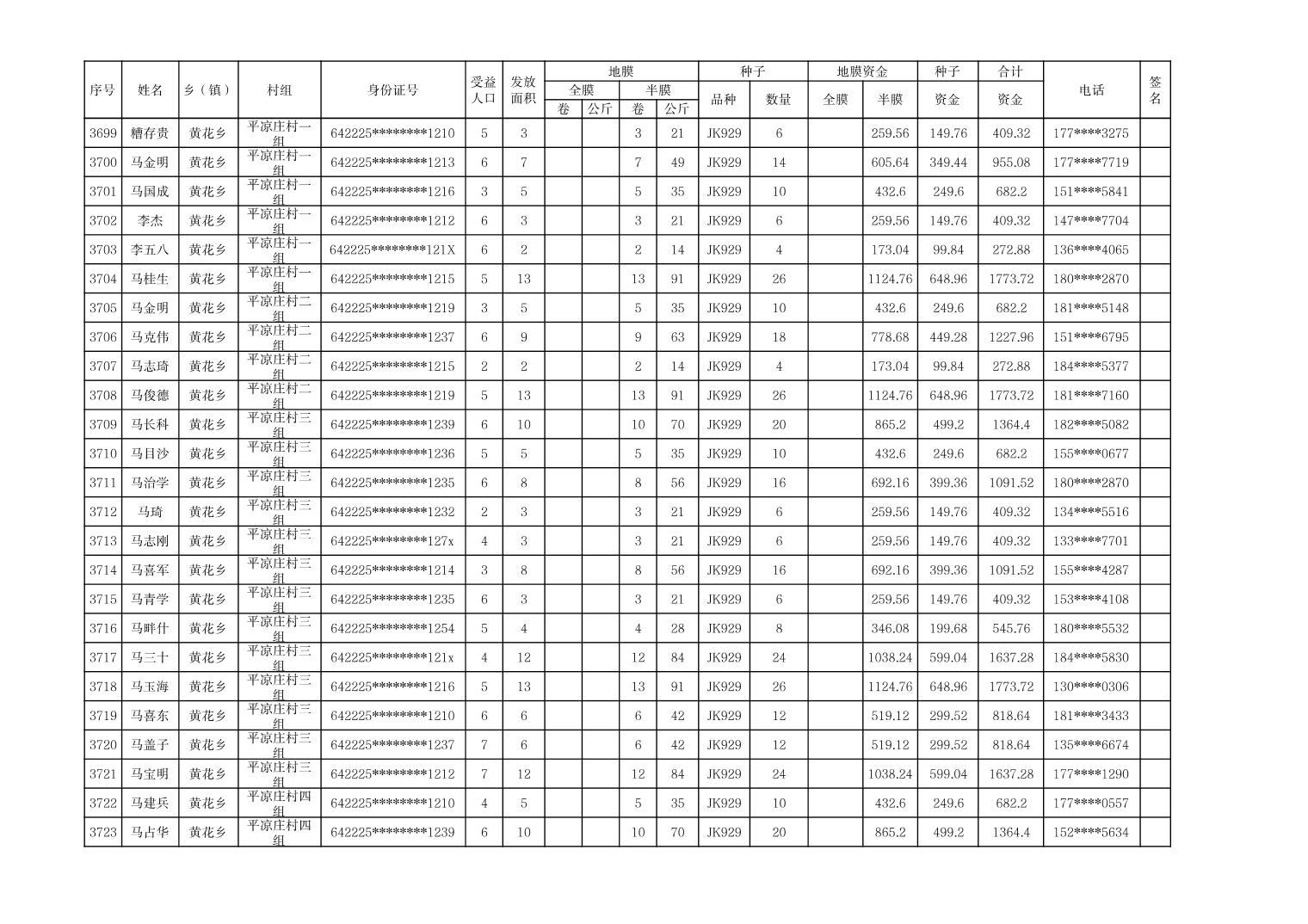
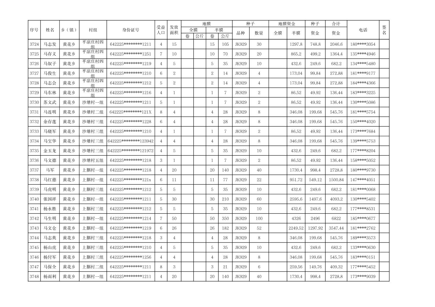
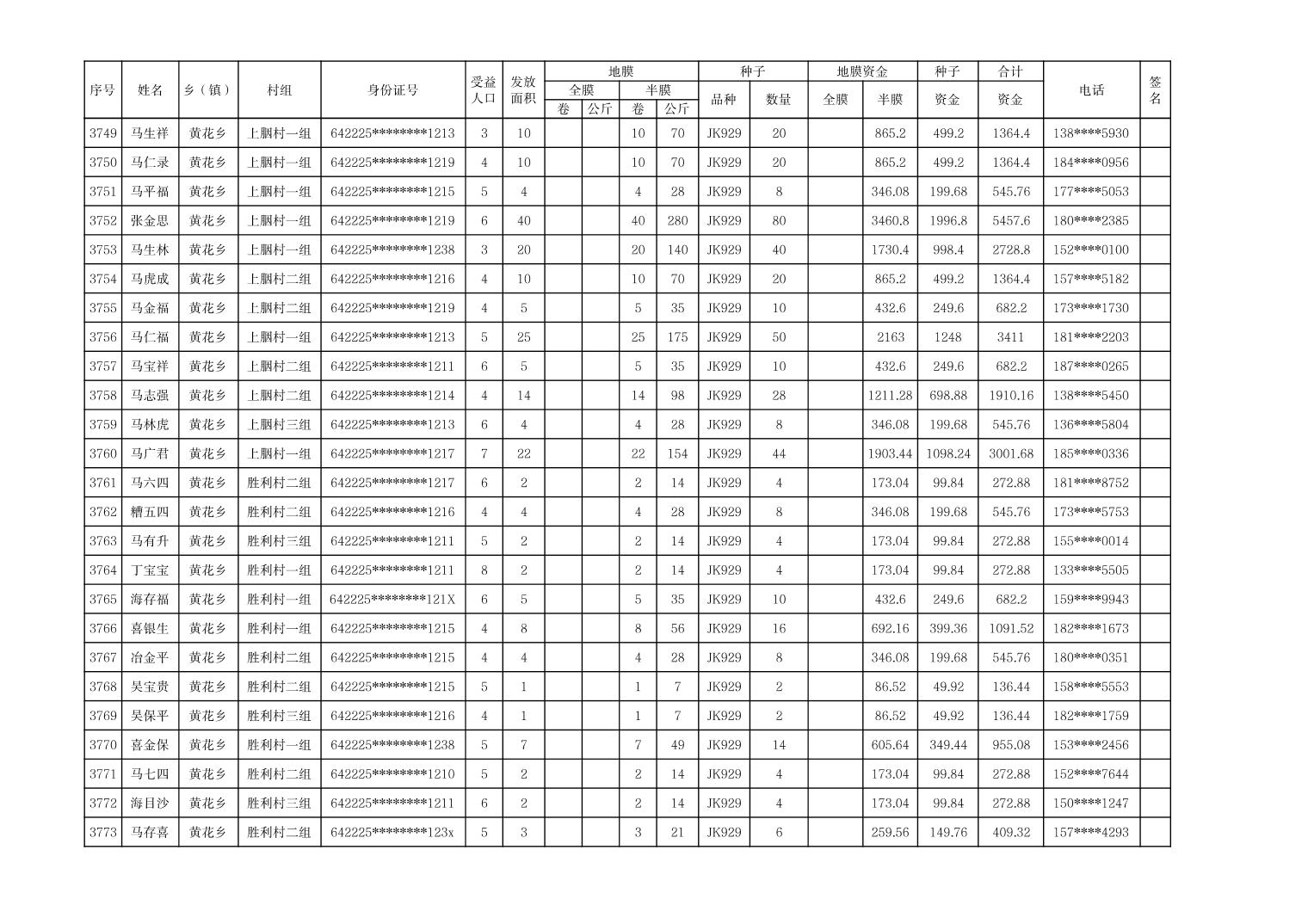
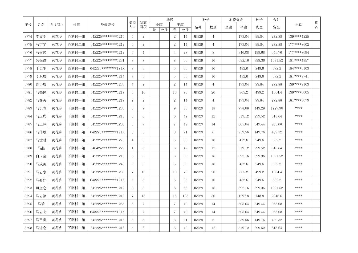
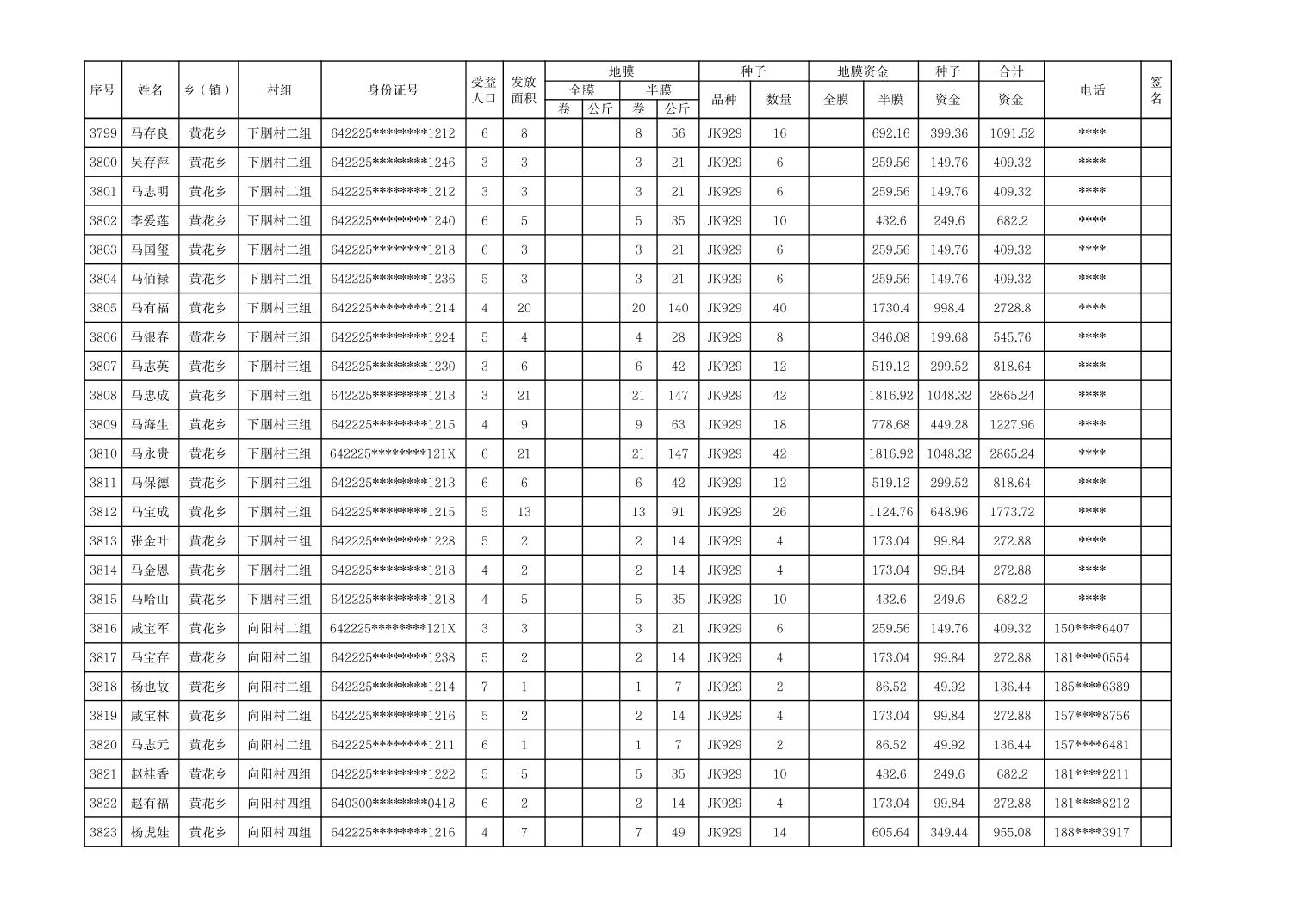
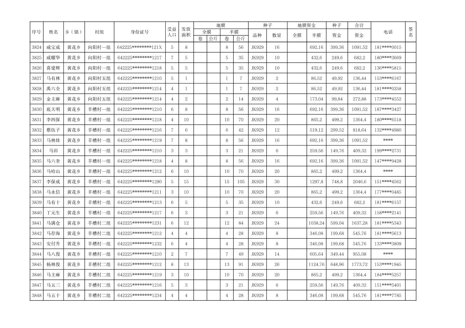
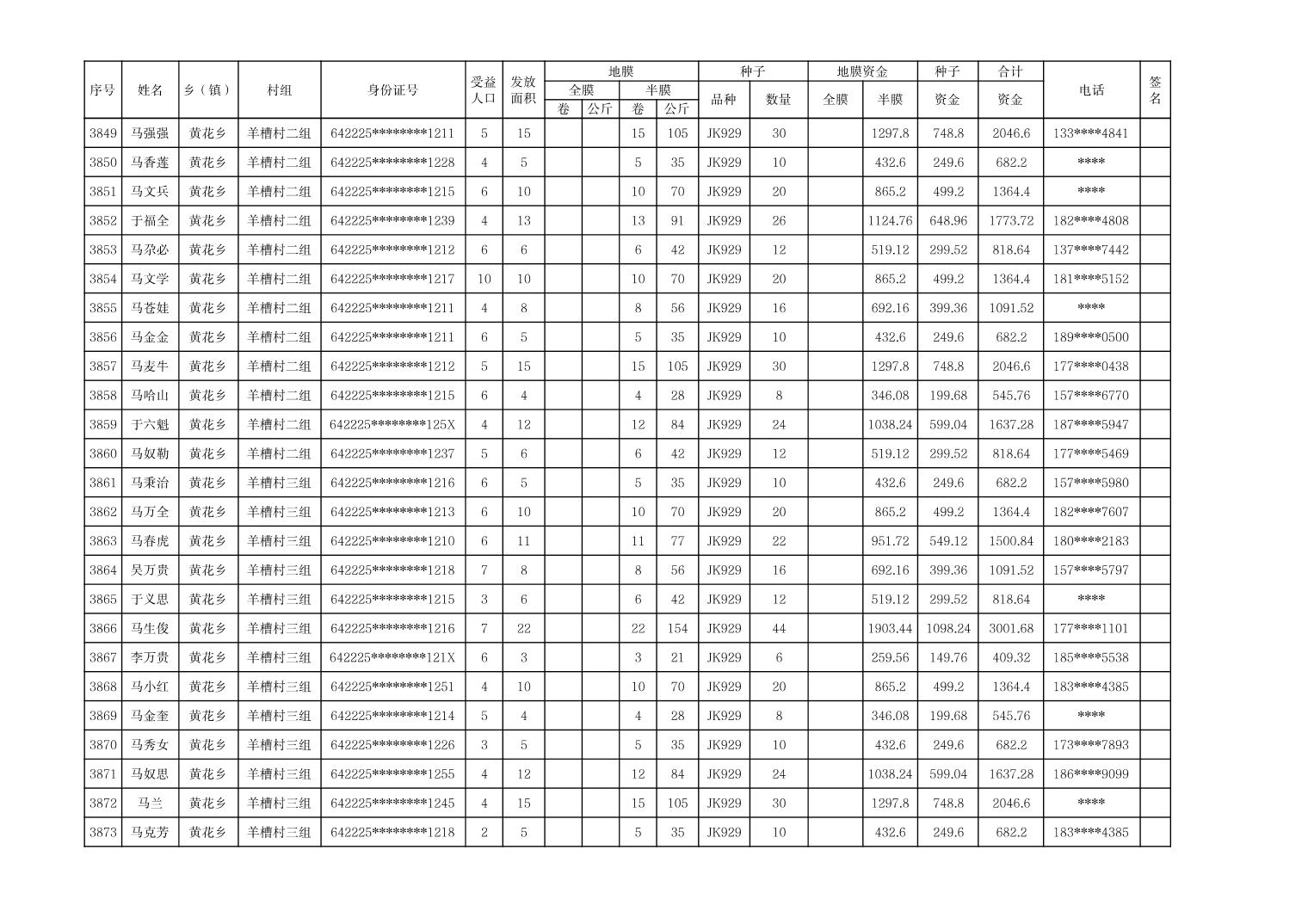
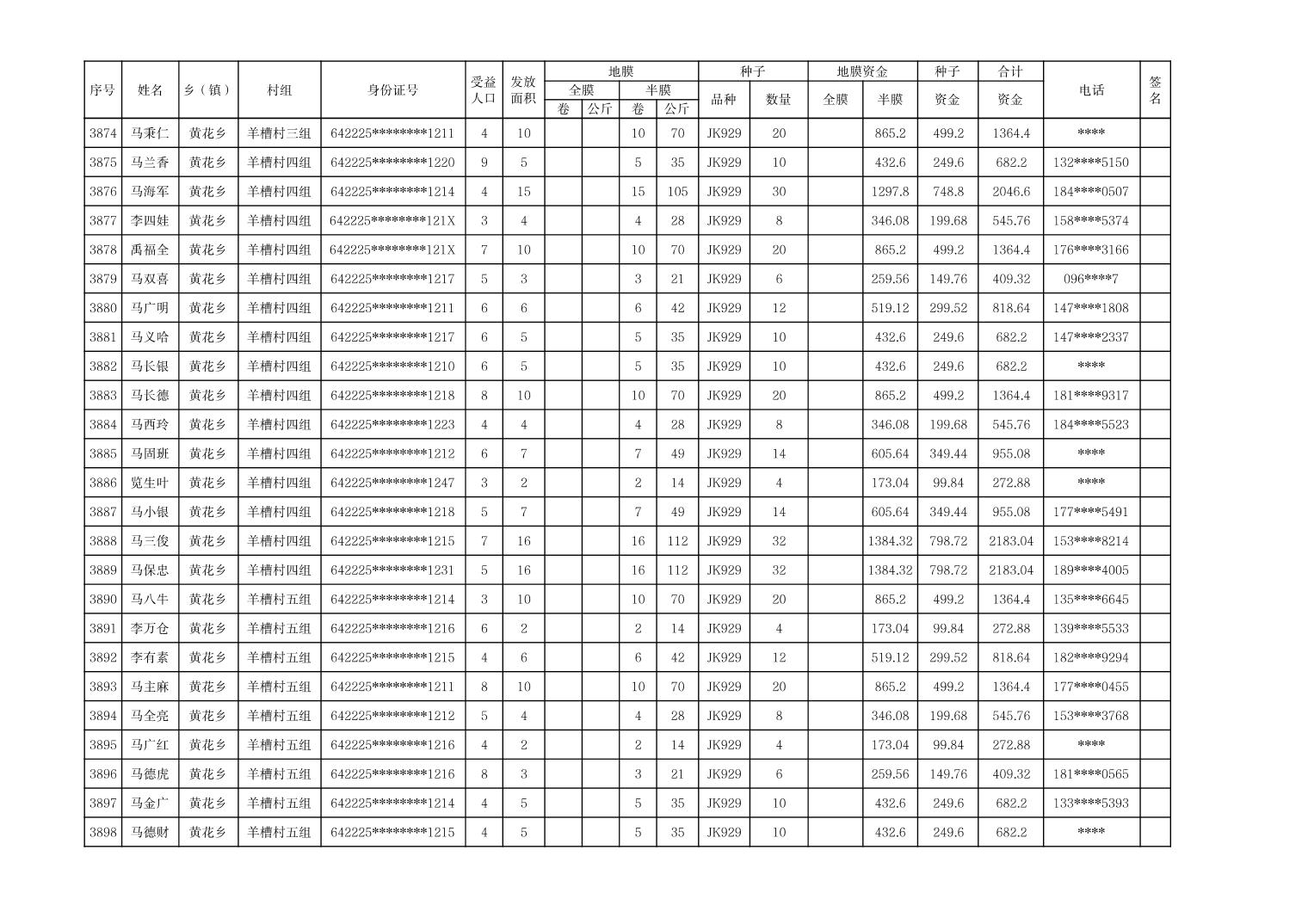
黄花乡:优质高产高效玉米种植行政村11个,共抽验11个行政村,抽验面积2262亩,抽验比例30.7%,完成率98.7%,确认覆膜种植面积7371亩。
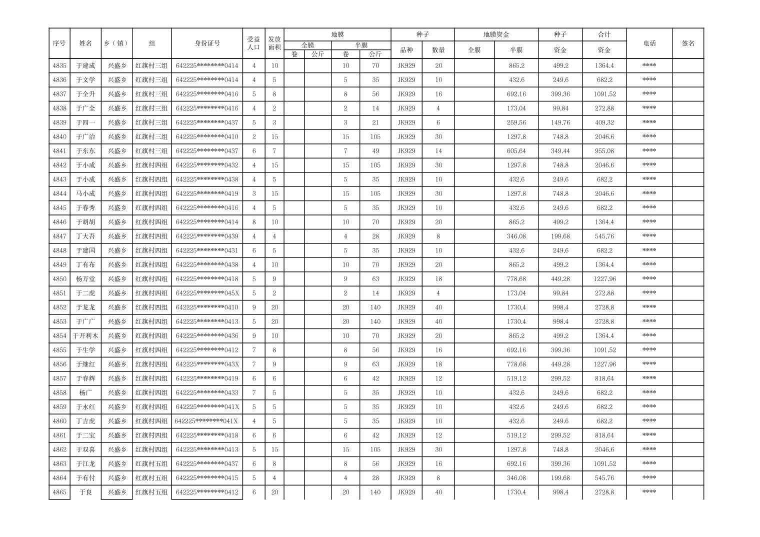
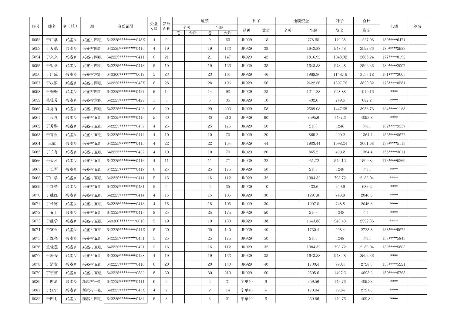
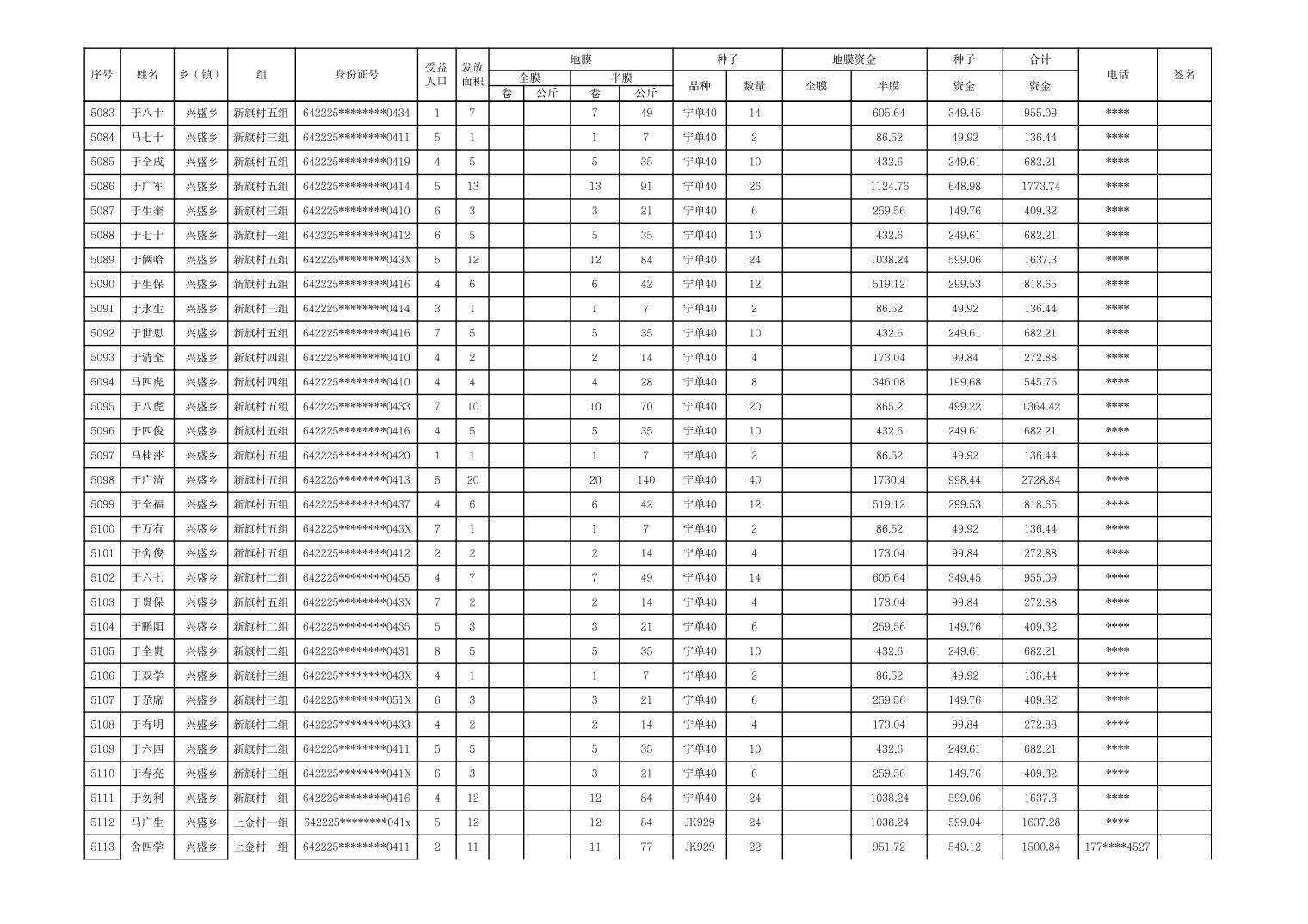
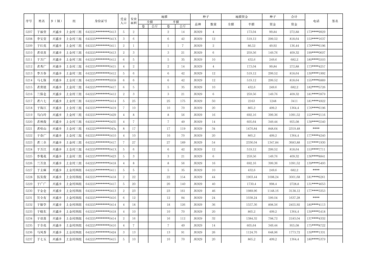
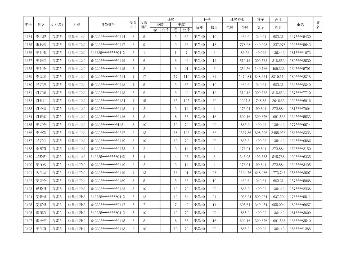
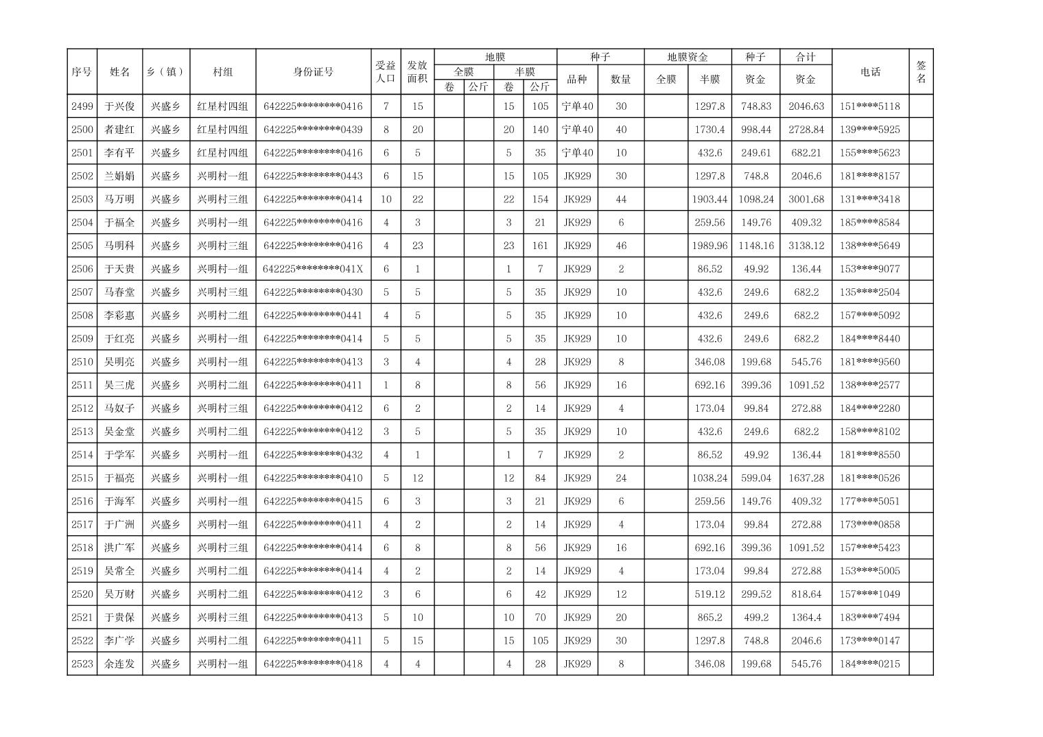
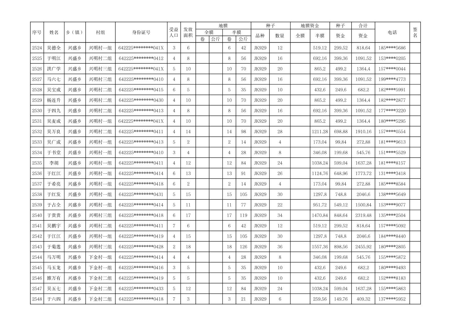
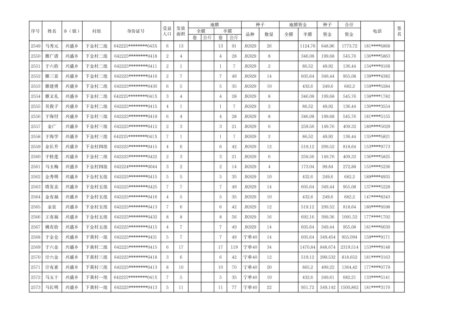
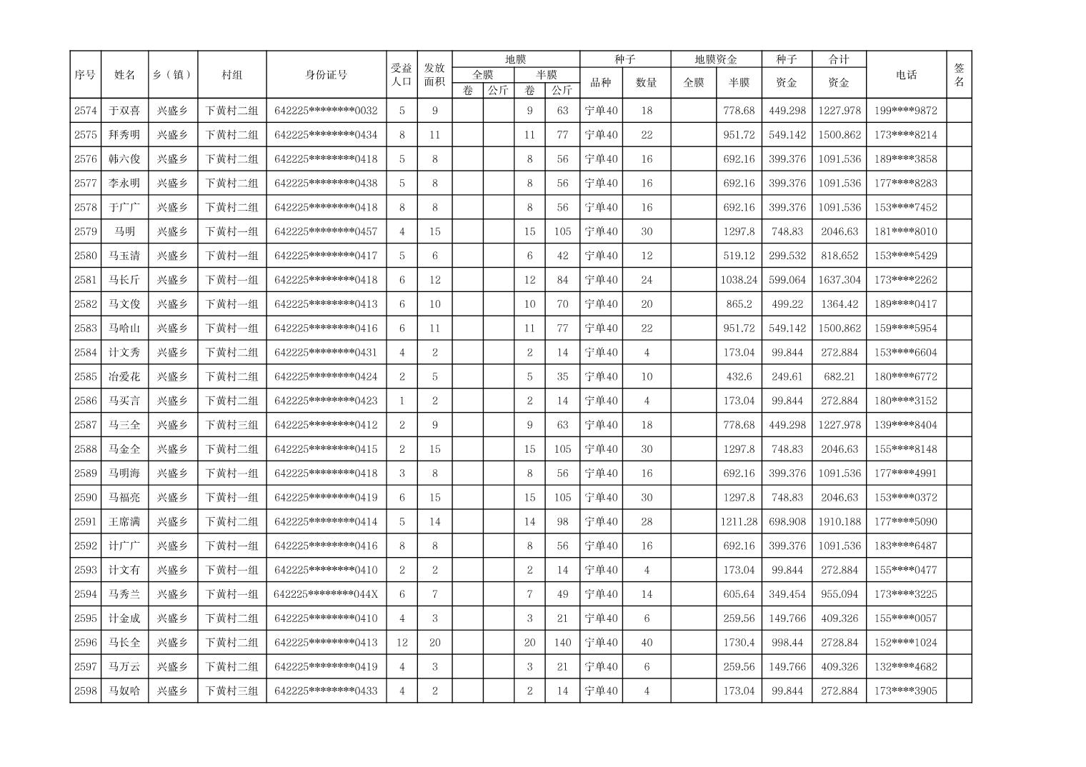
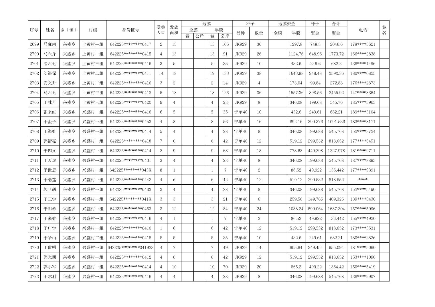
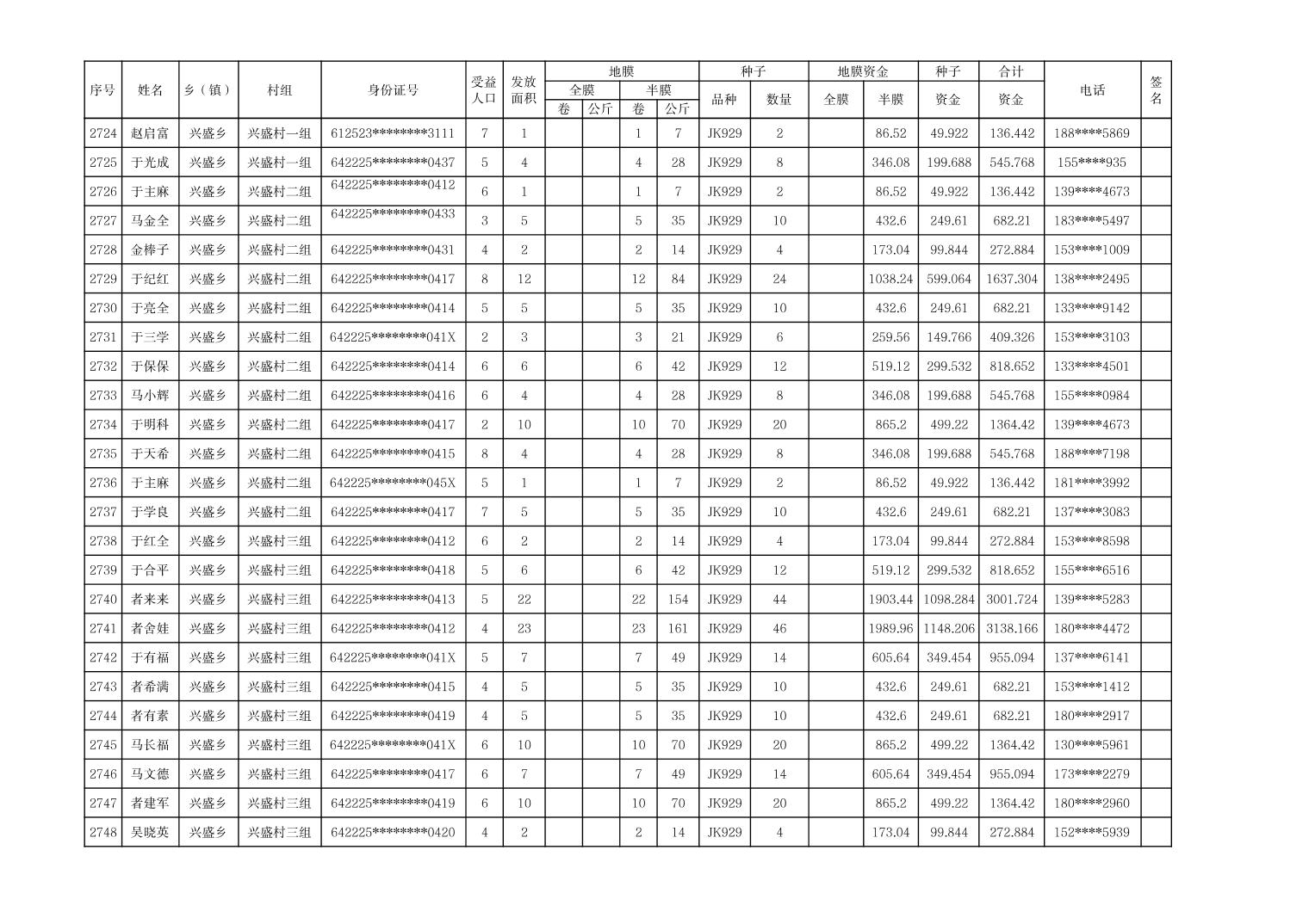
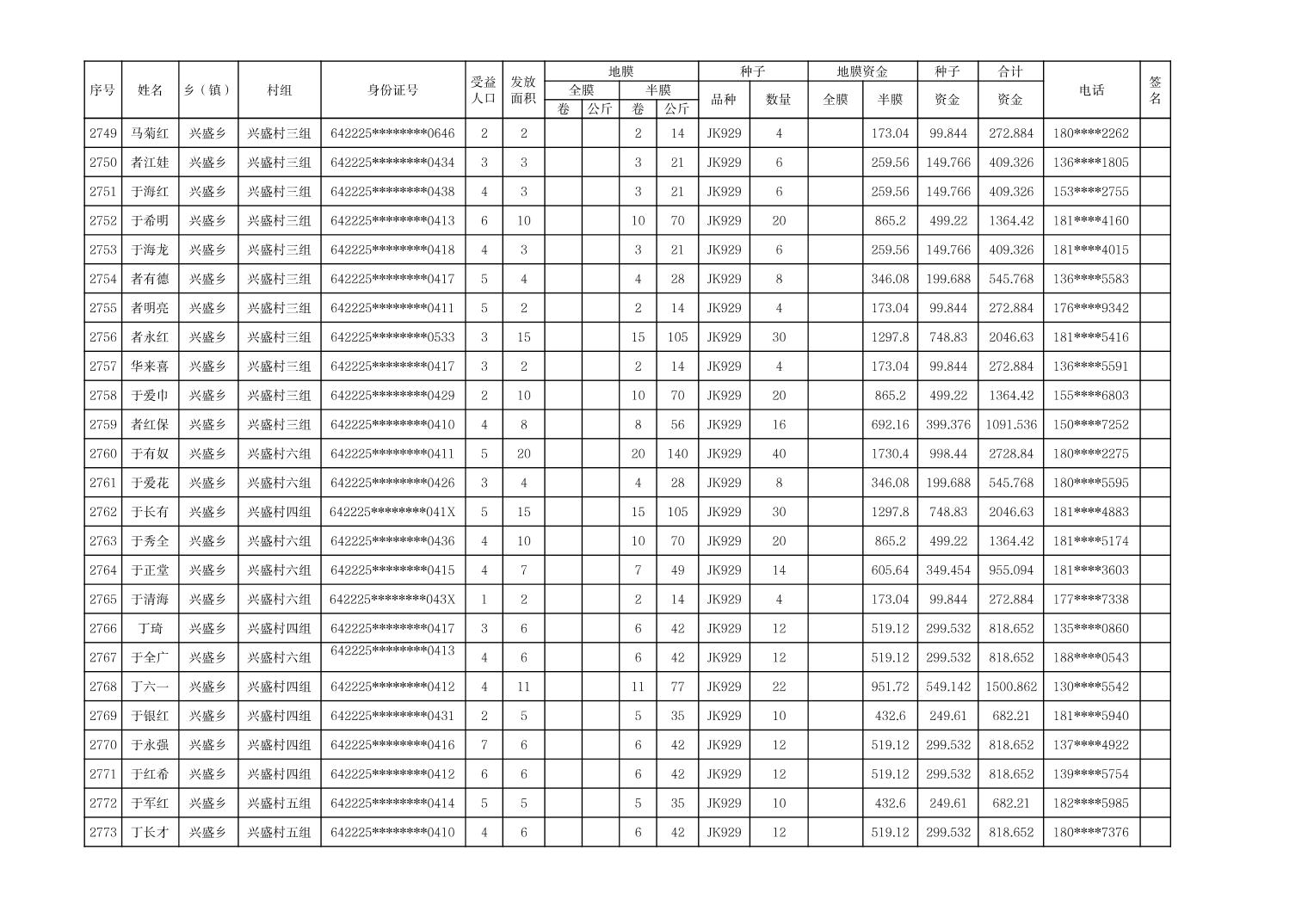
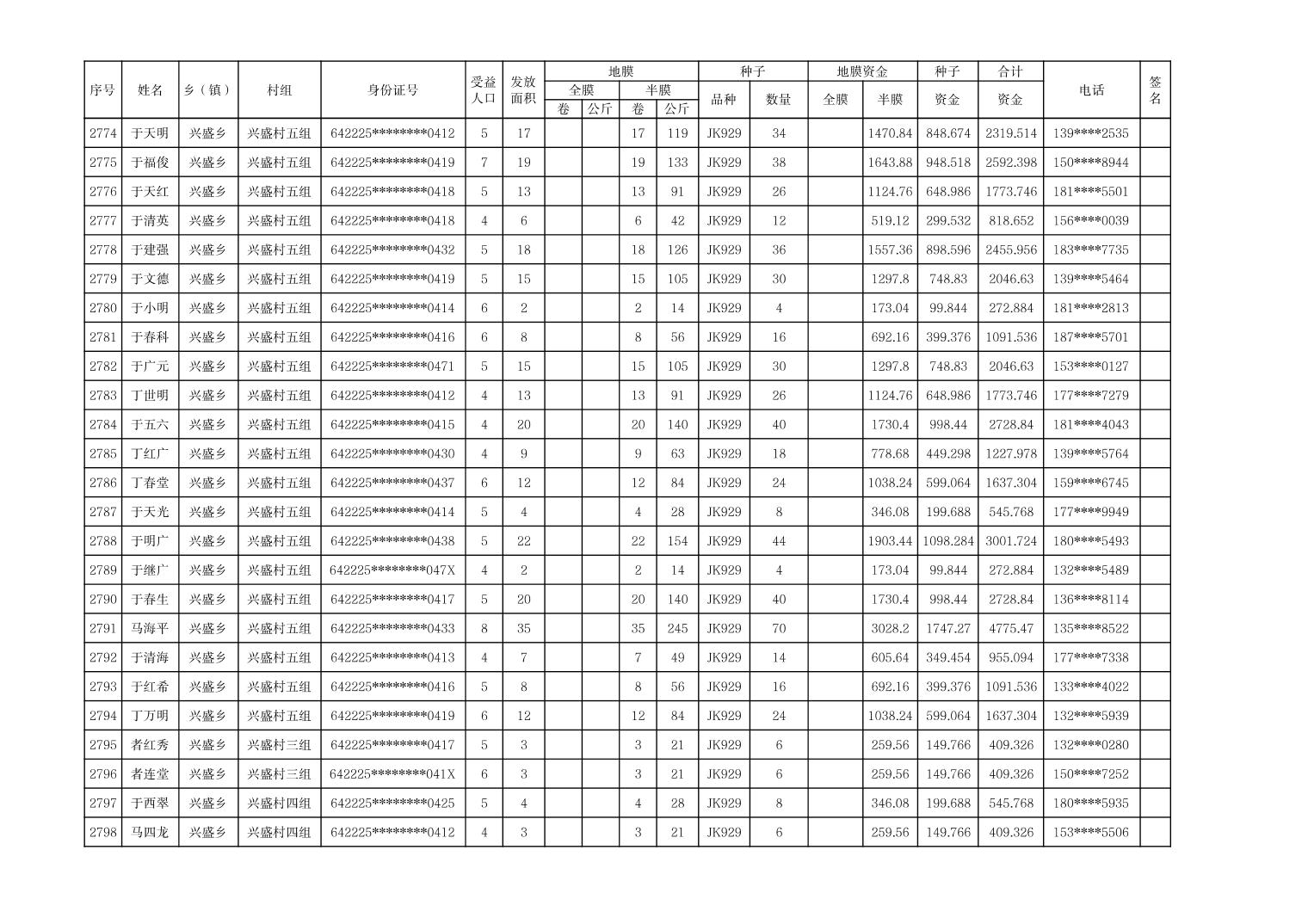
兴盛乡:优质高产高效玉米种植行政村9个,共抽验9个行政村,抽验面积3481亩,抽验比例32.3%,完成率99.2%,确认覆膜种植面积10774亩。
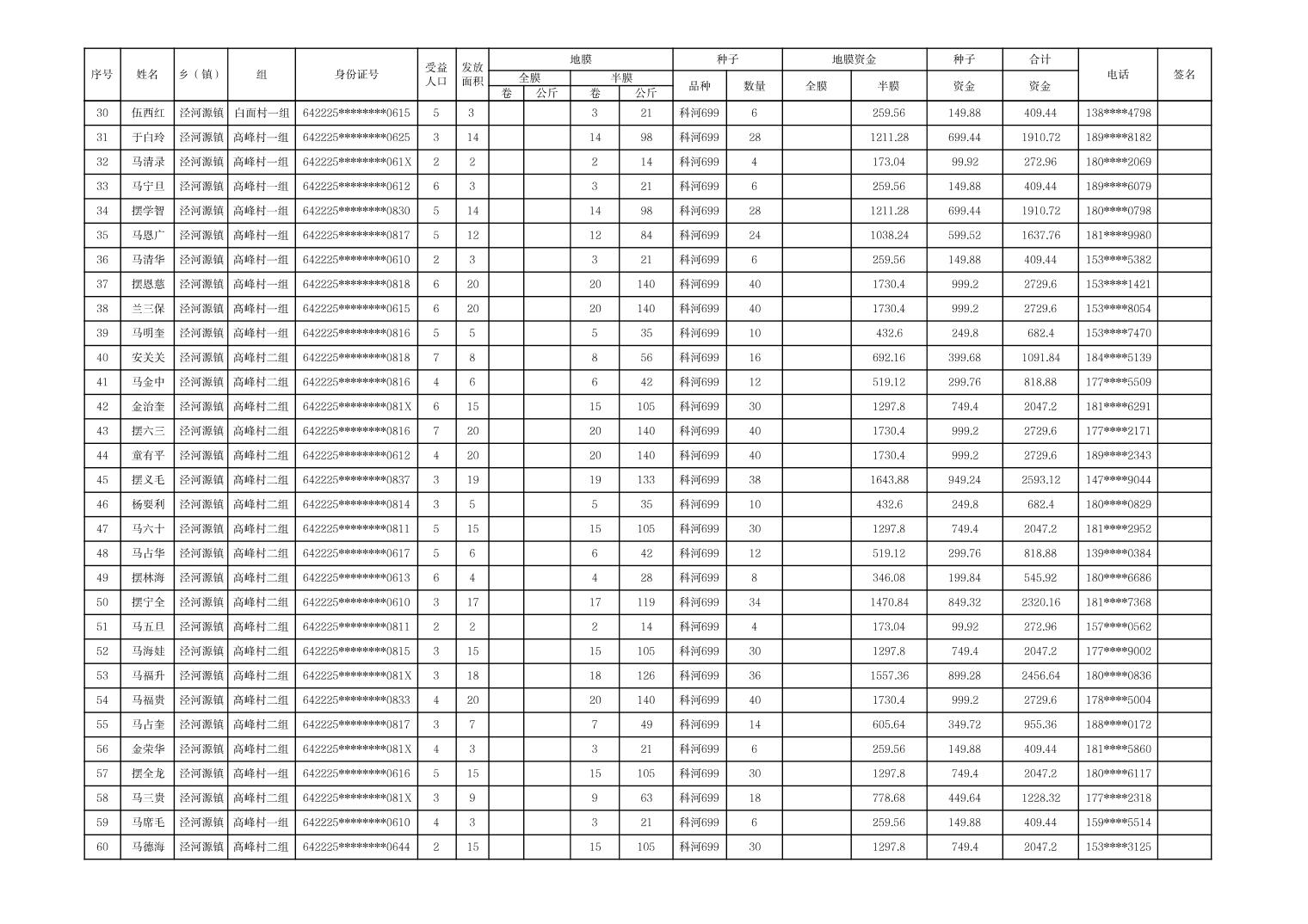
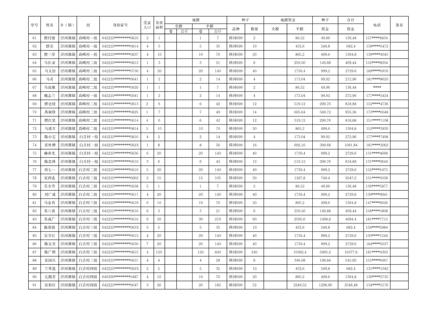
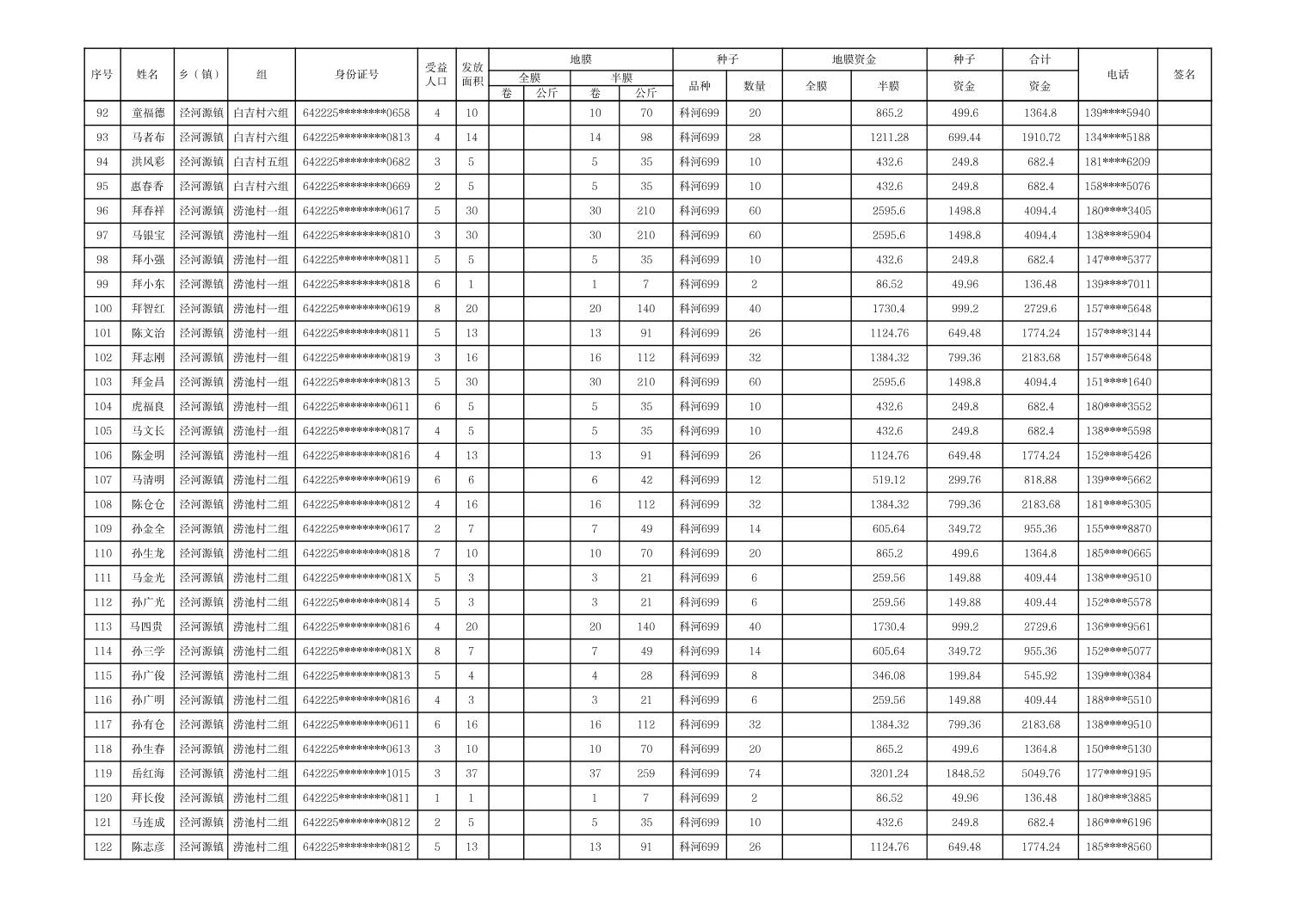
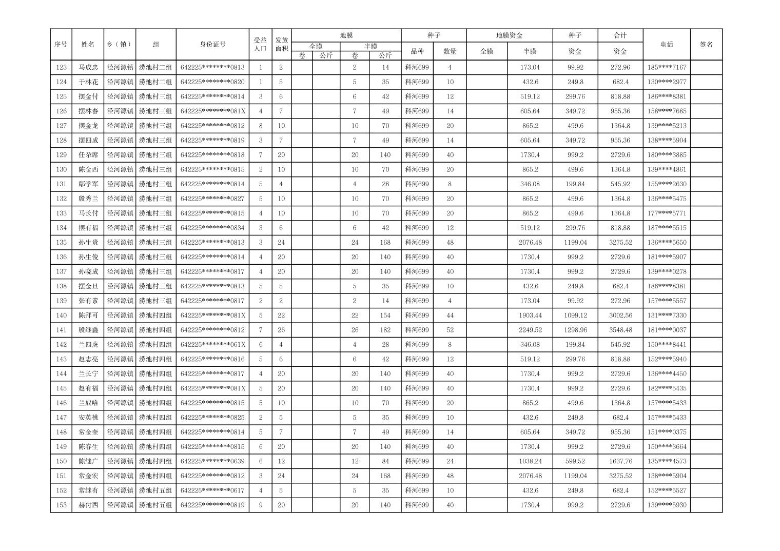
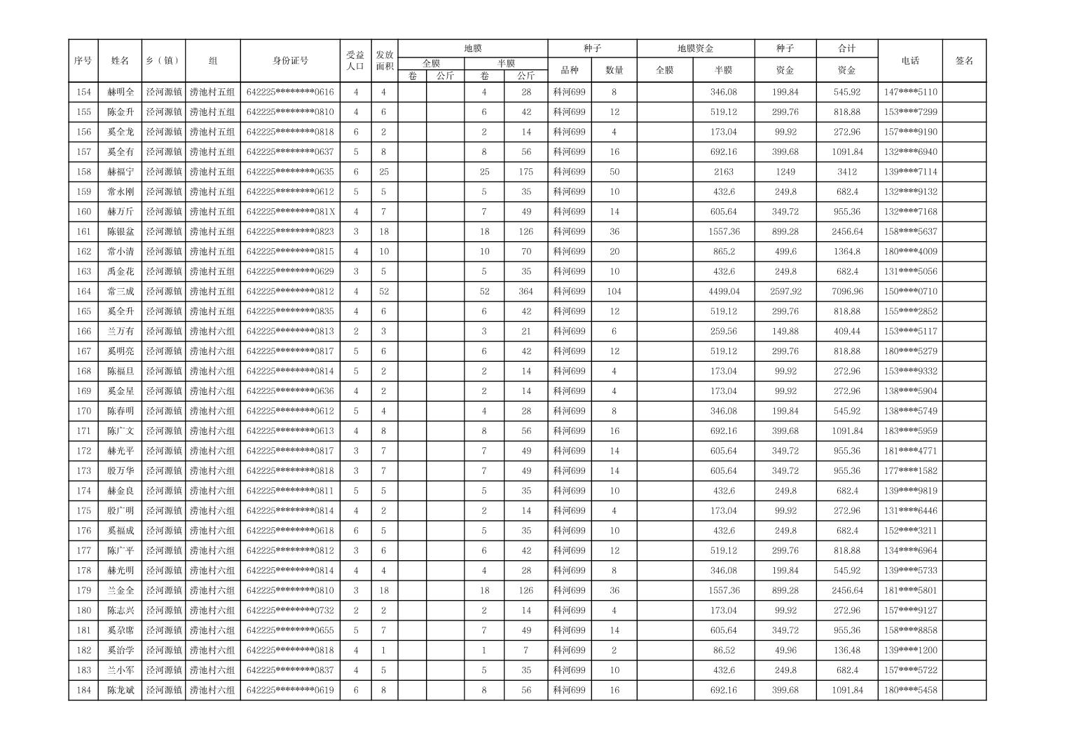
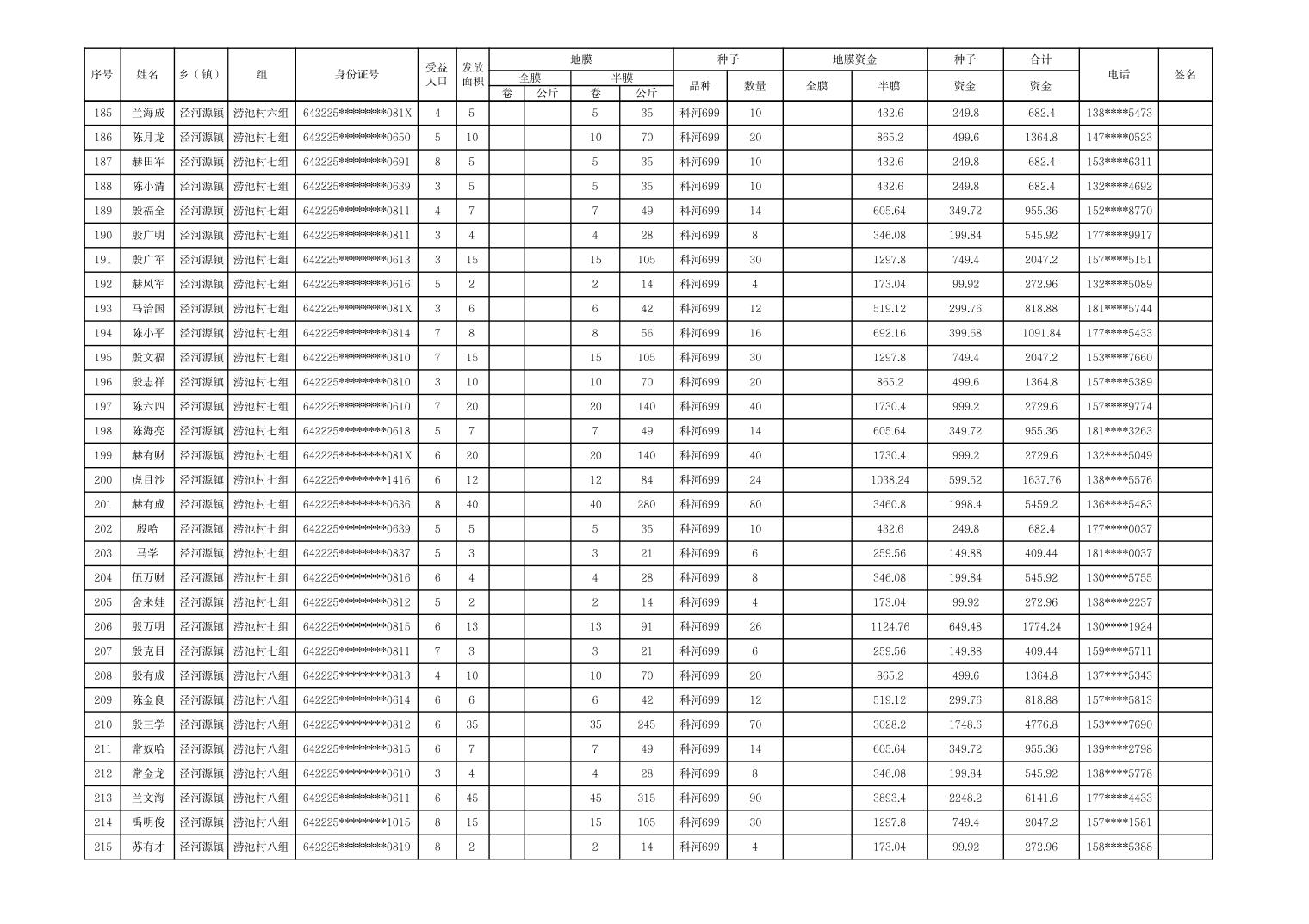
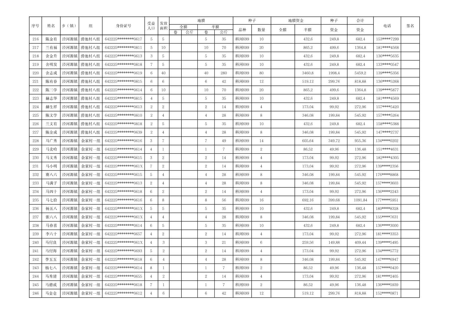
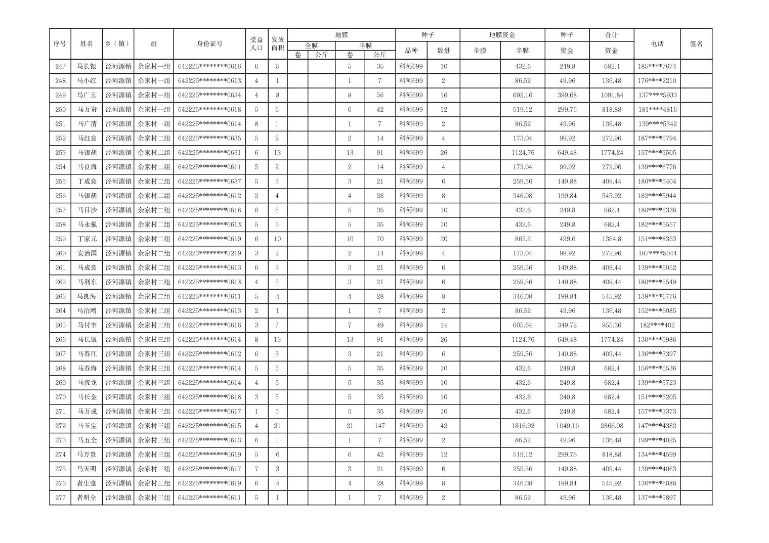
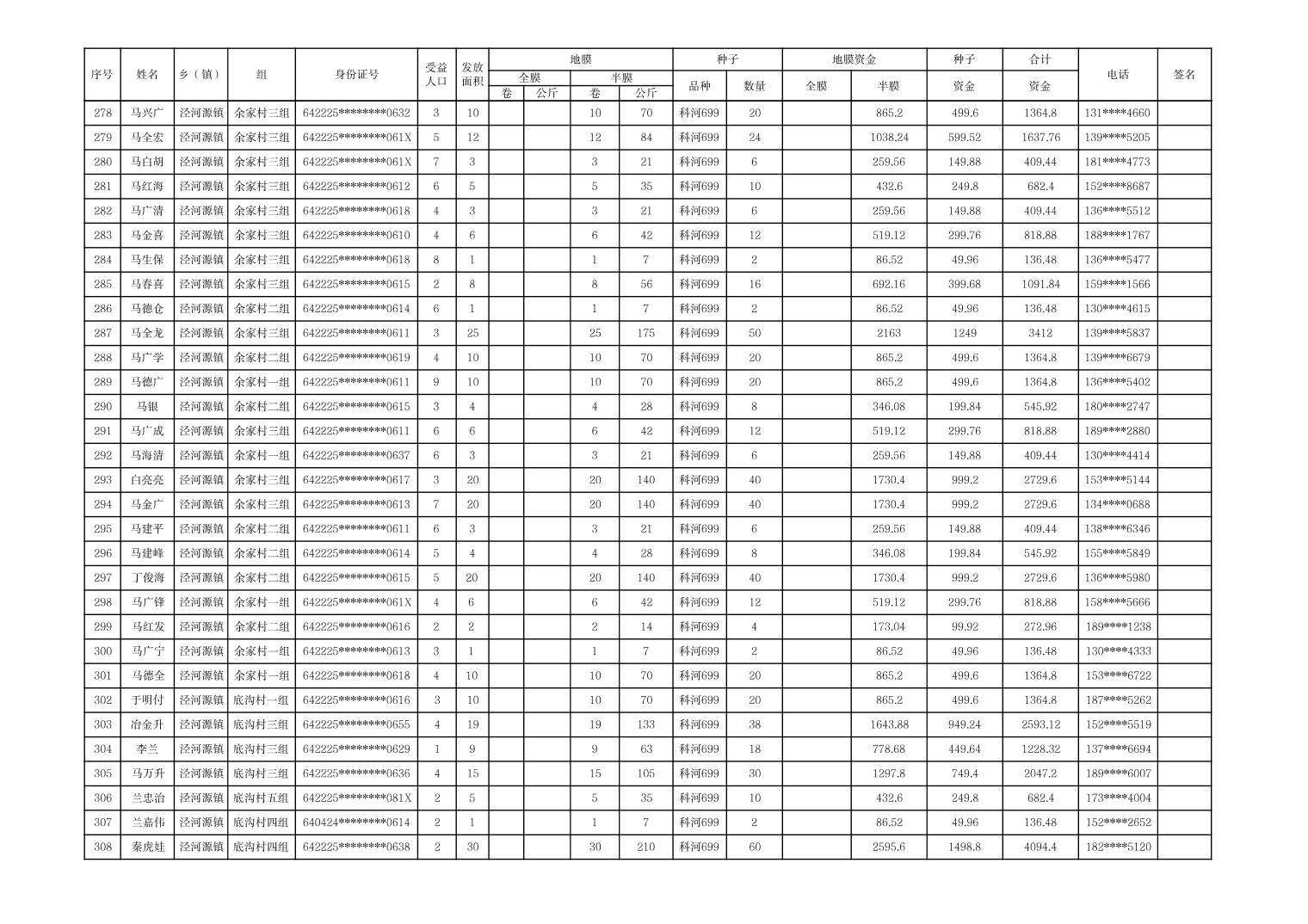
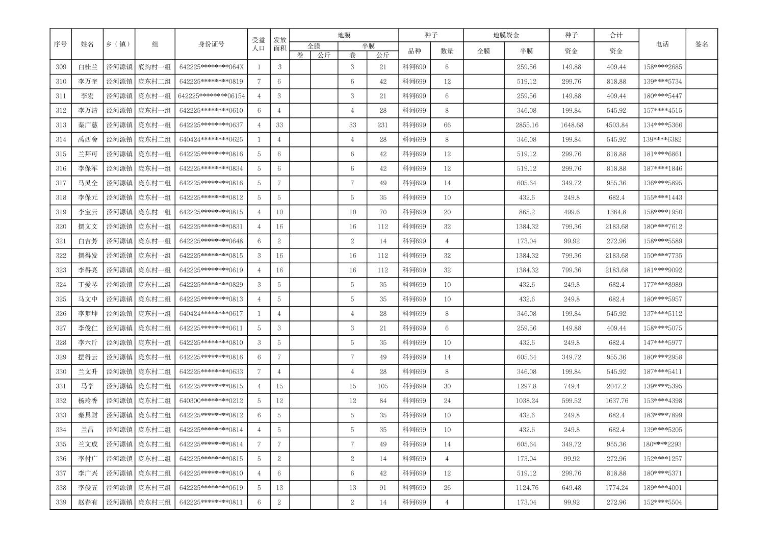
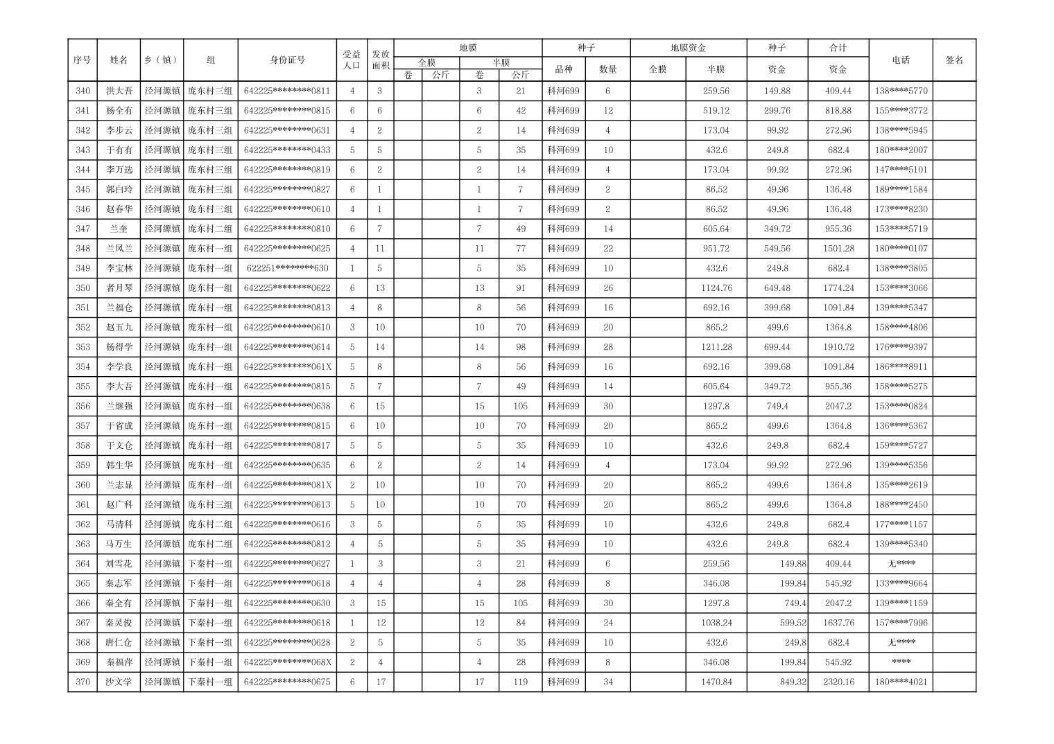
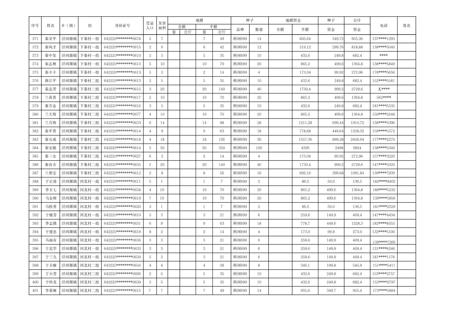
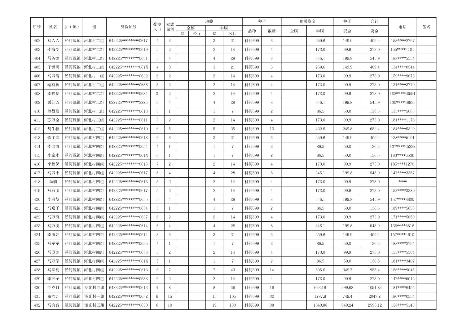
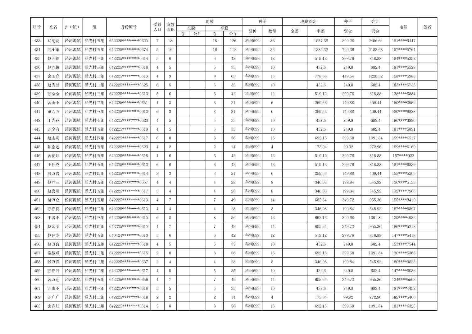
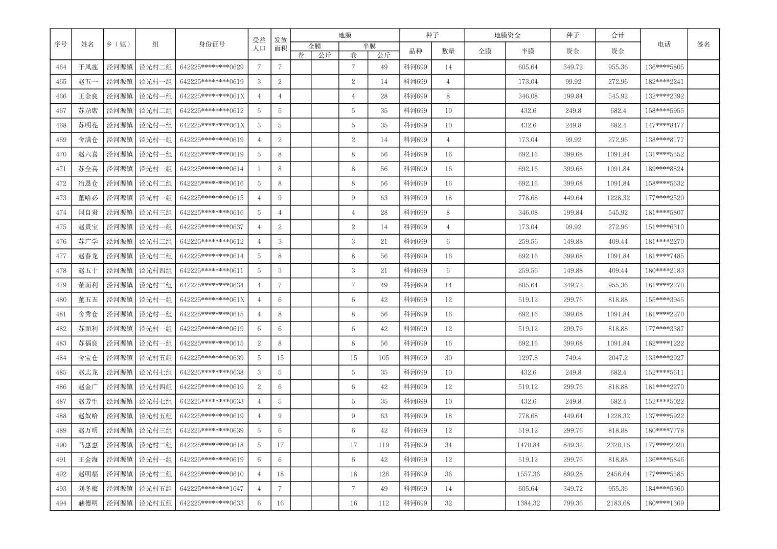
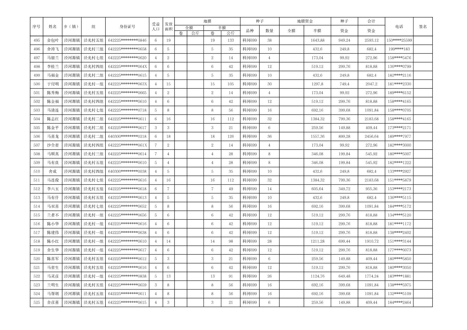
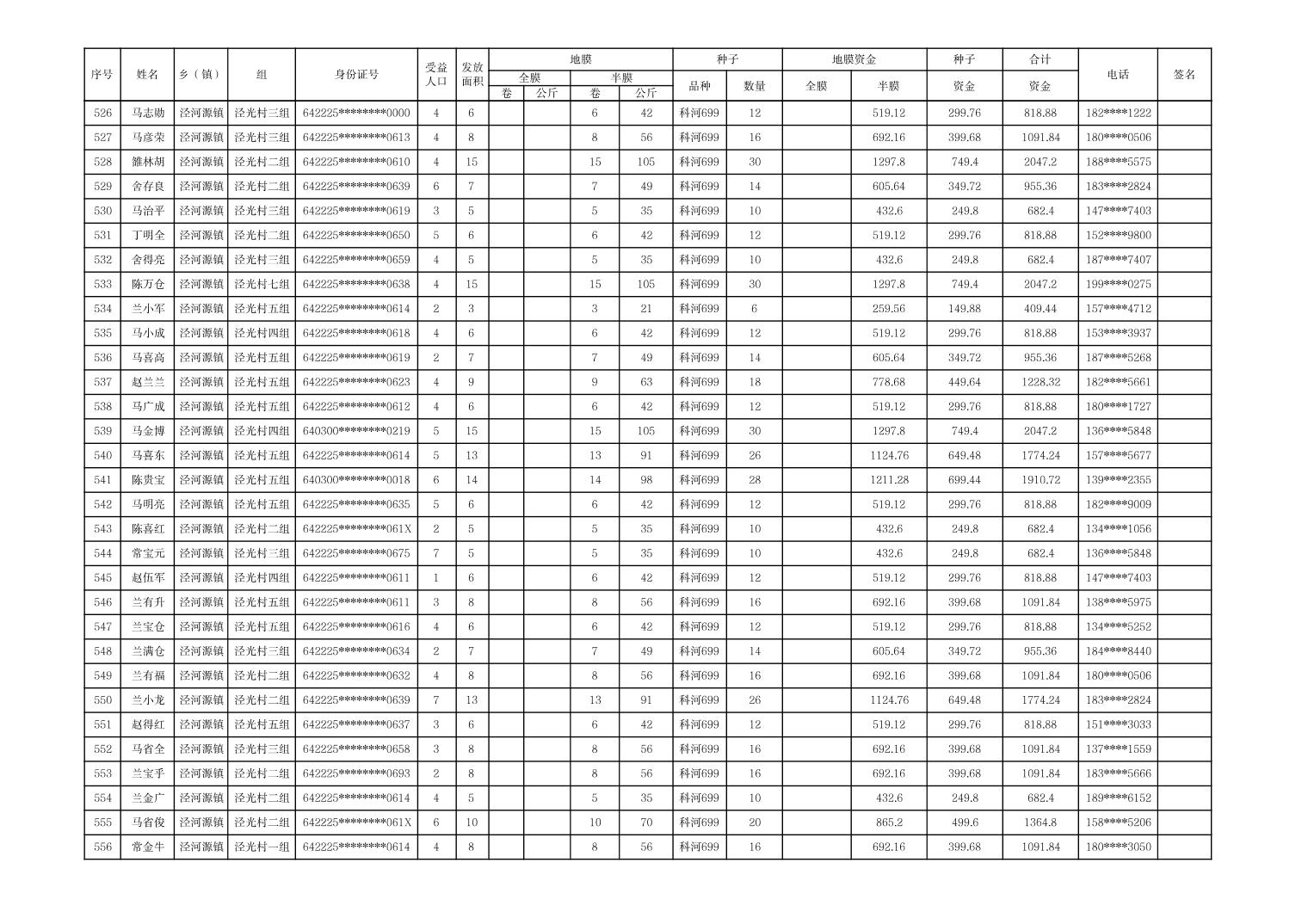
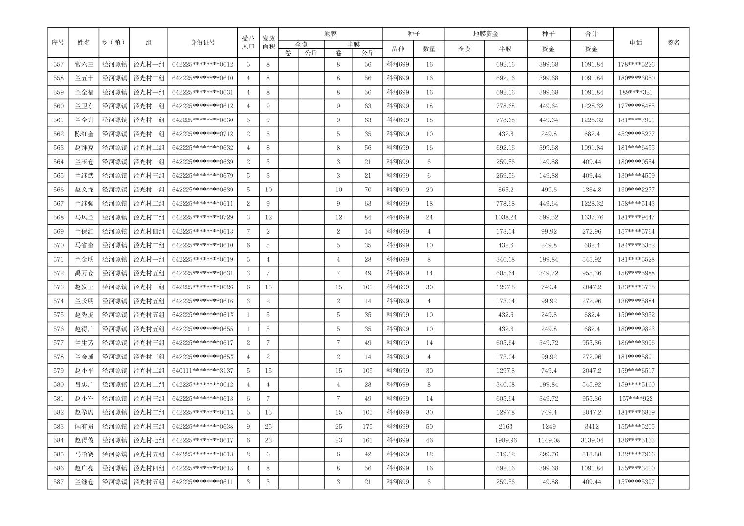
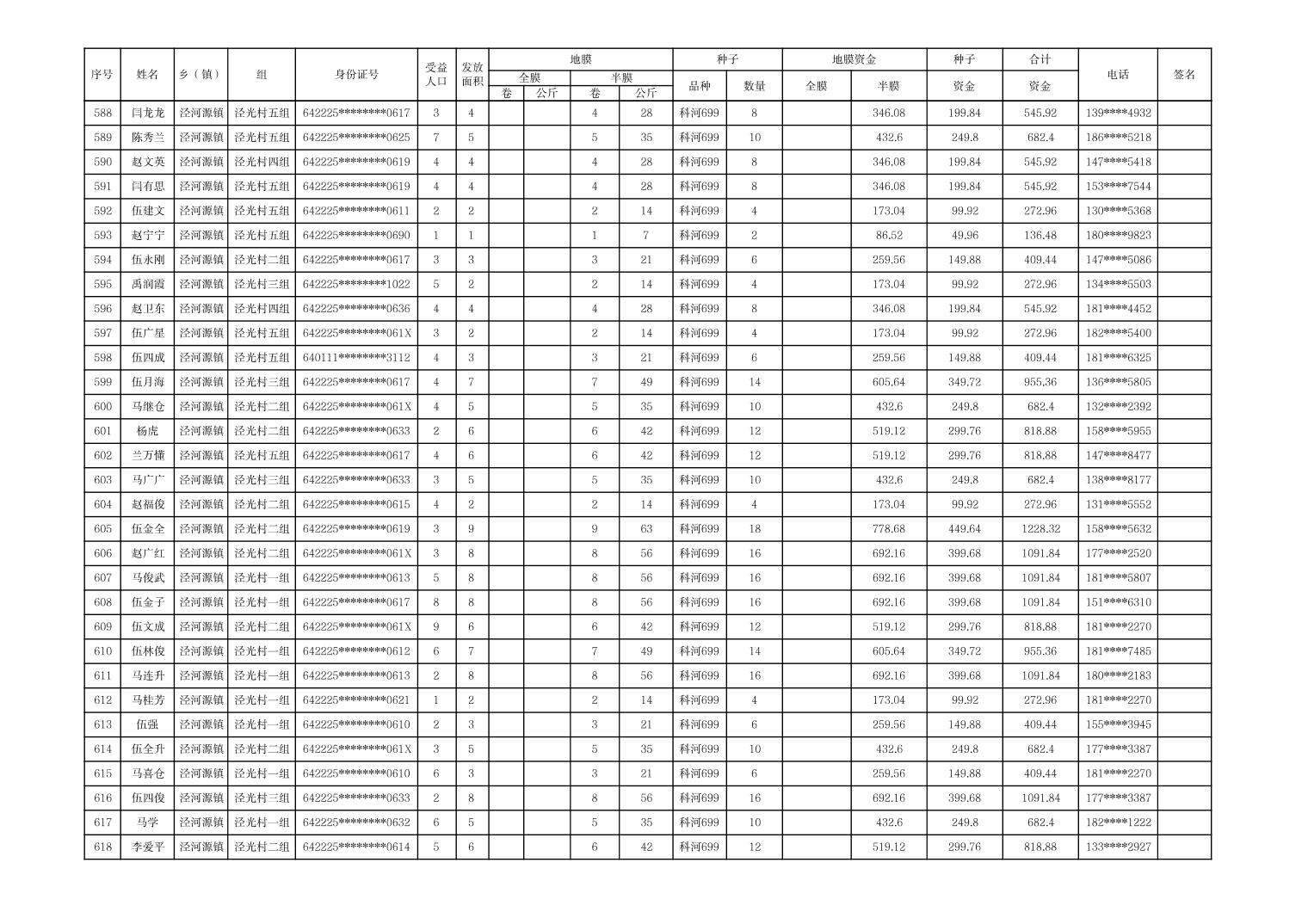
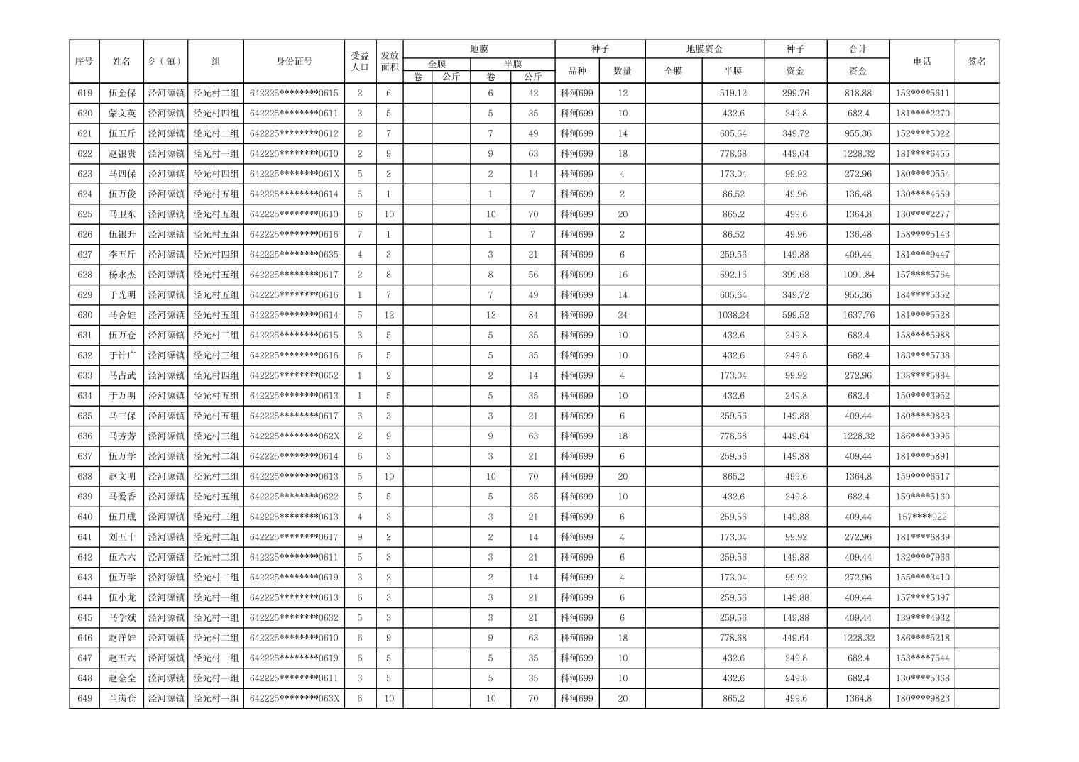
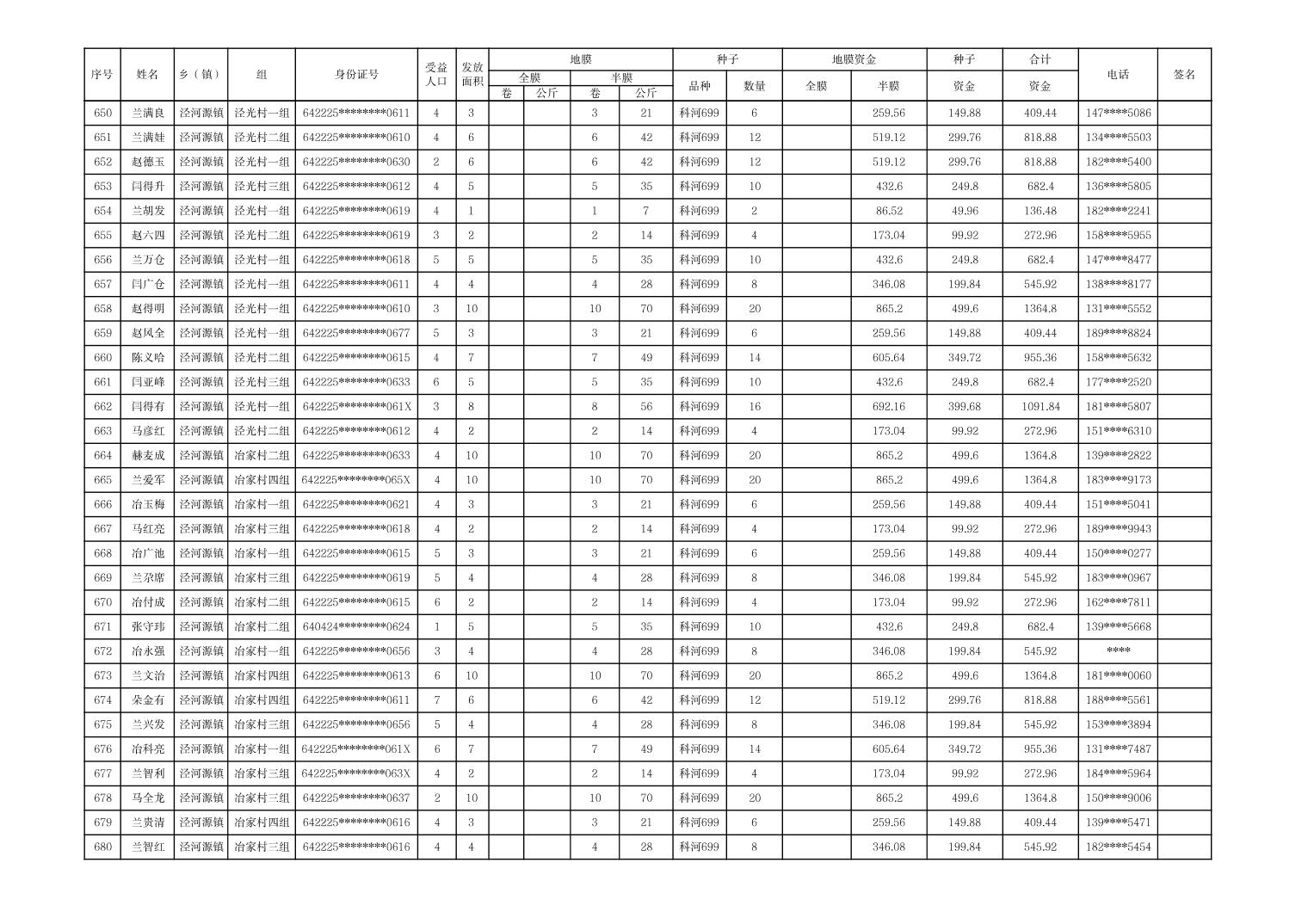
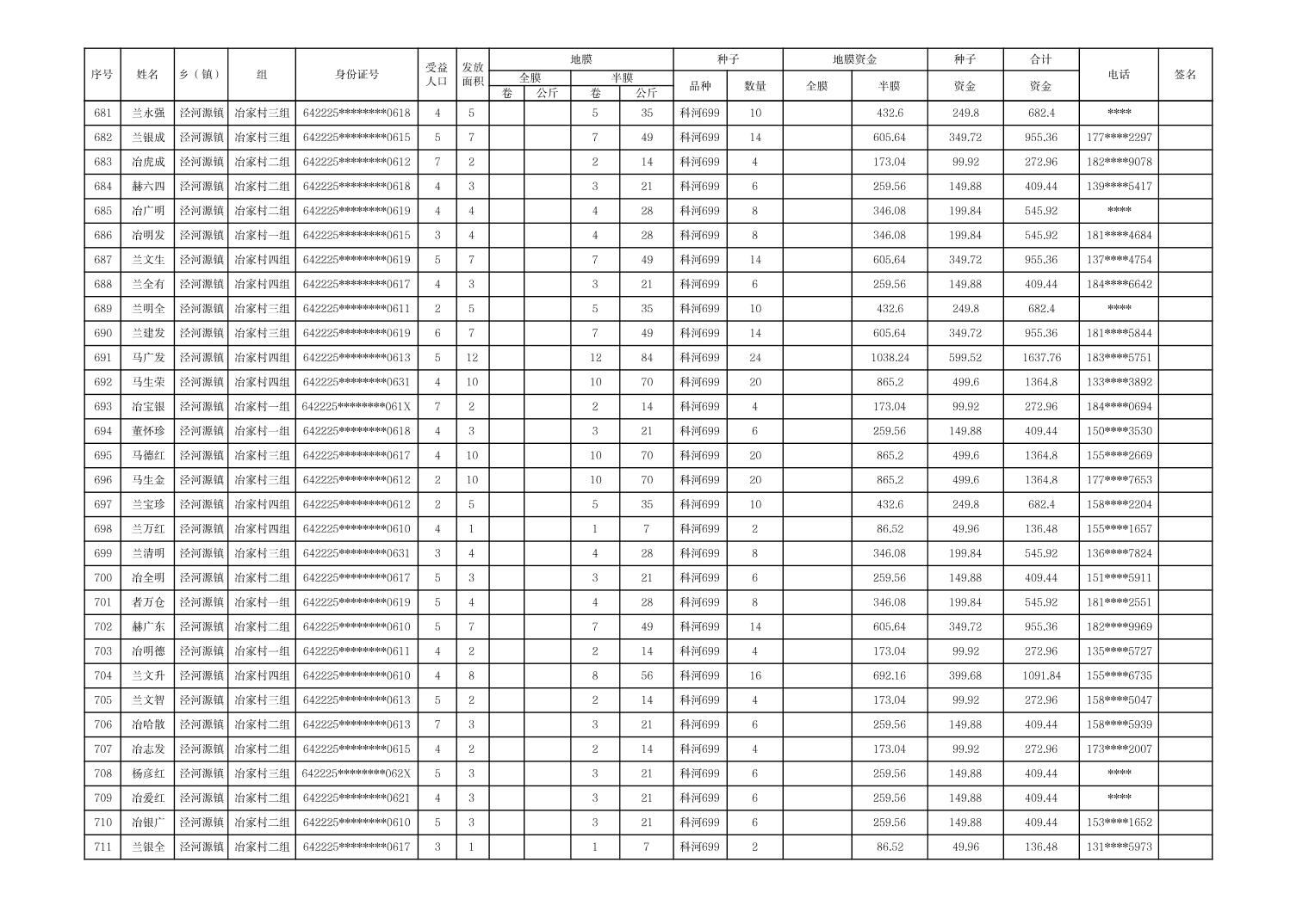
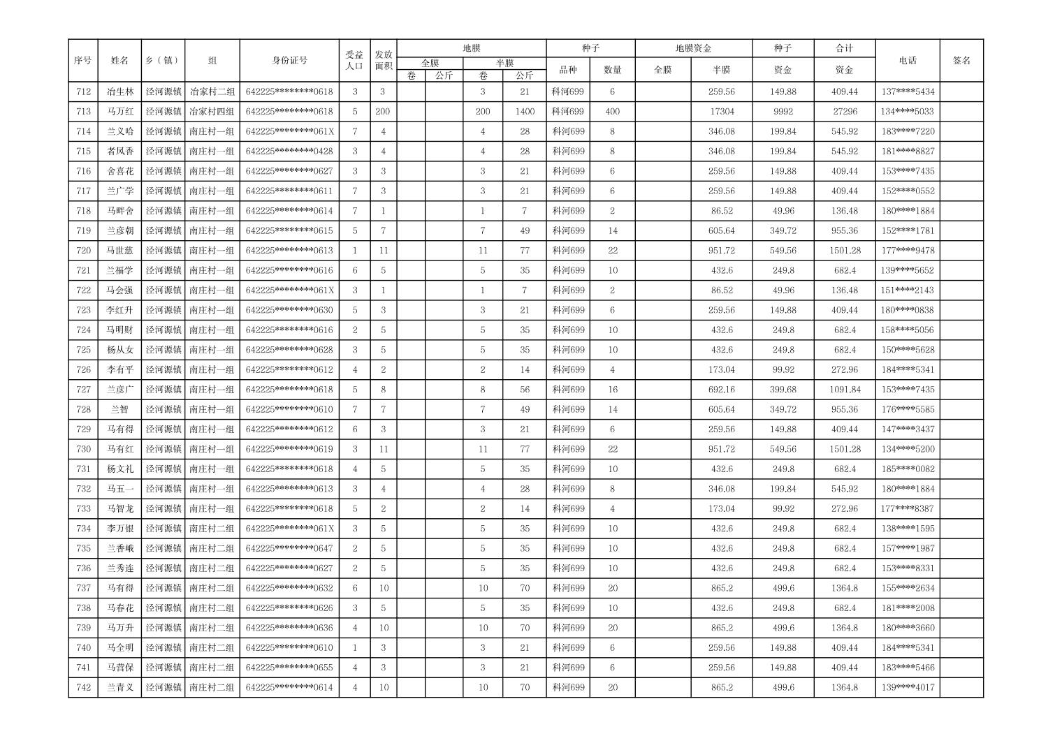
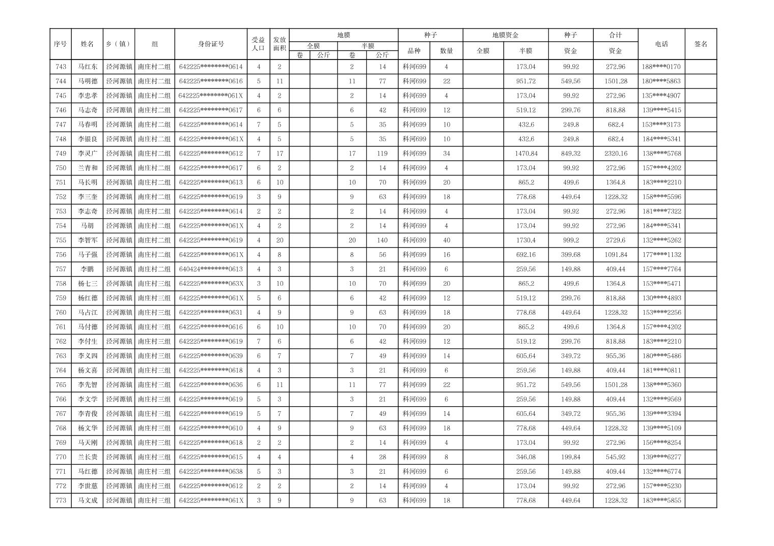
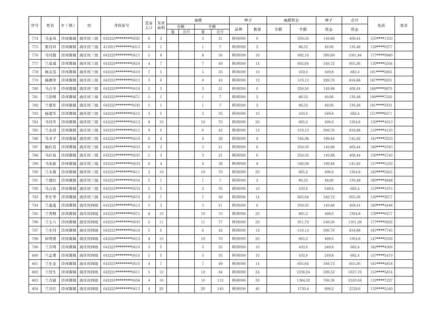
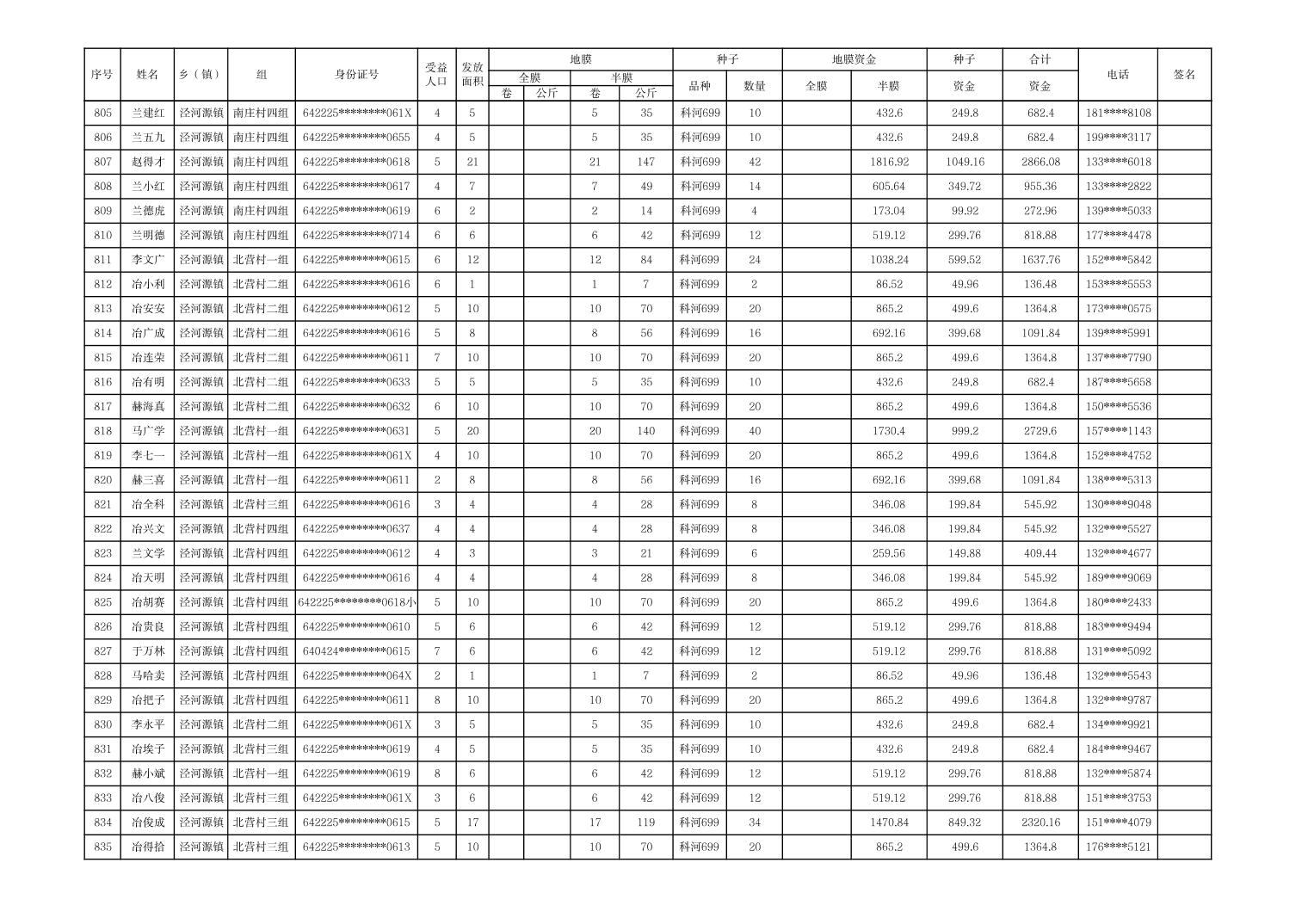
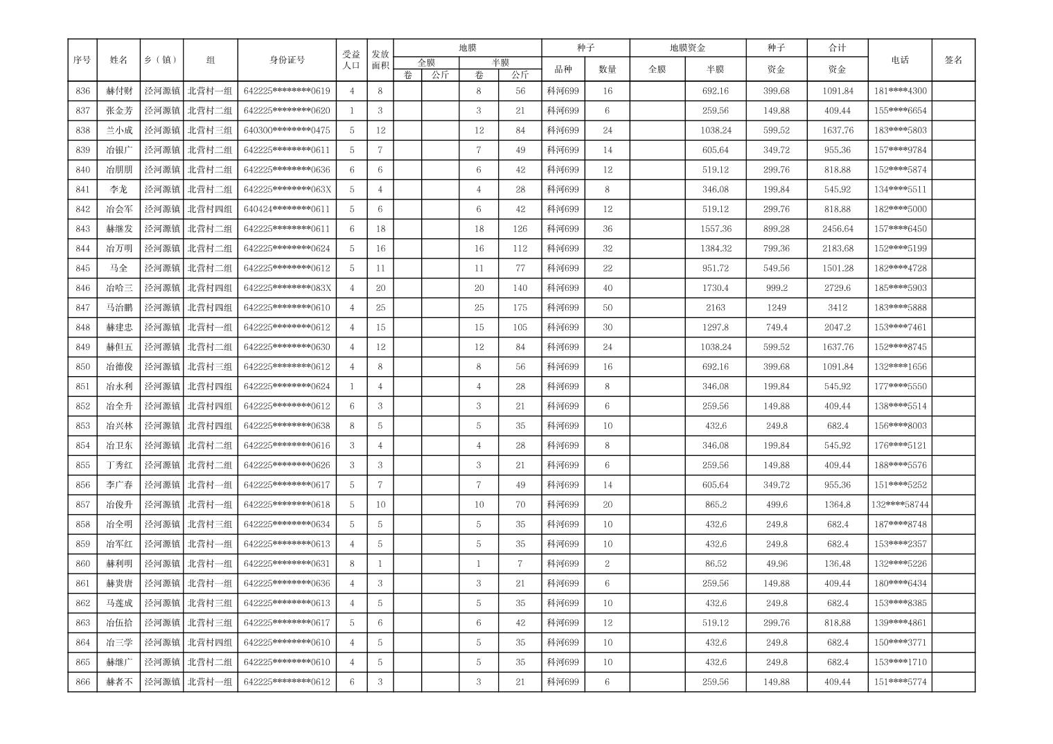
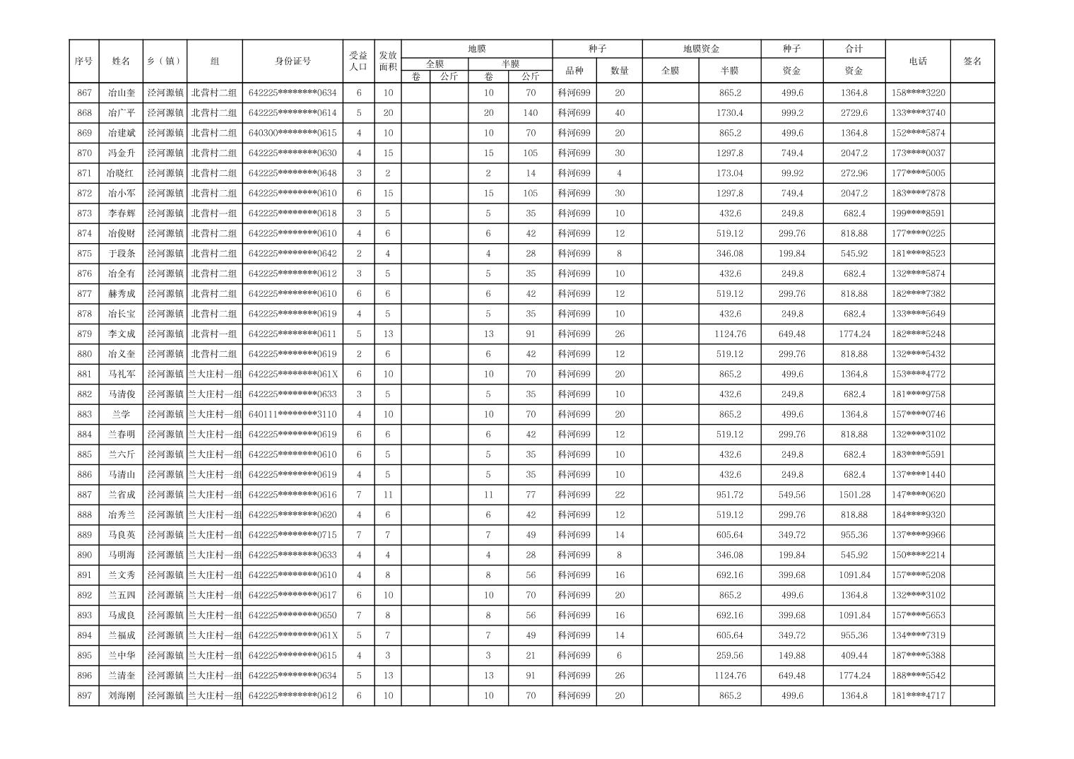
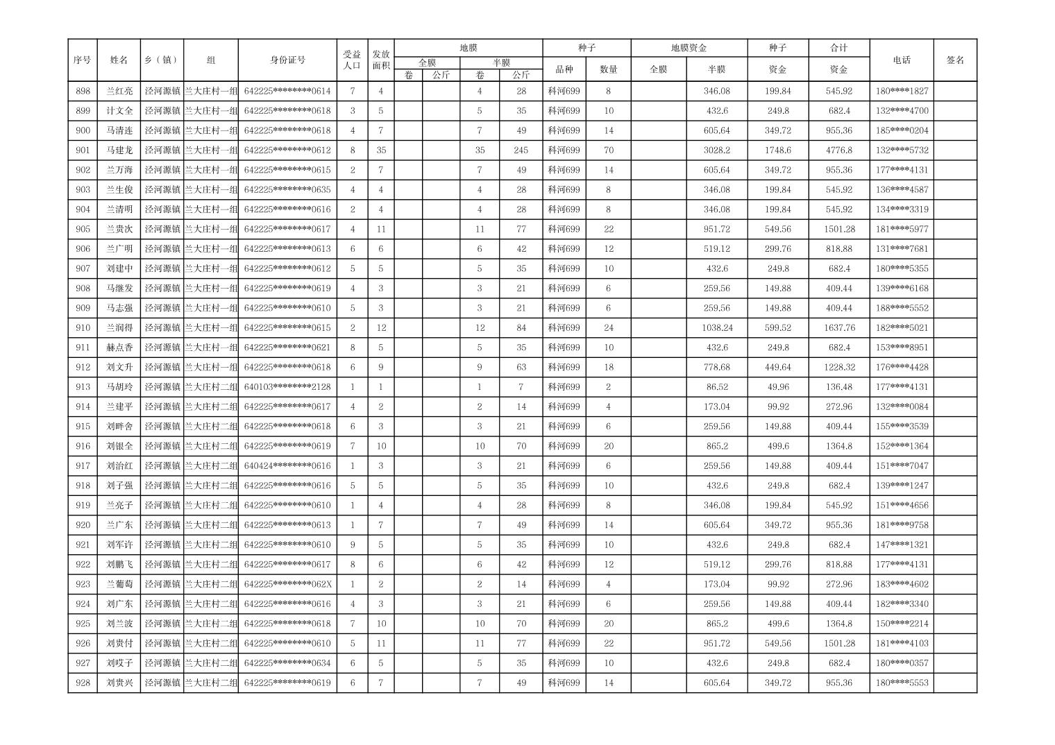
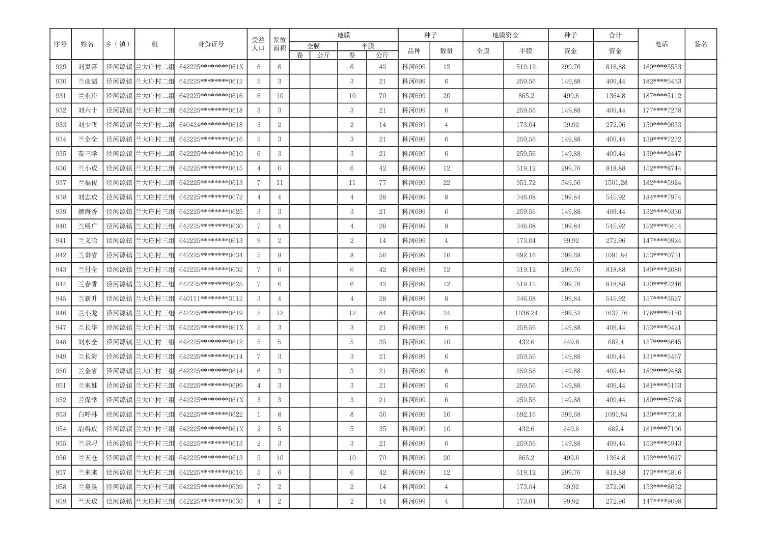
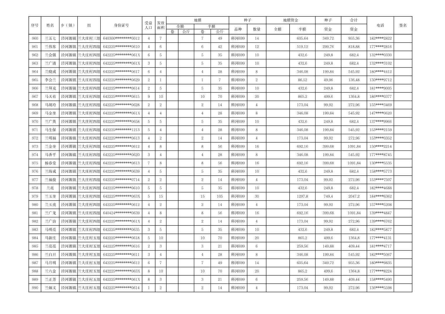
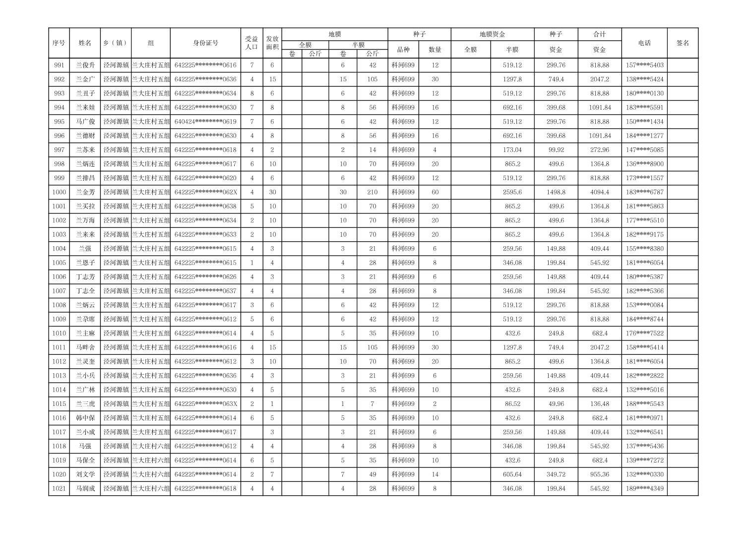
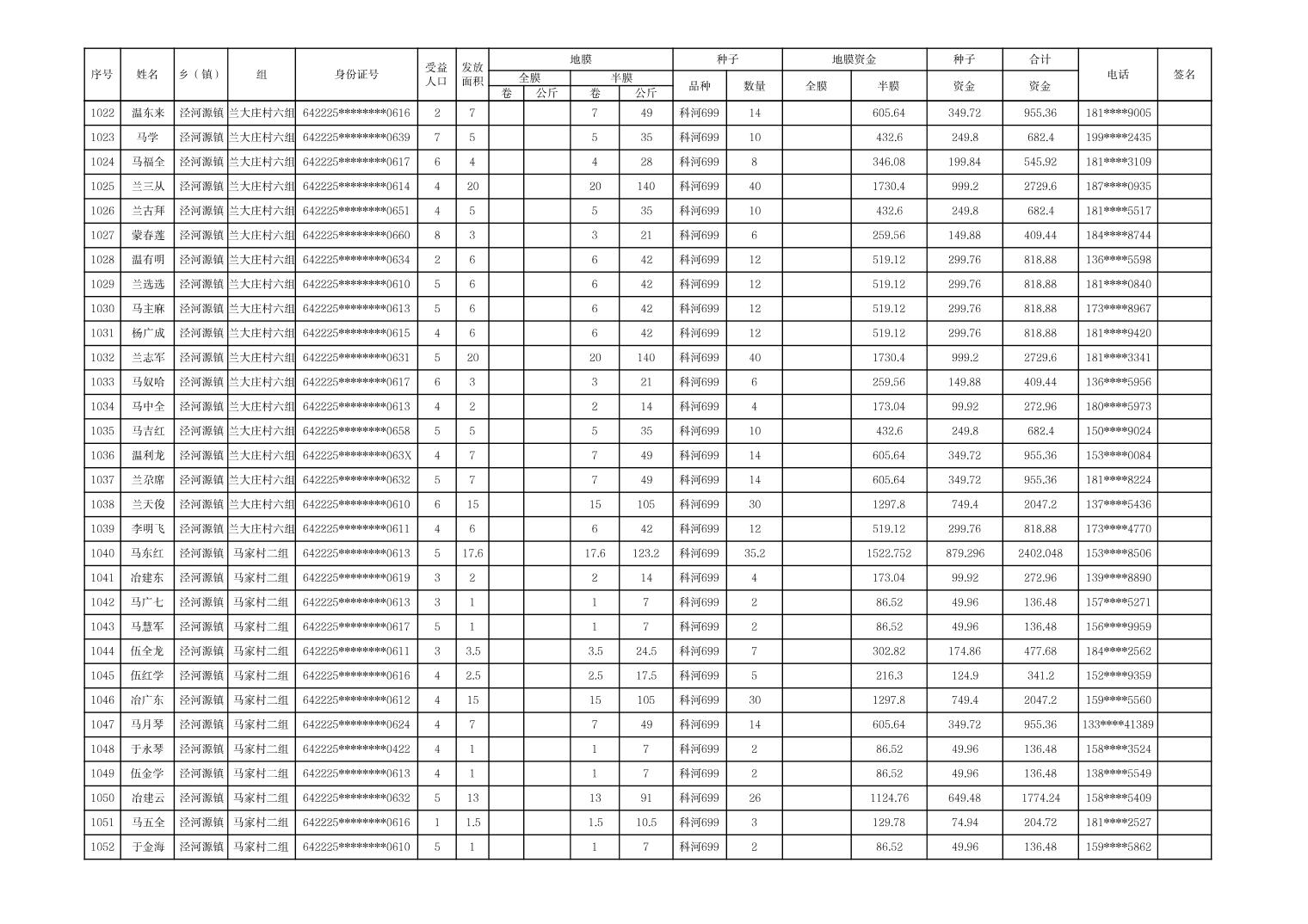
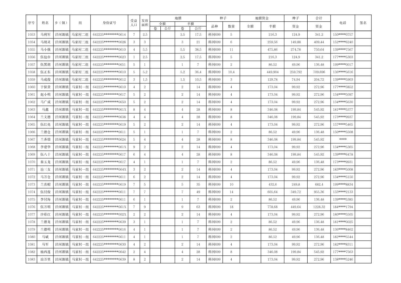
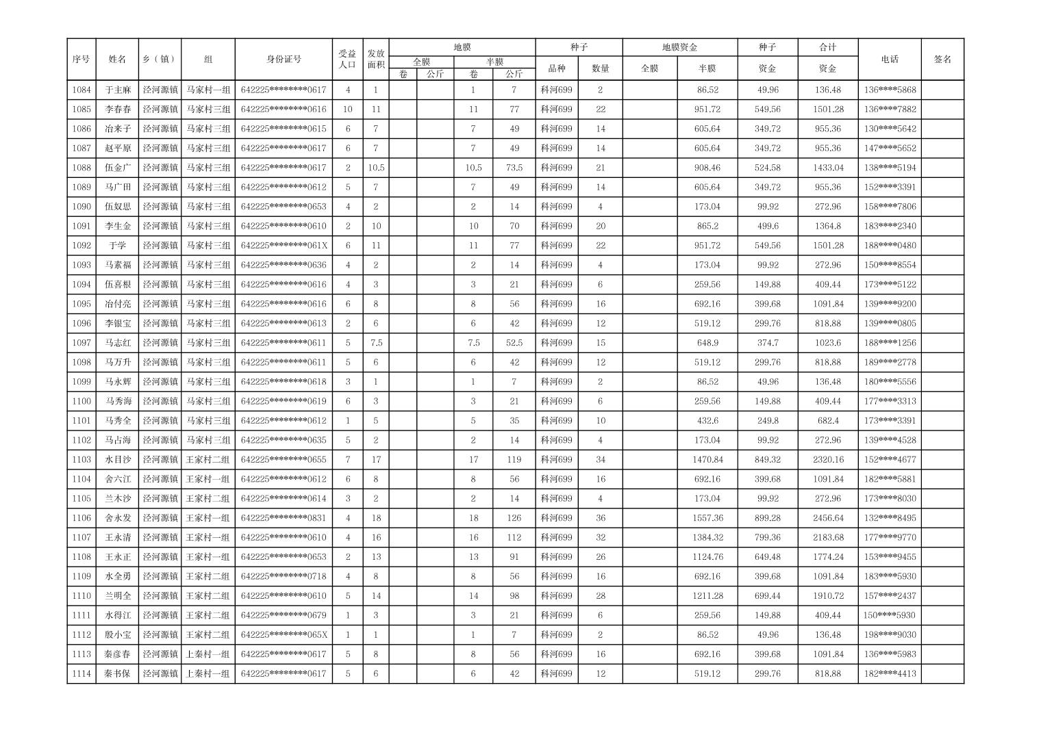
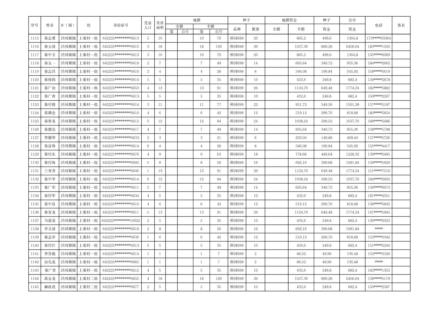
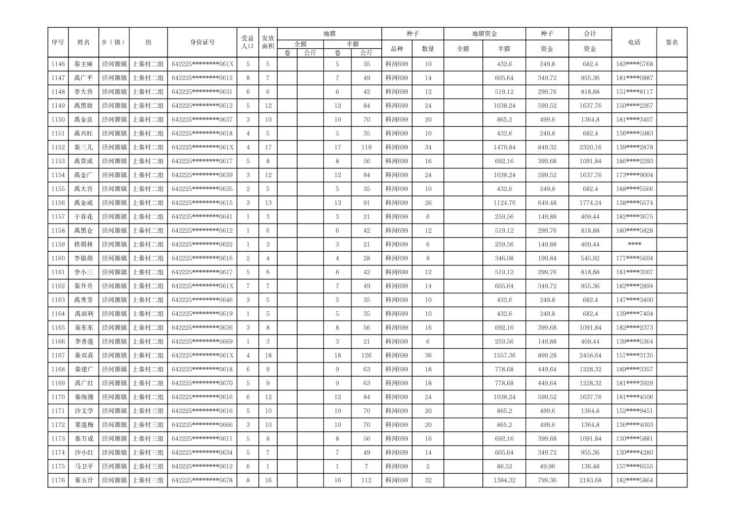
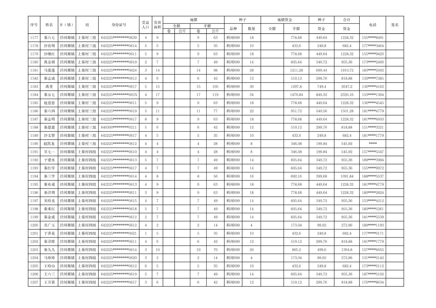
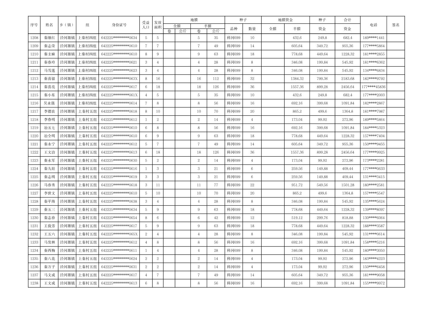
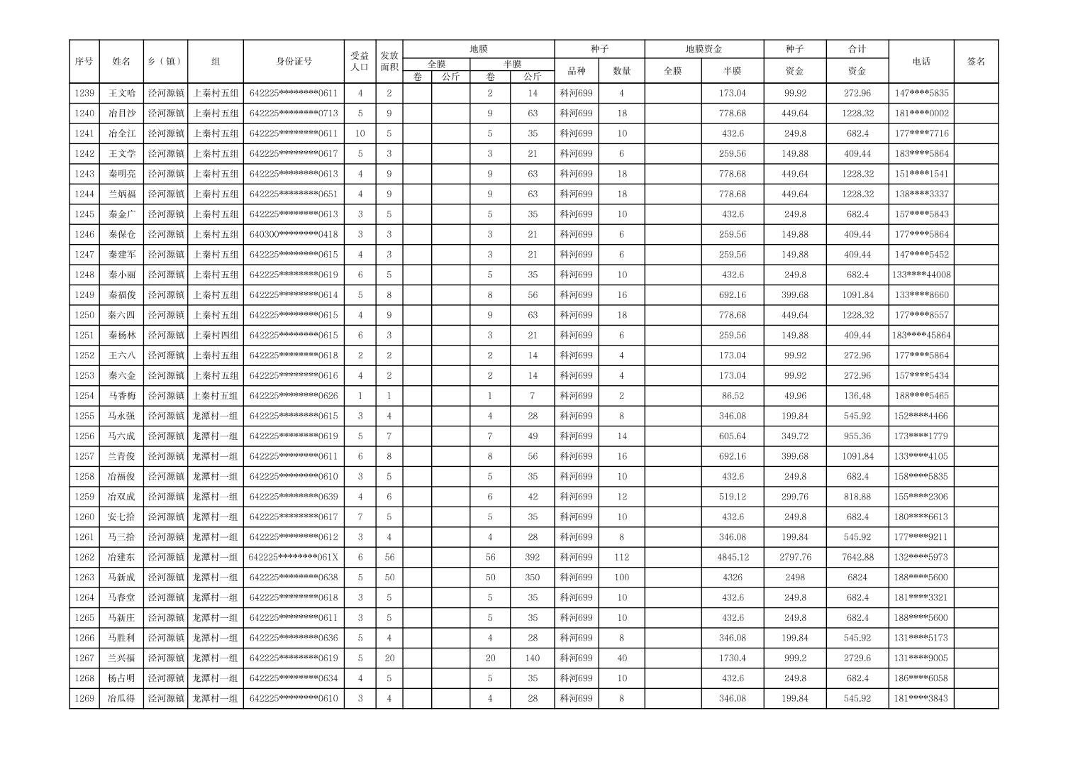
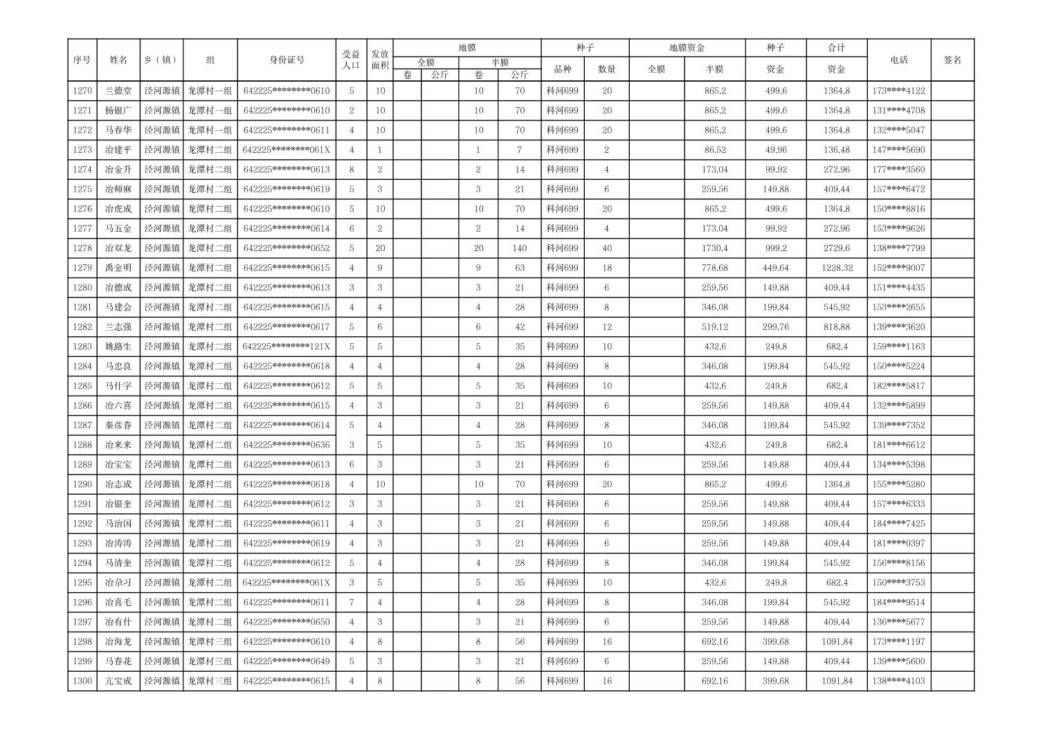
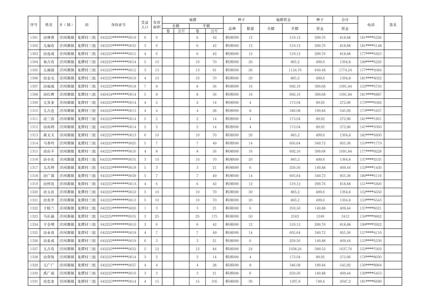
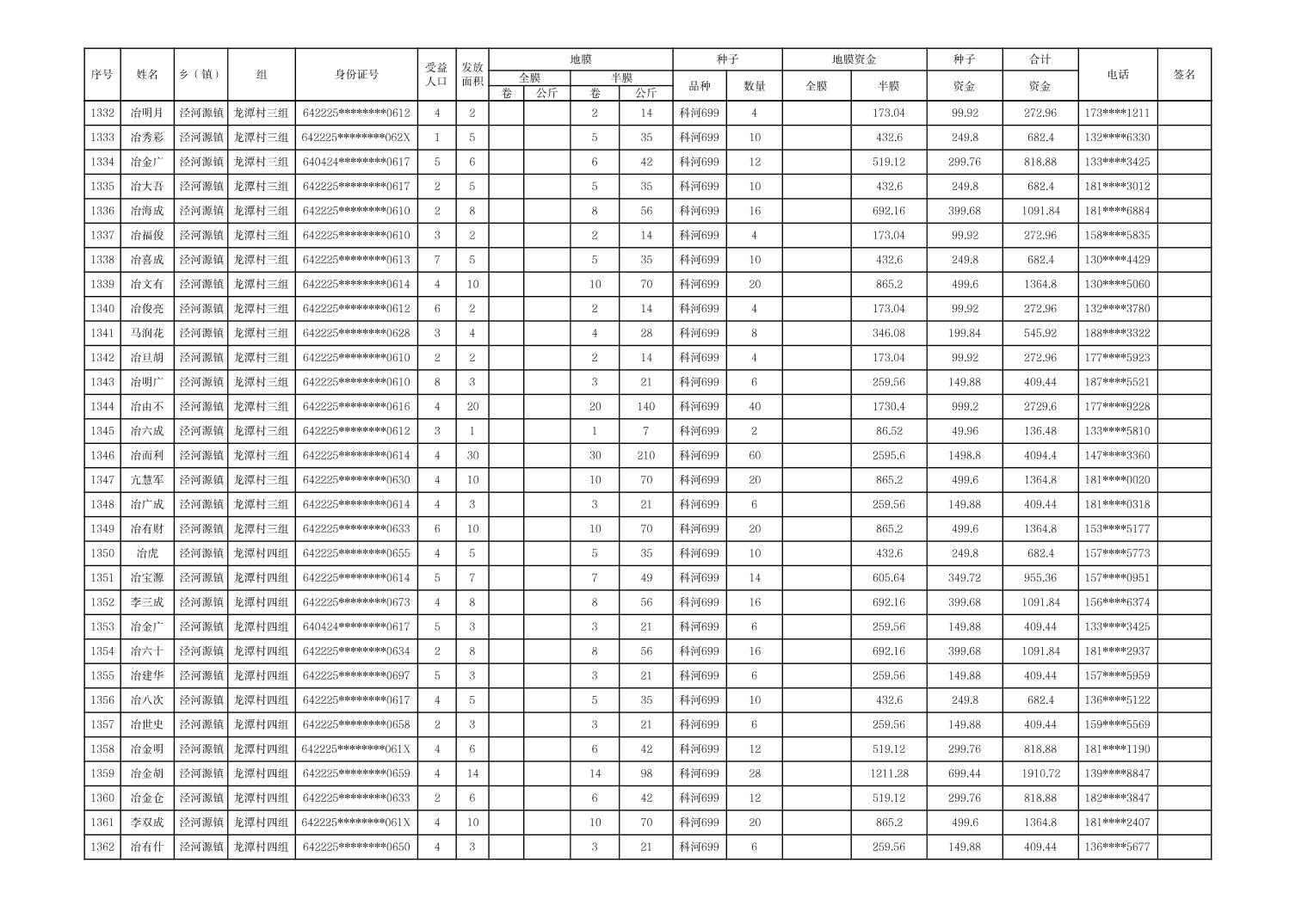
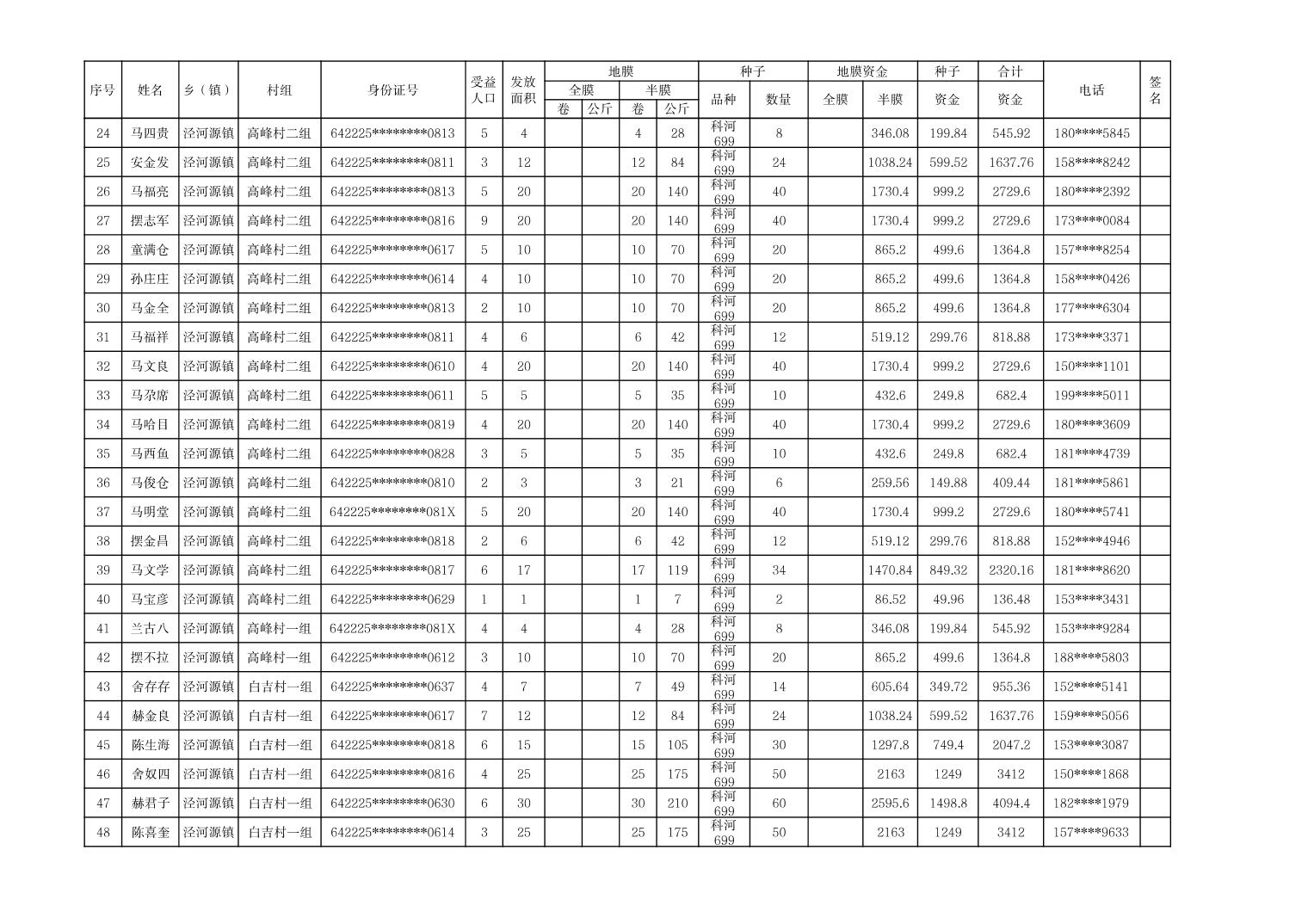
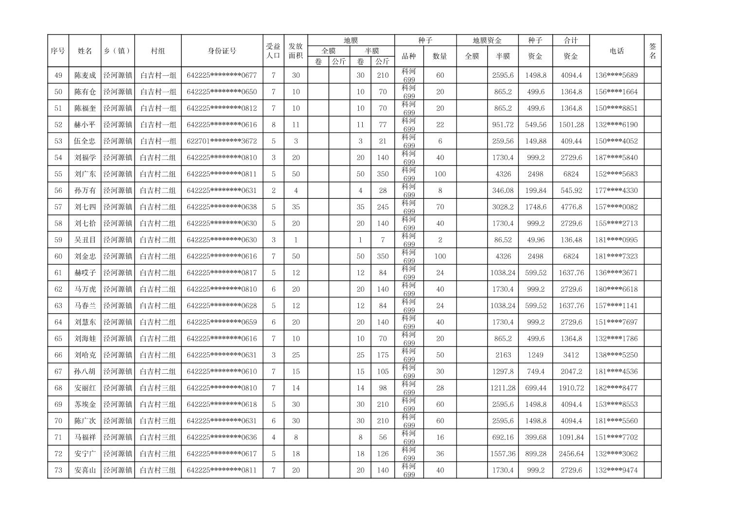
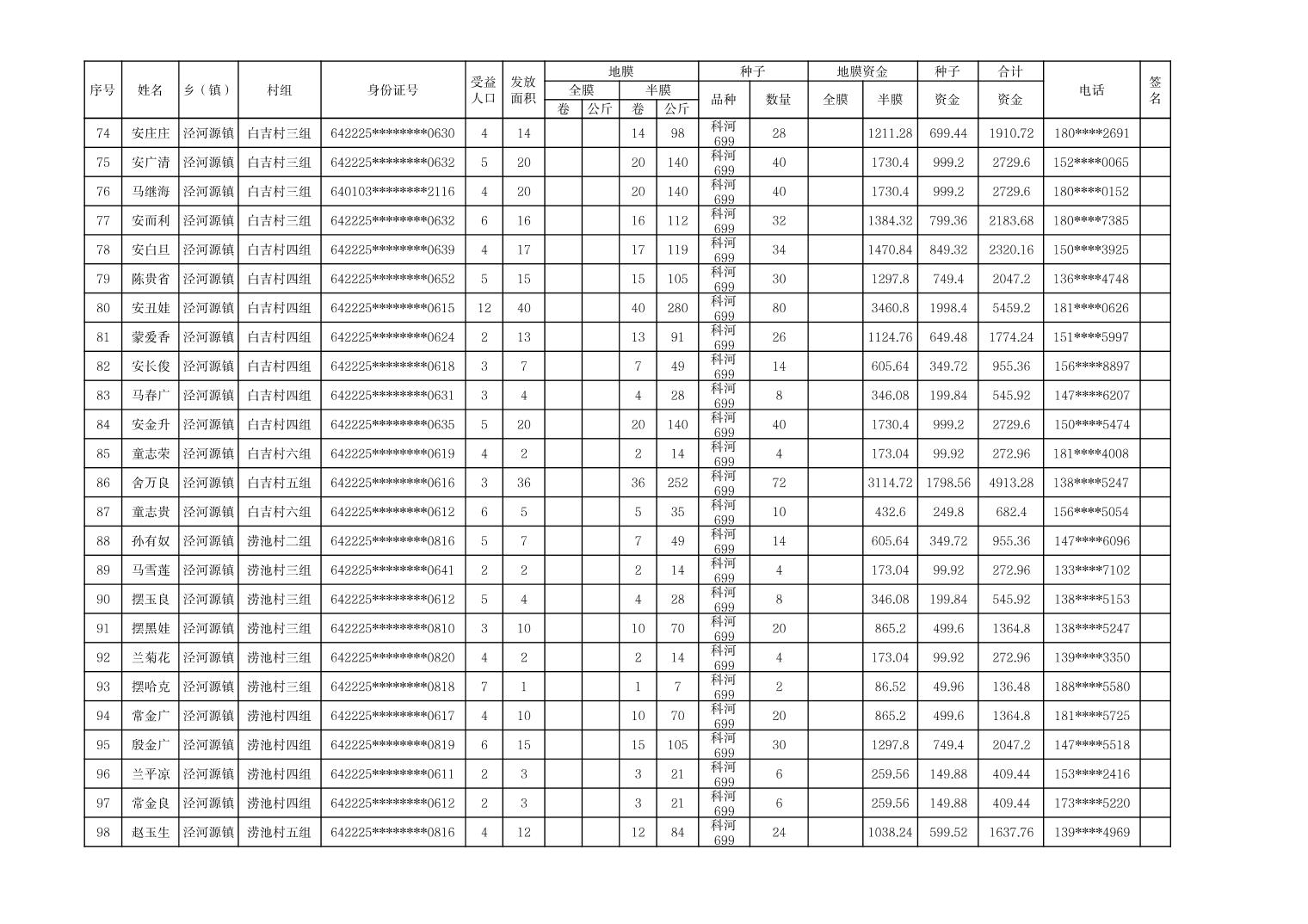
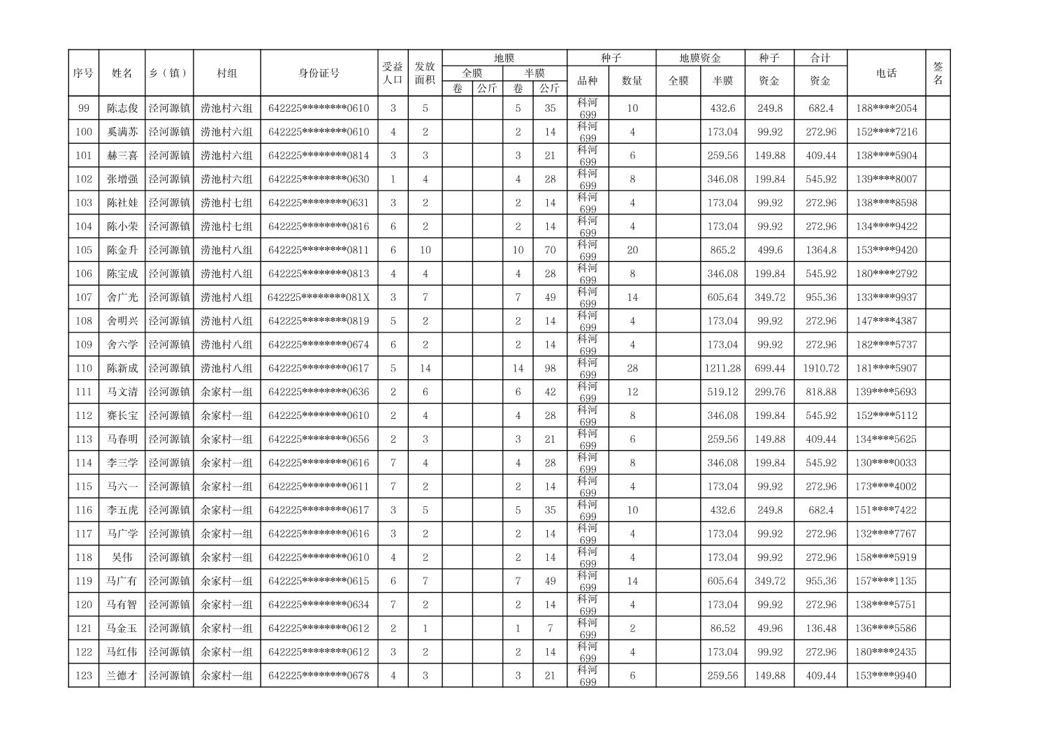
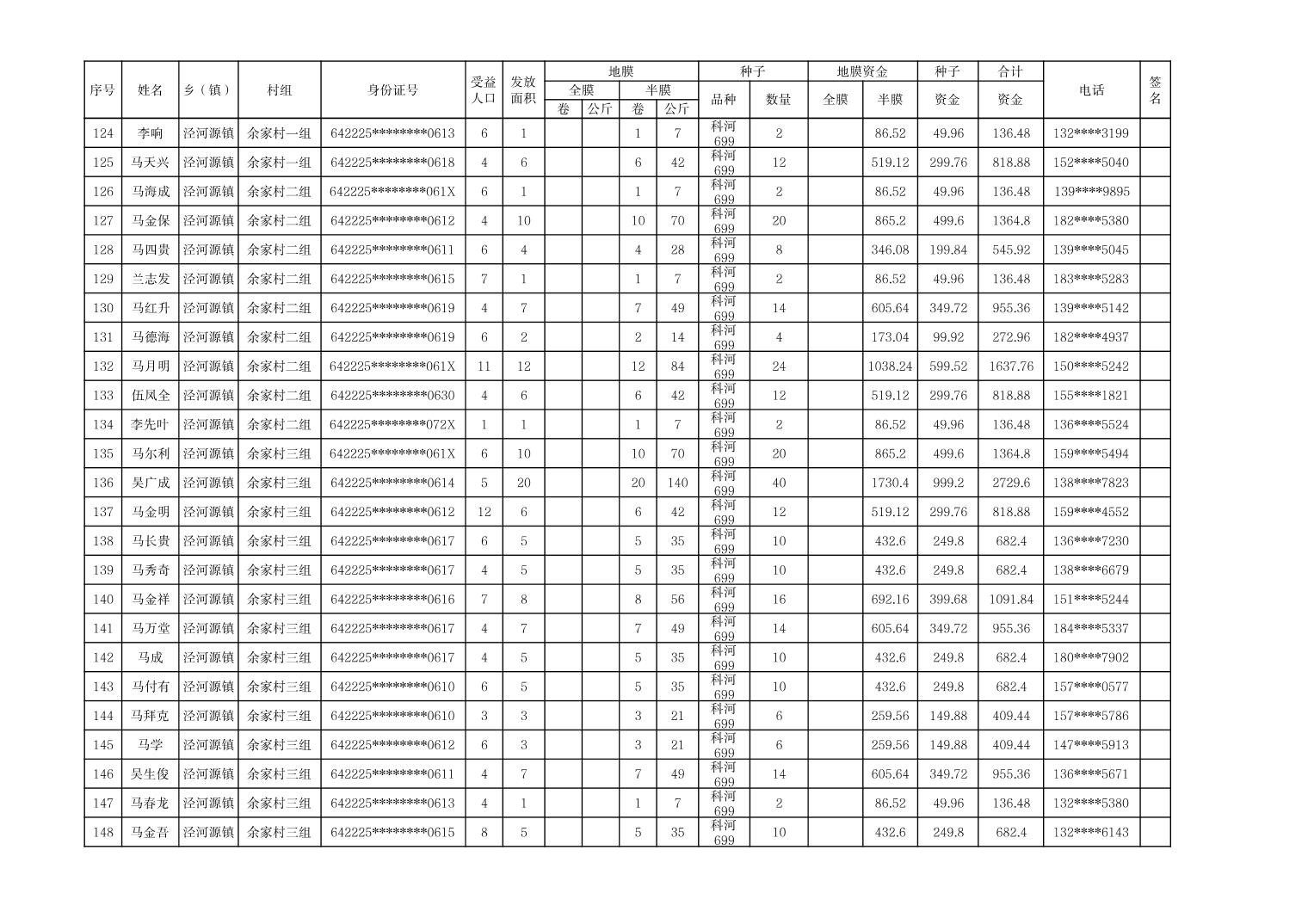
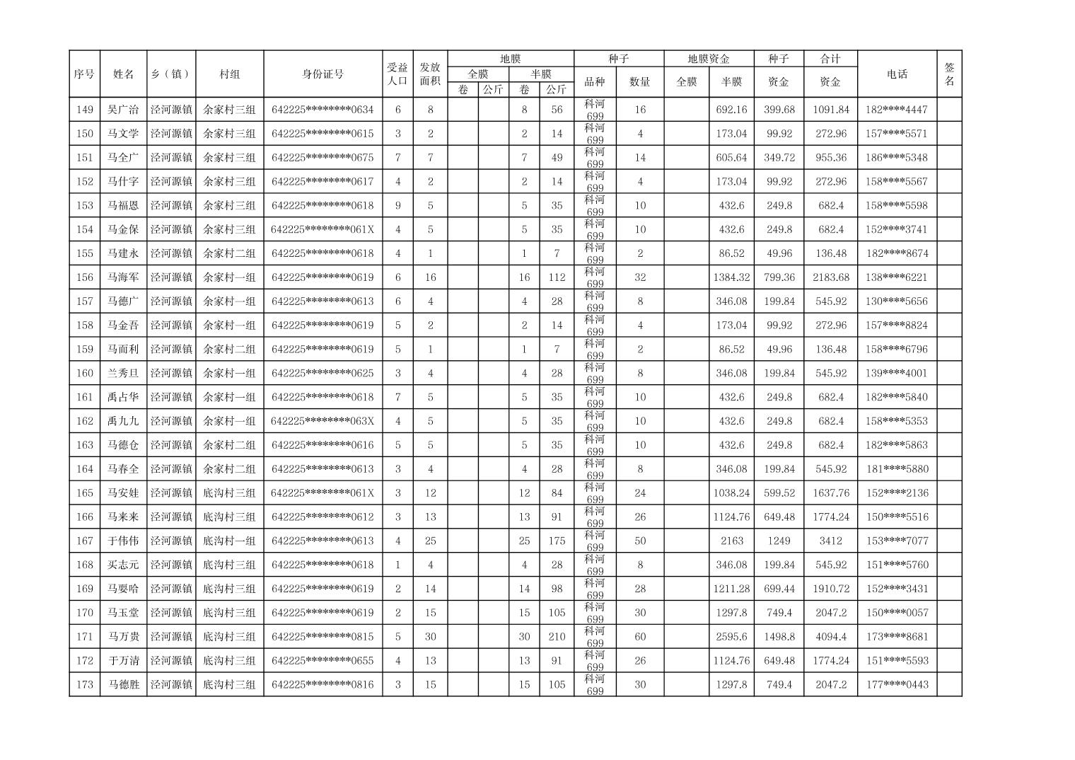
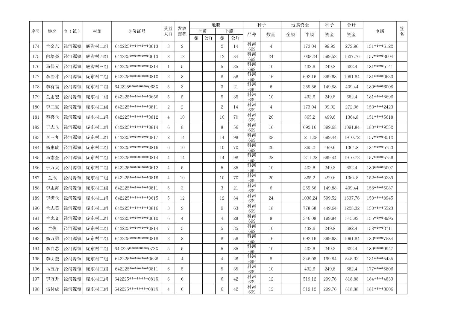
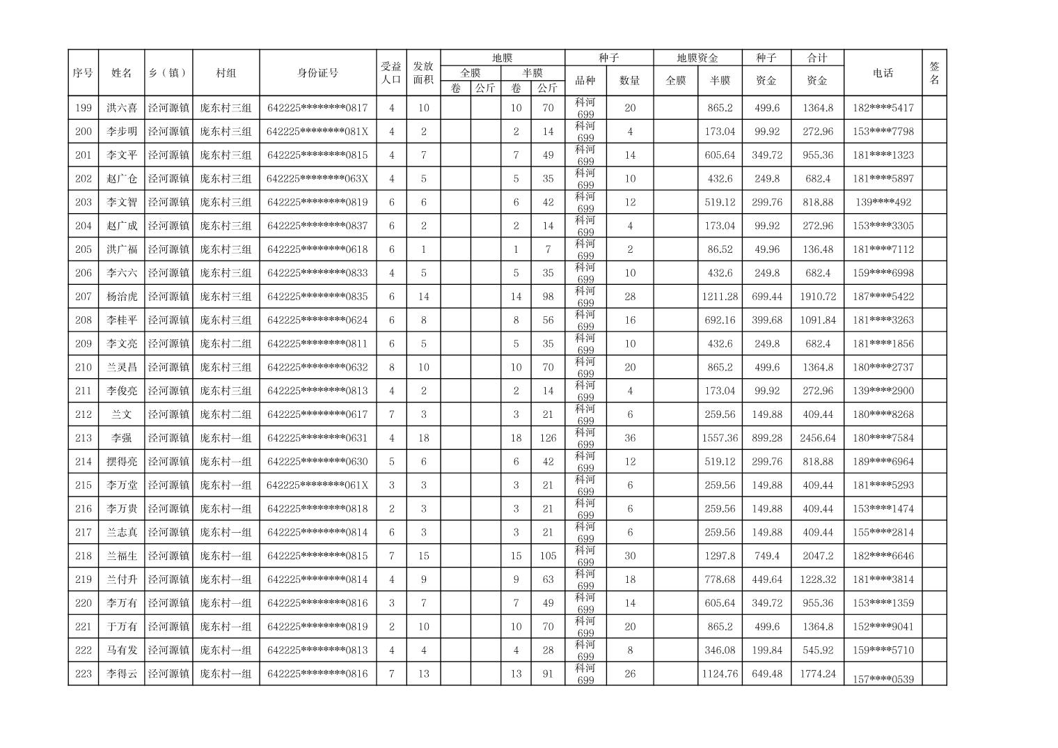
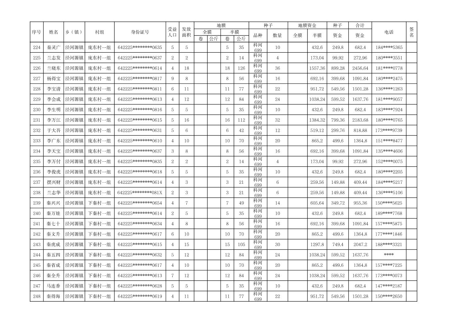
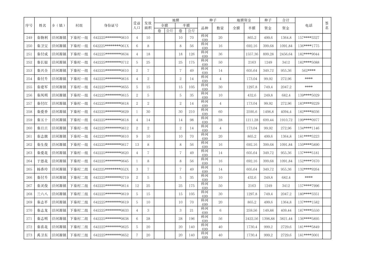
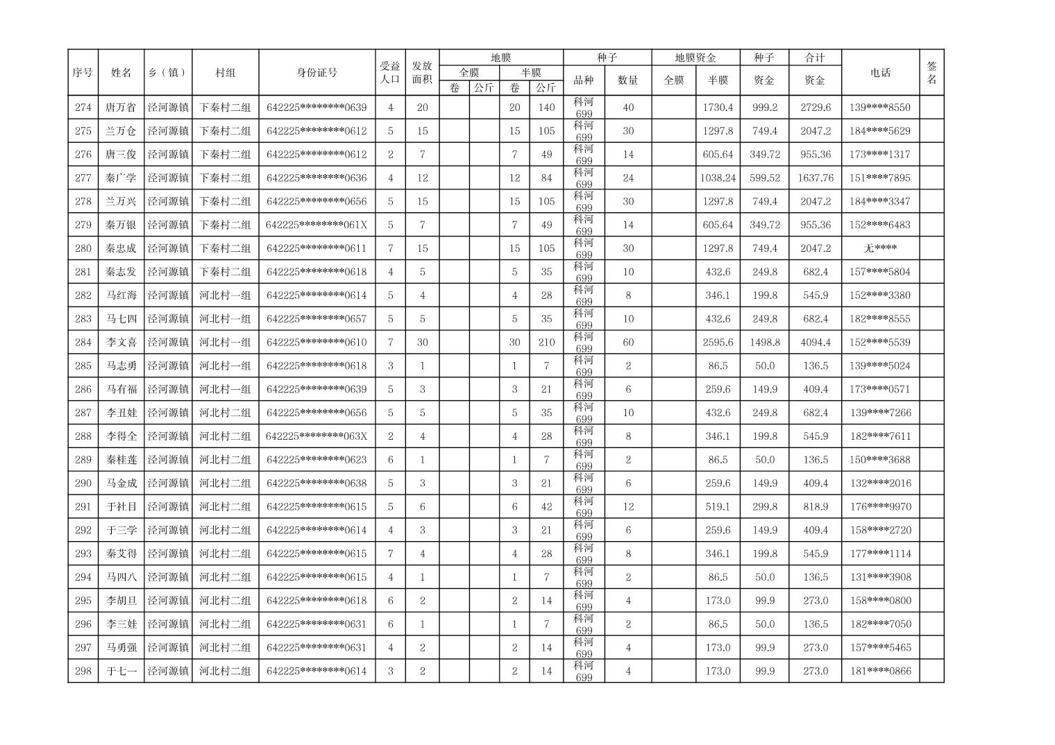
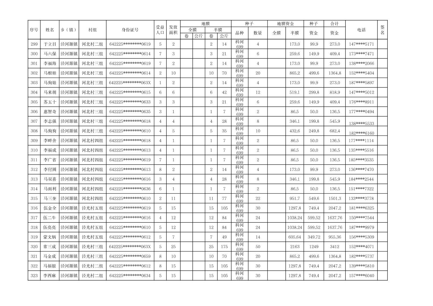
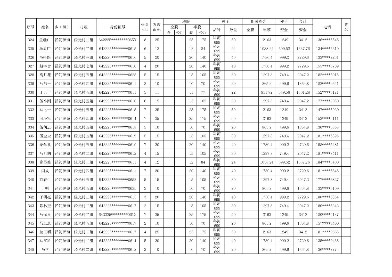
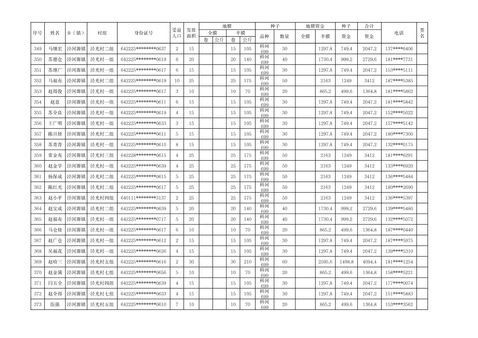
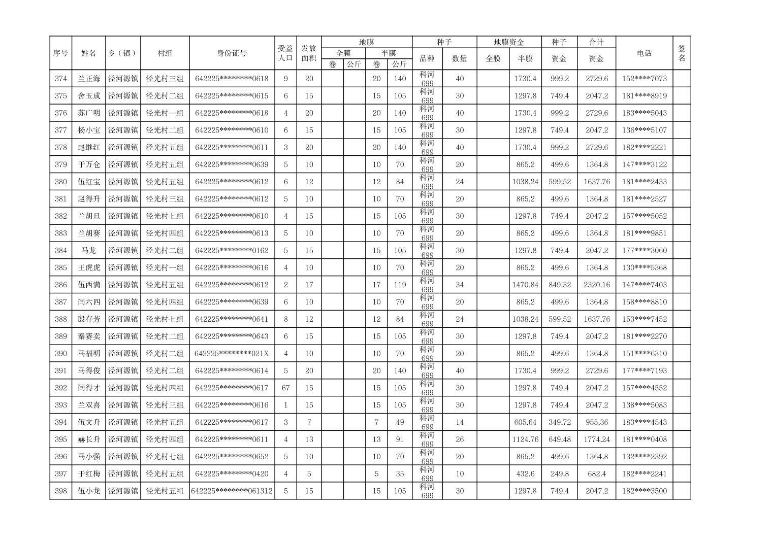
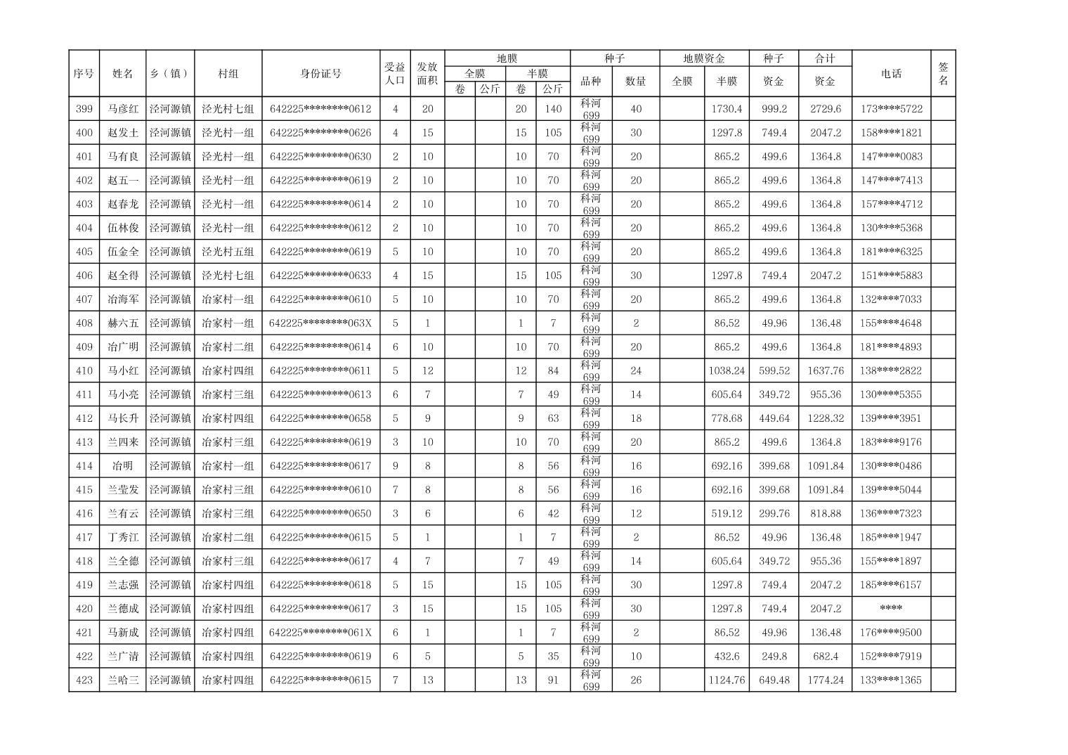
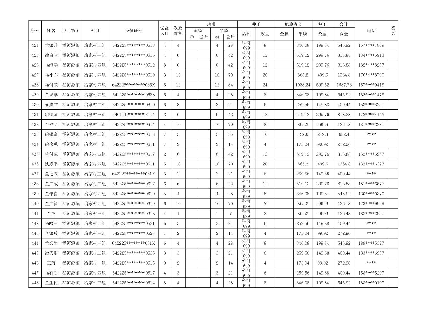
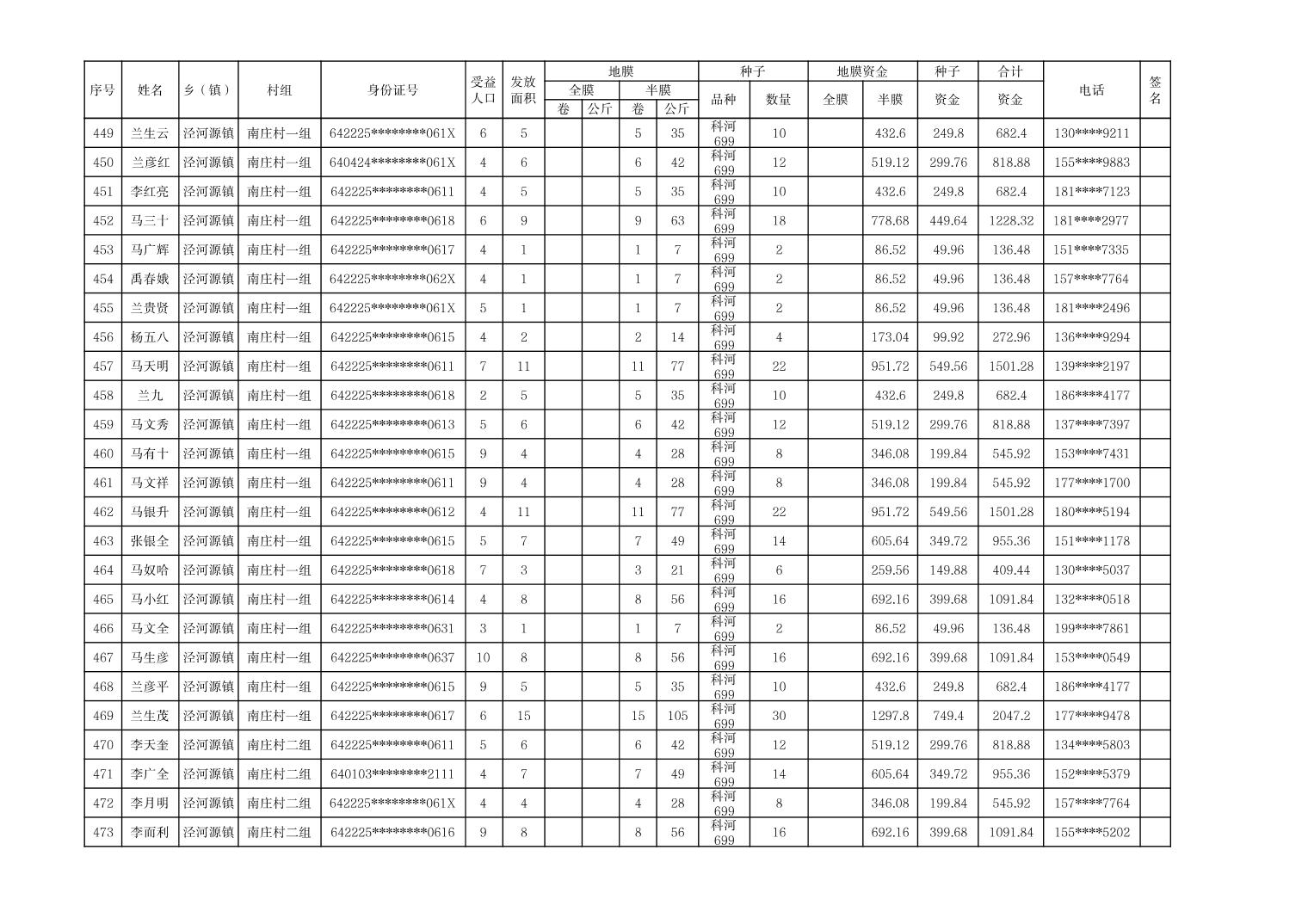
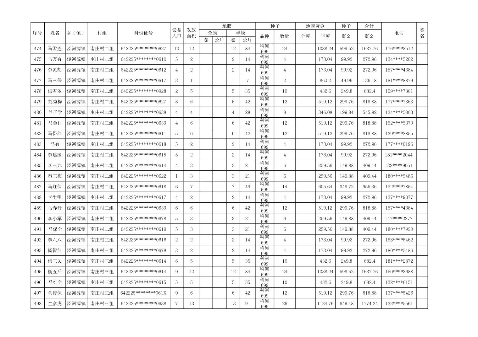
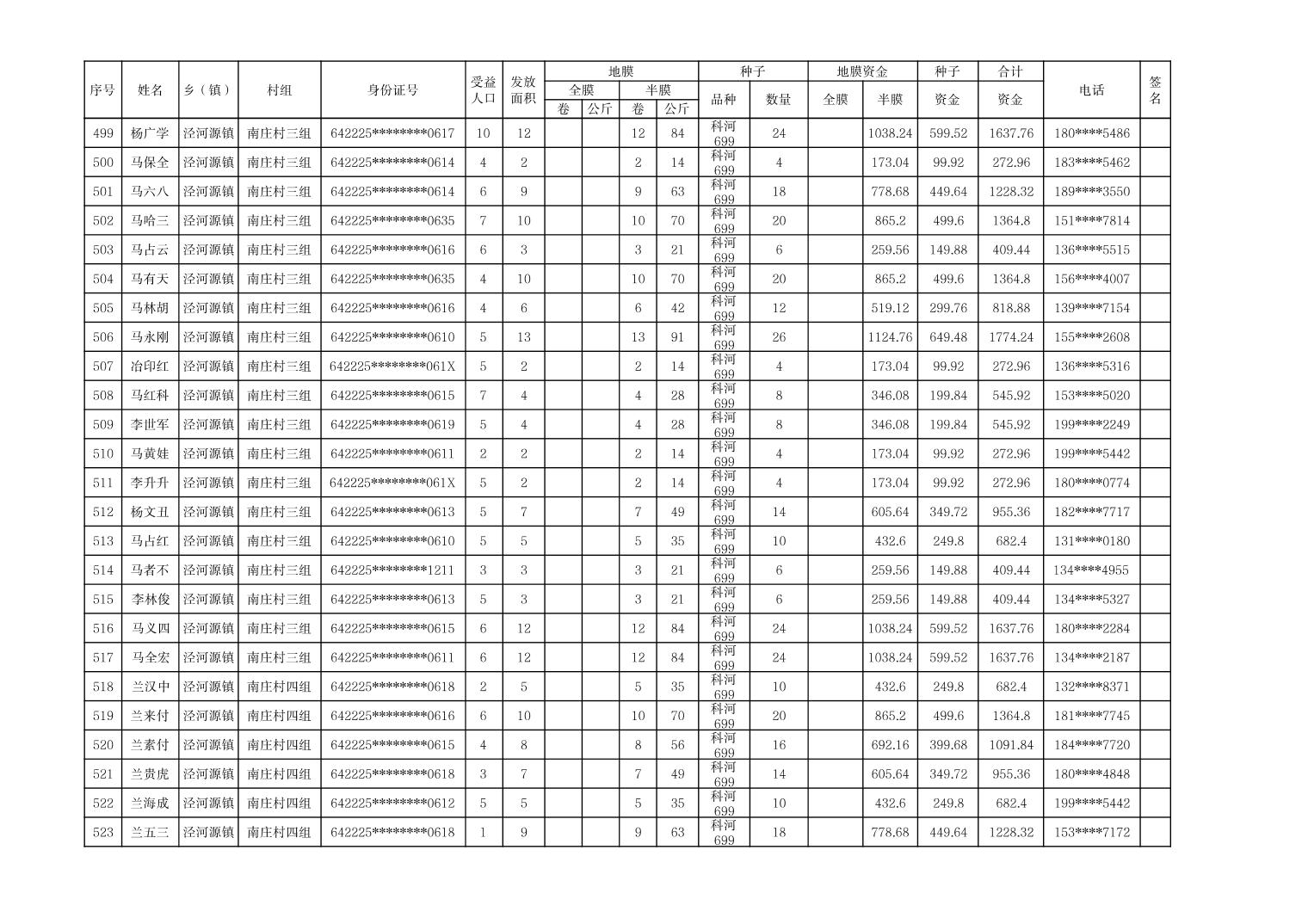
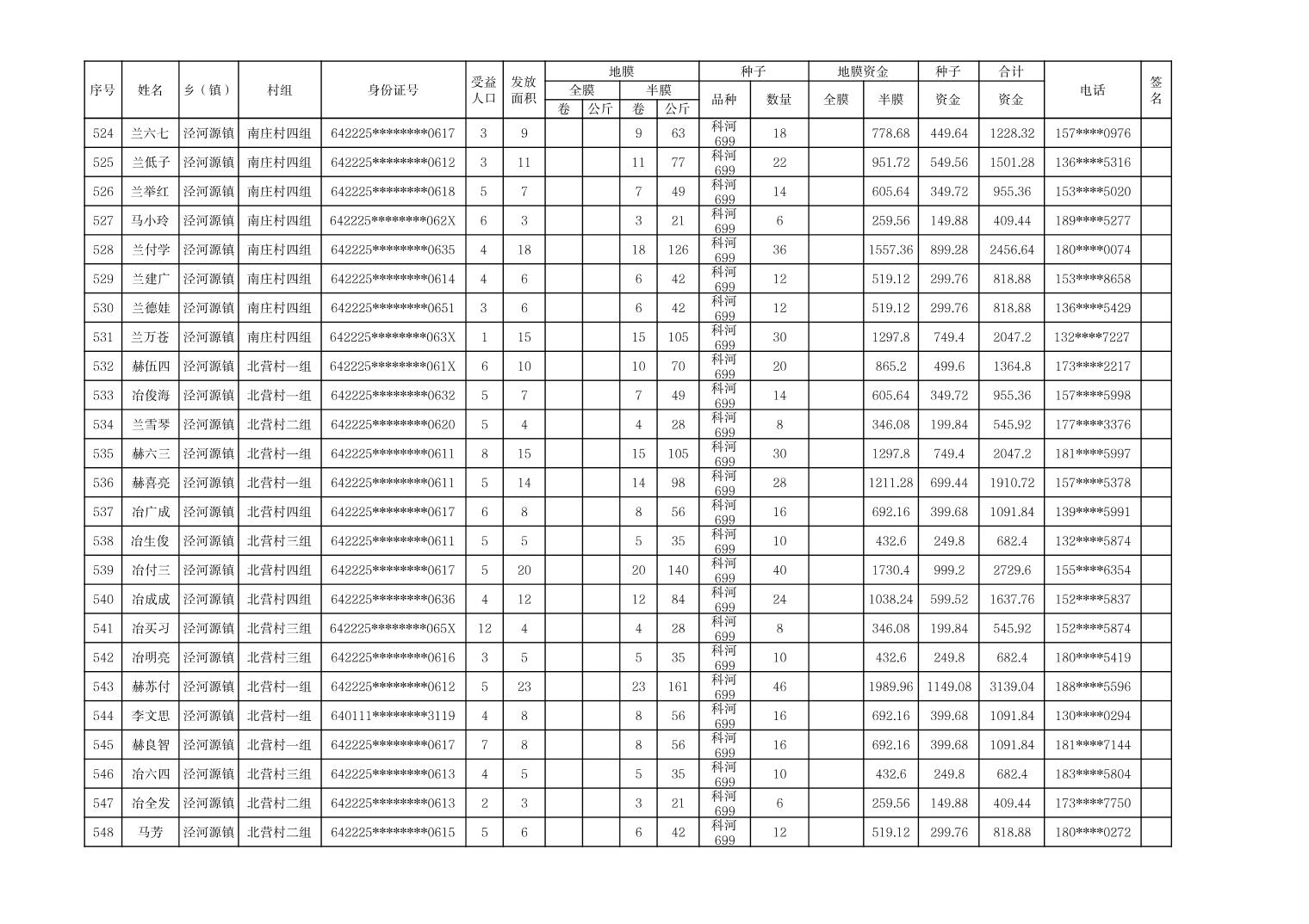
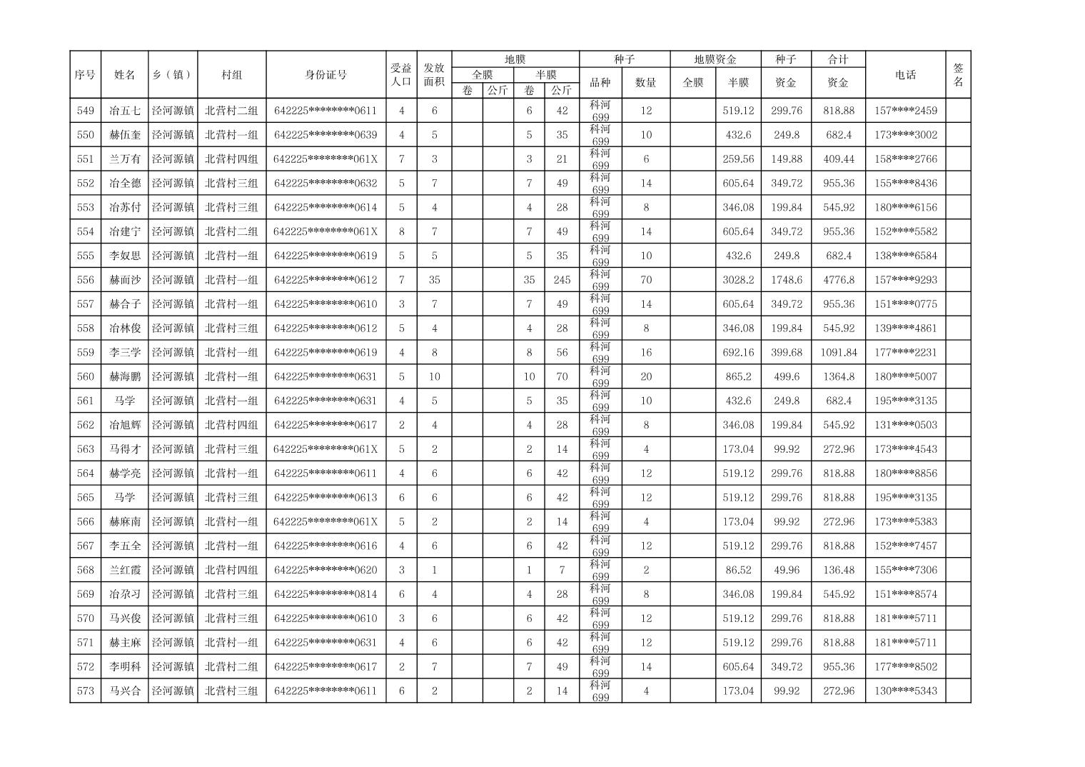
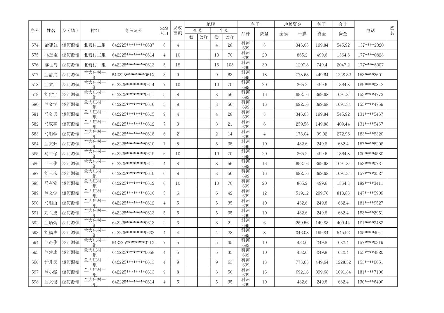
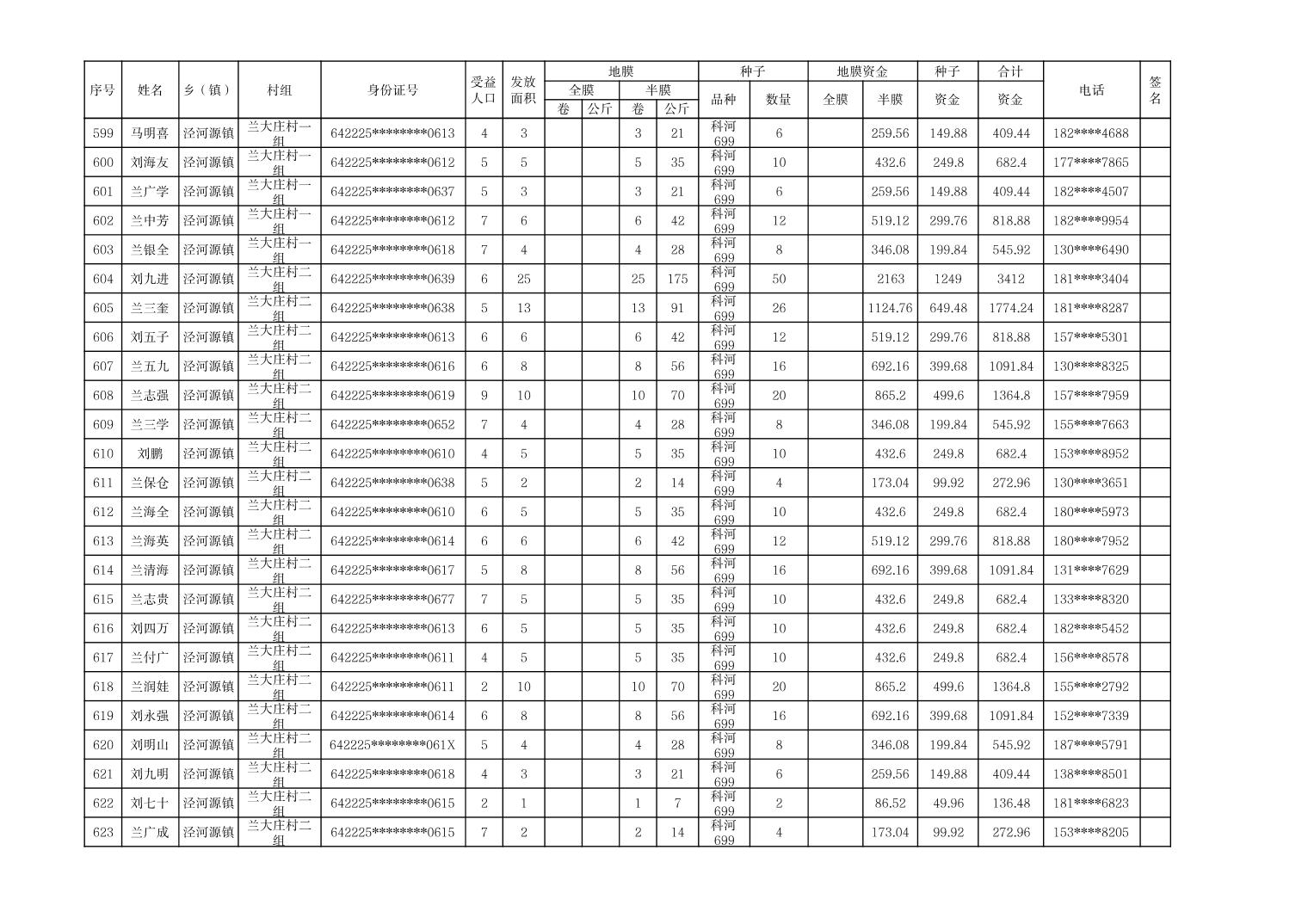
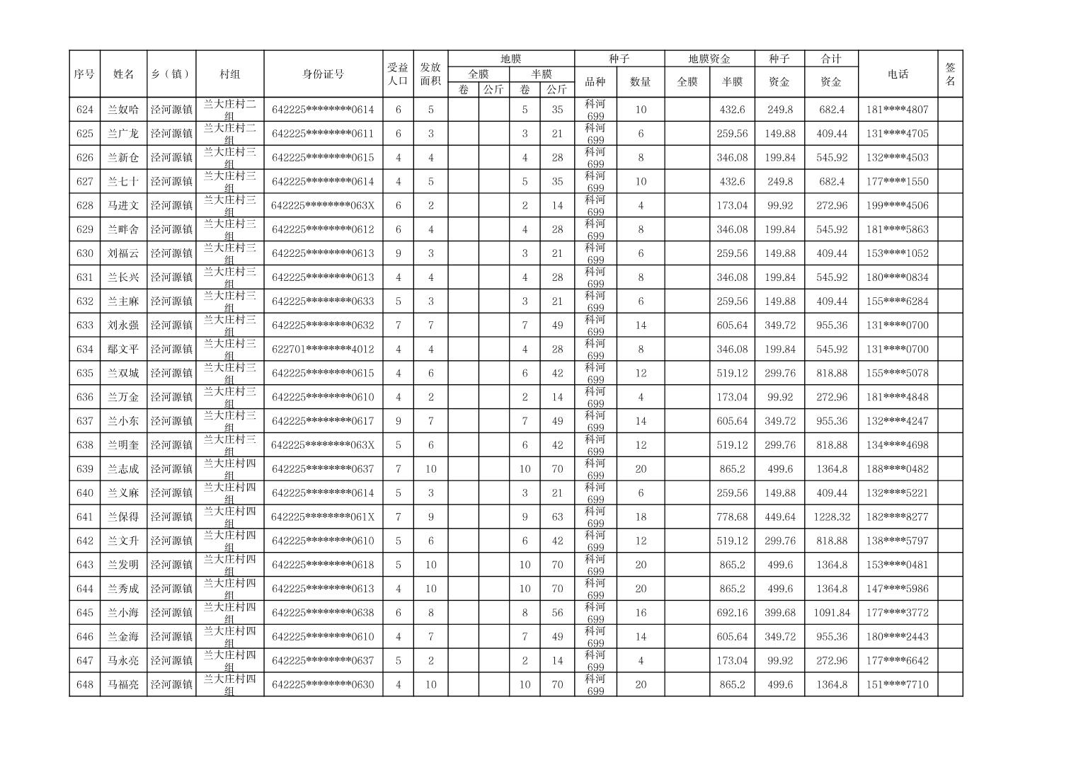
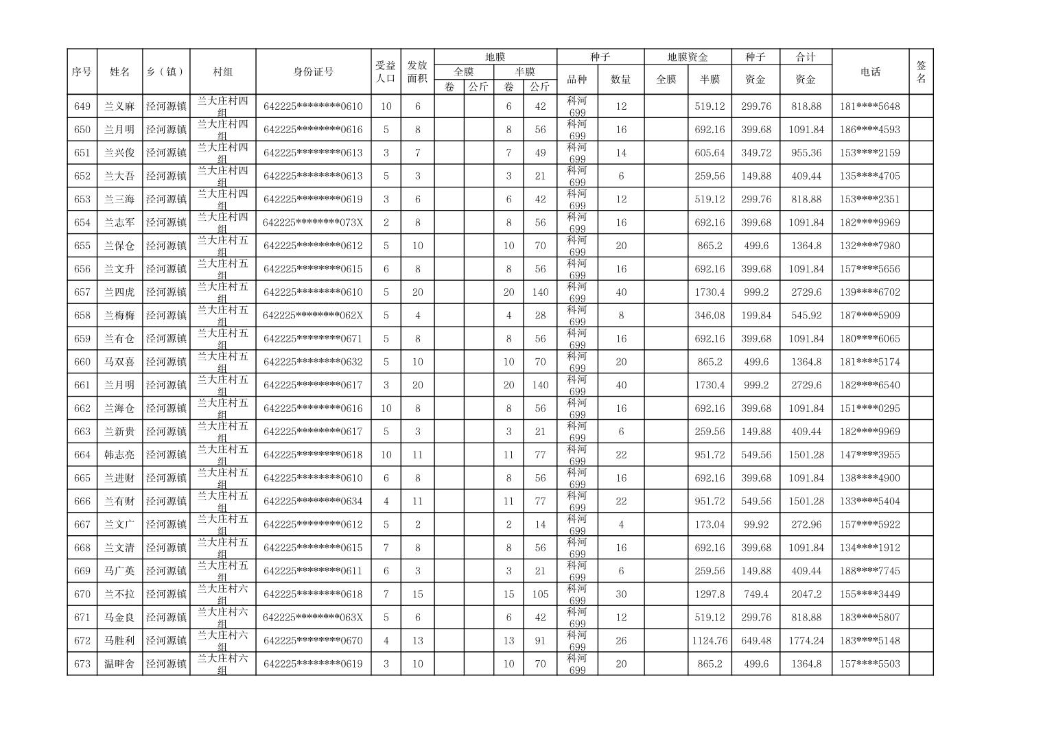
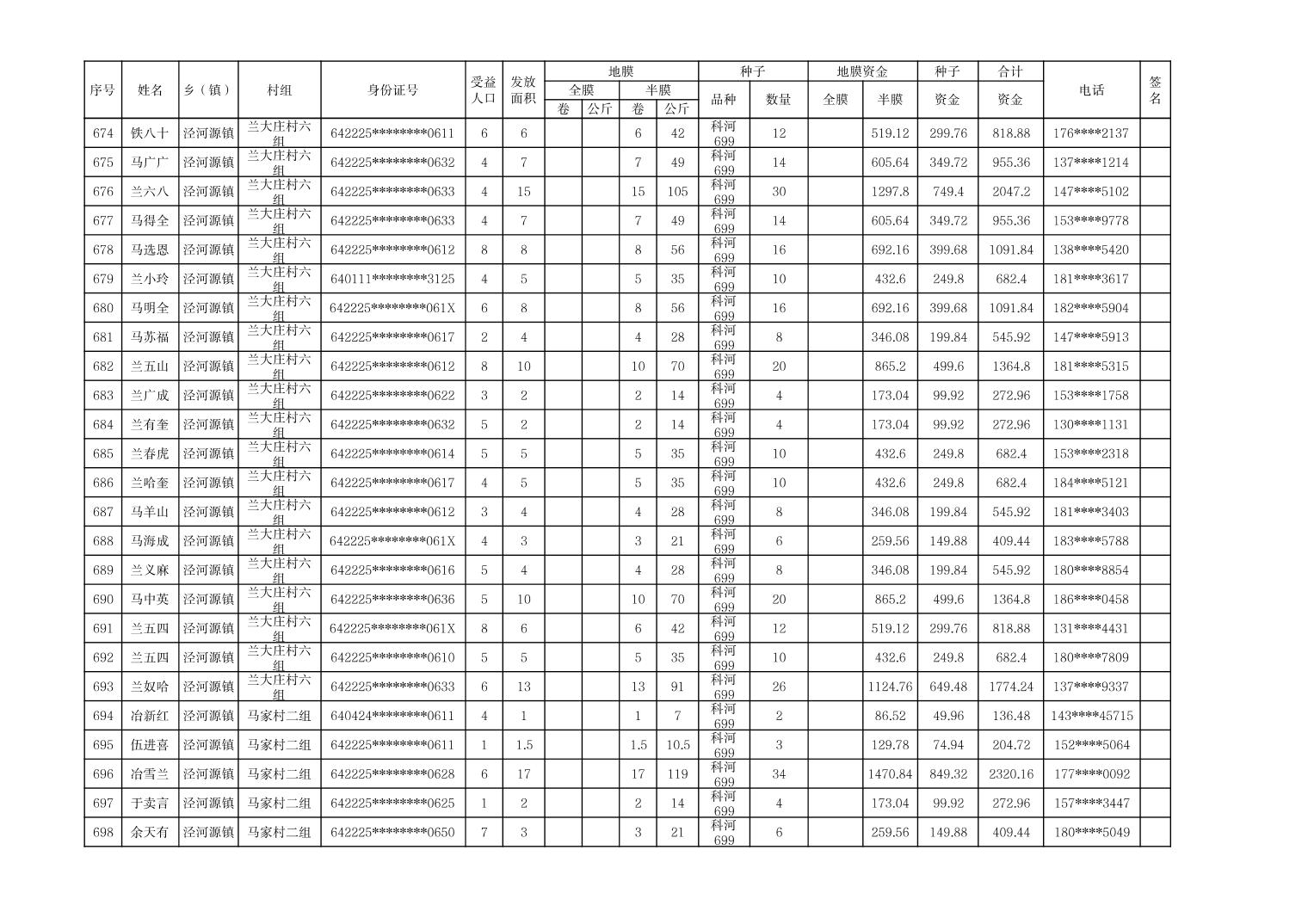
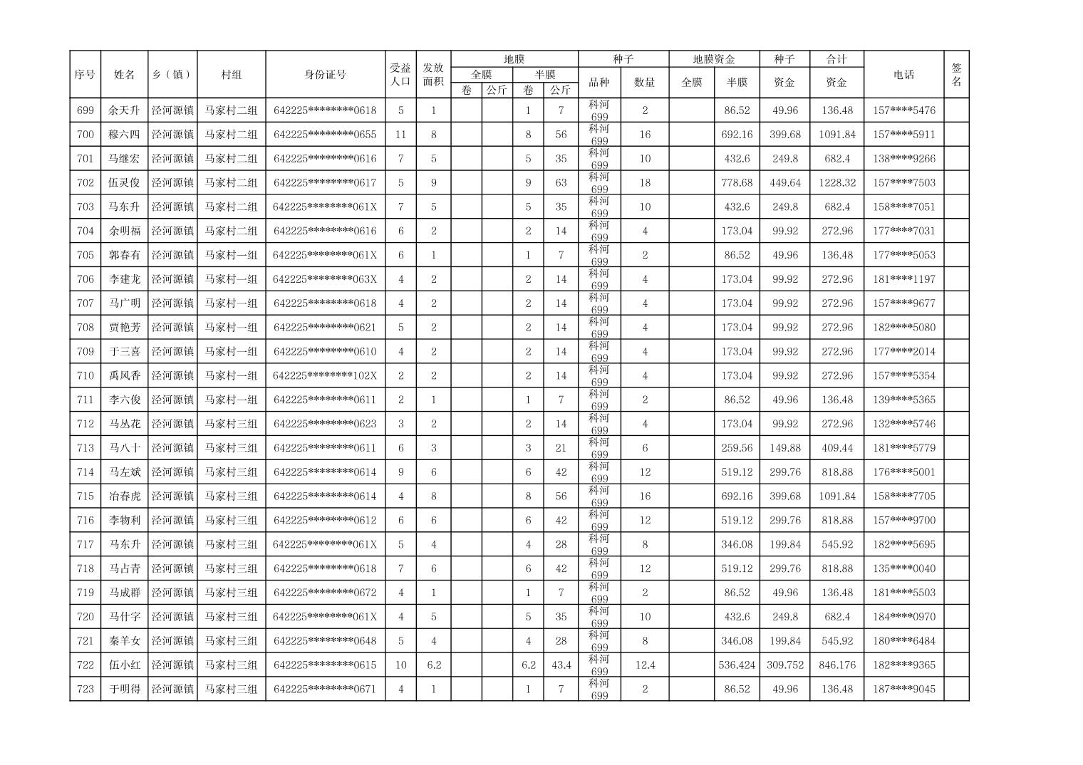
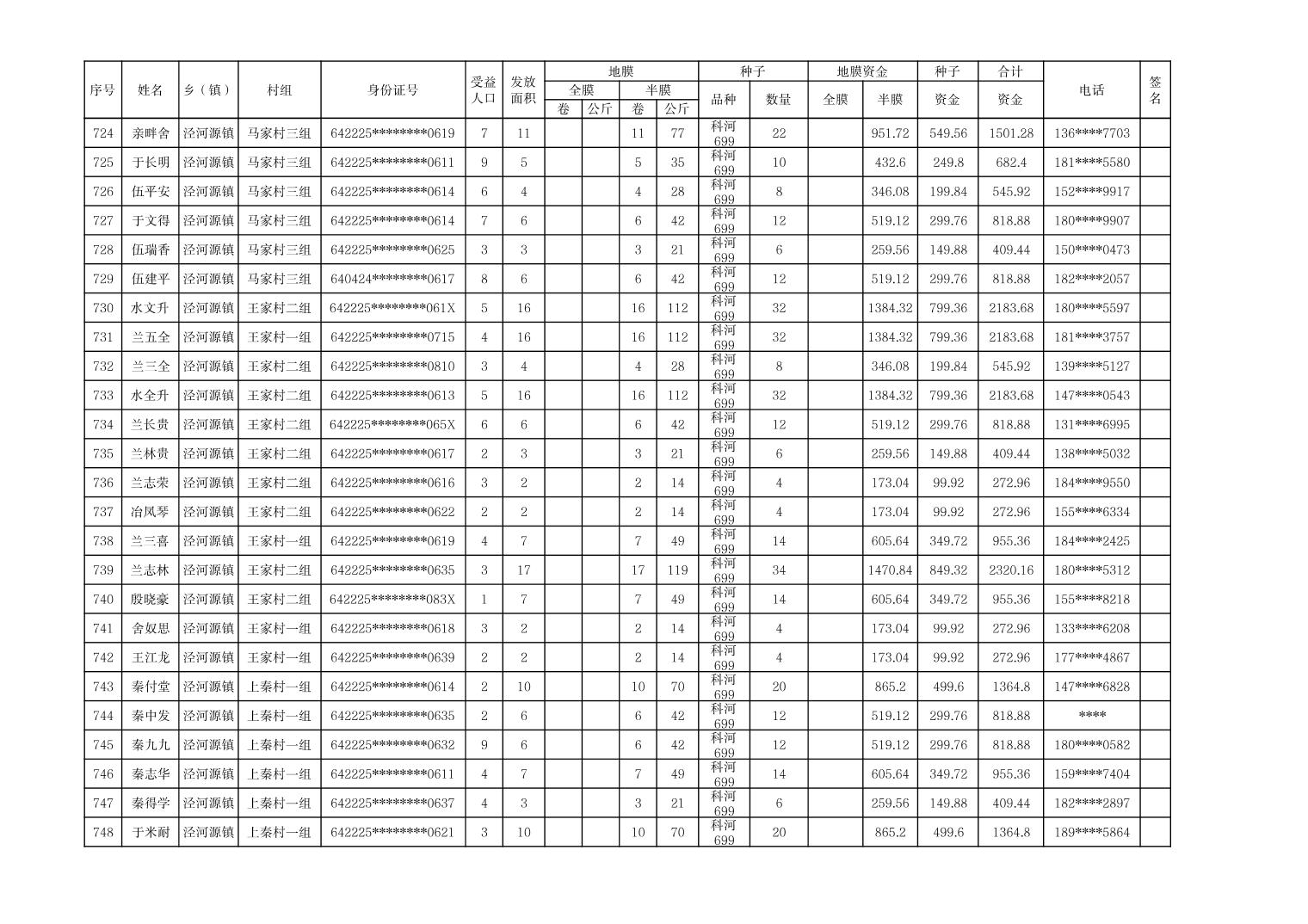
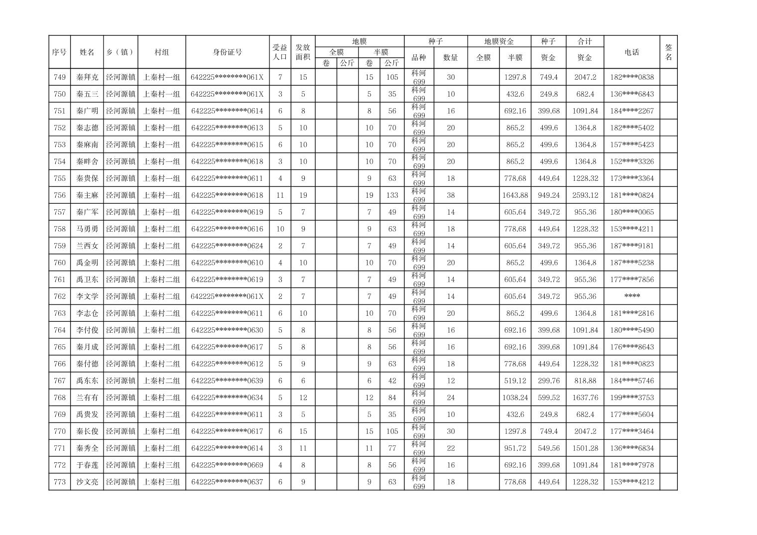
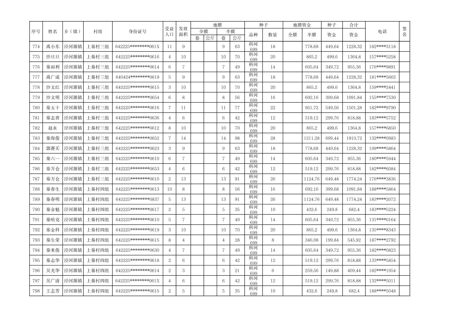
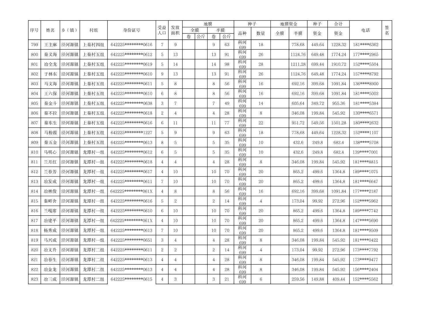
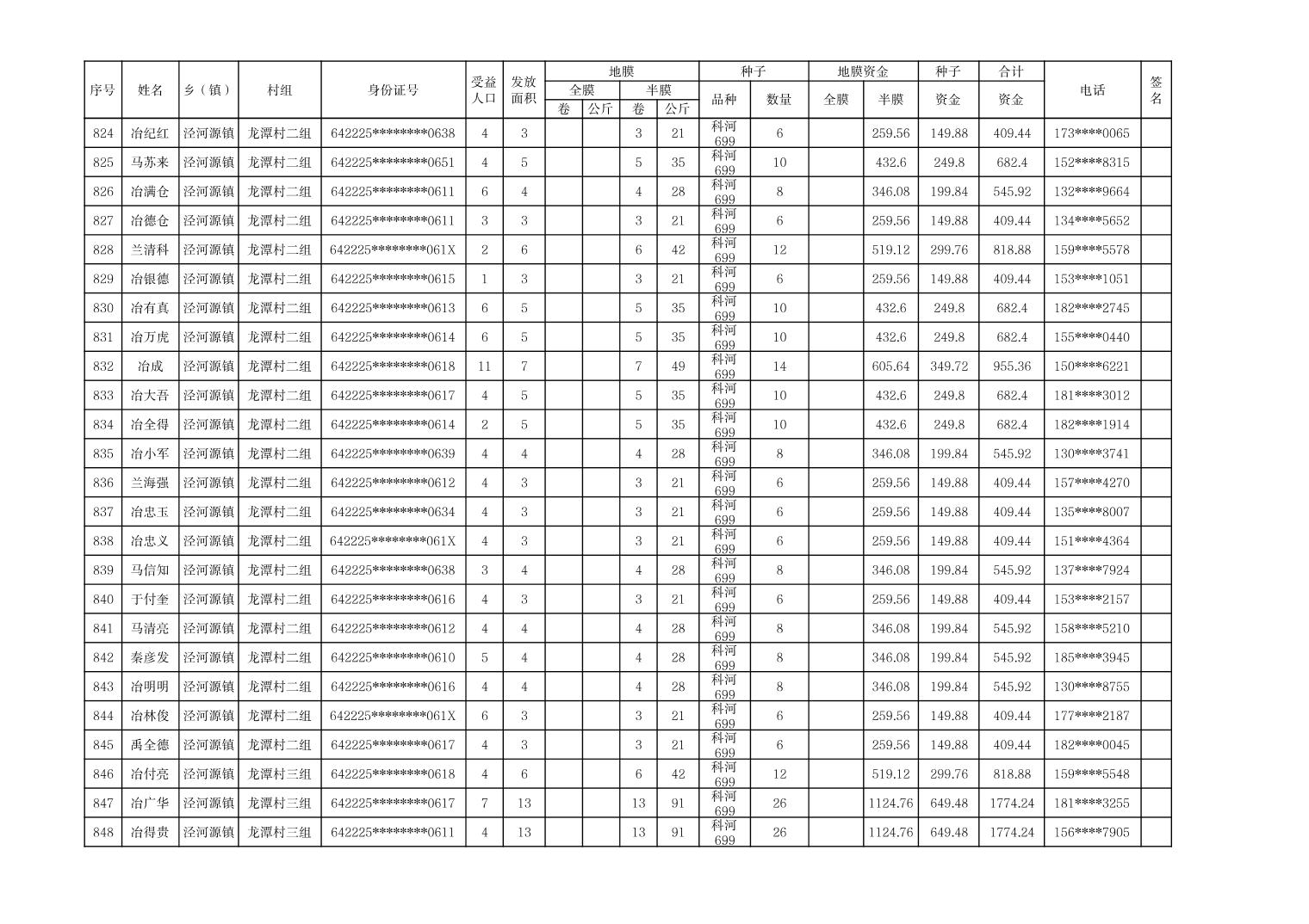
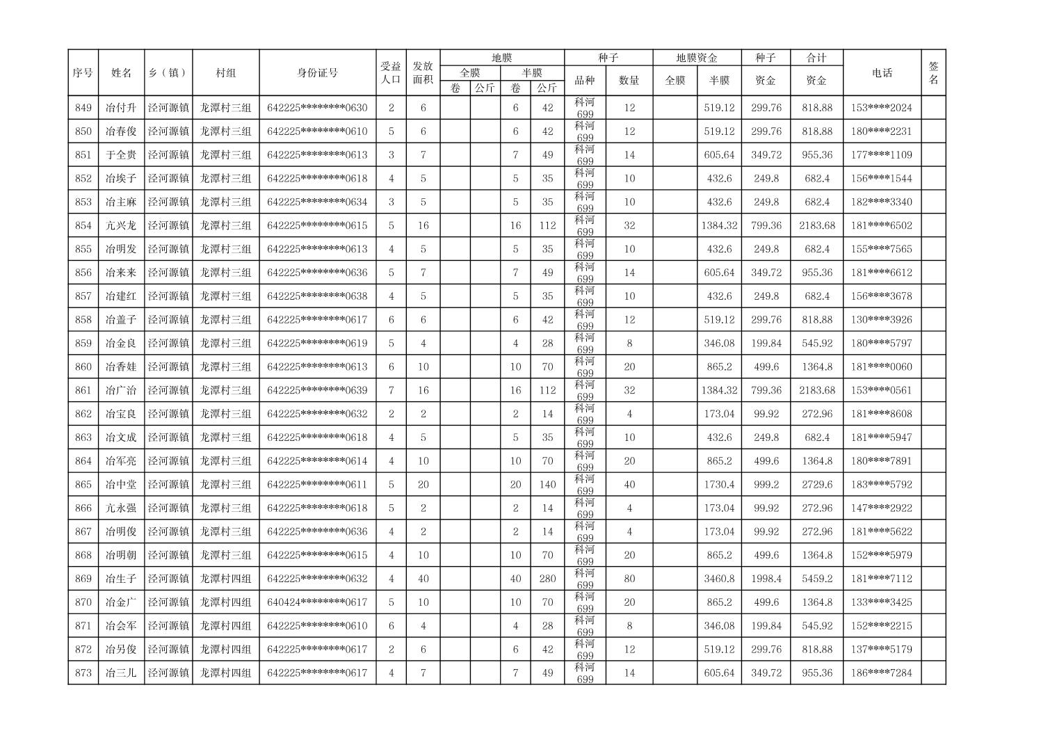
泾河源镇:优质高产高效玉米种植行政村18个,共抽验18个行政村,抽验面积6628.9亩,抽验比例37.9%,完成率100.02%,确认覆膜种植面积17505亩。
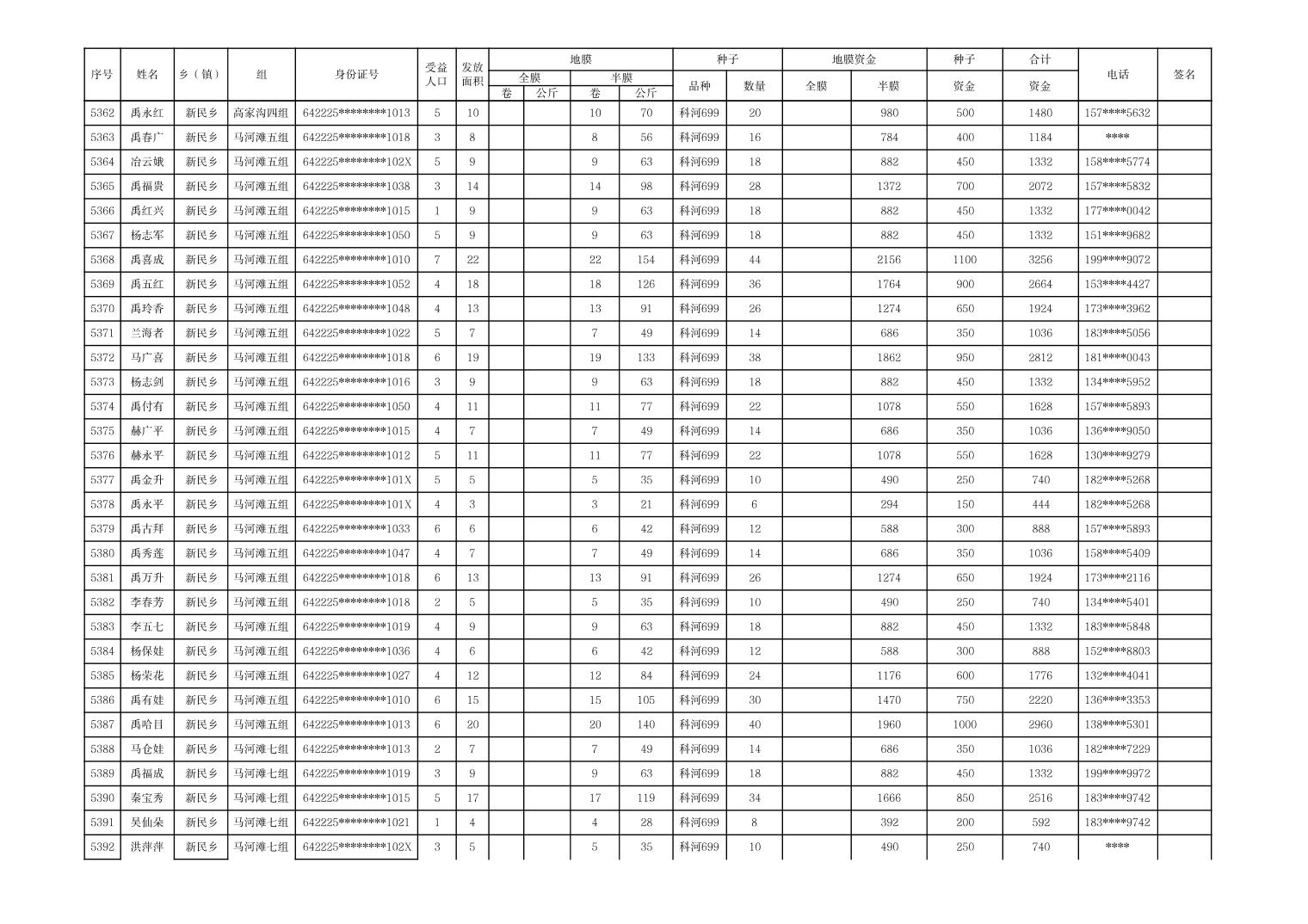
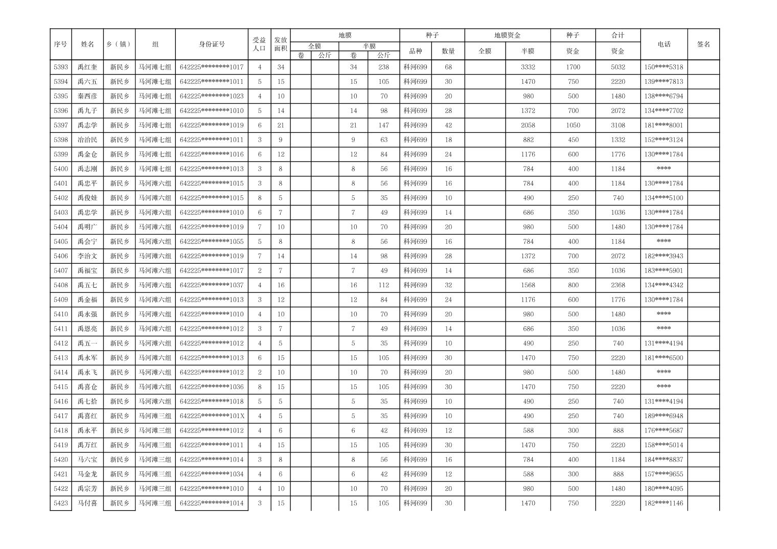
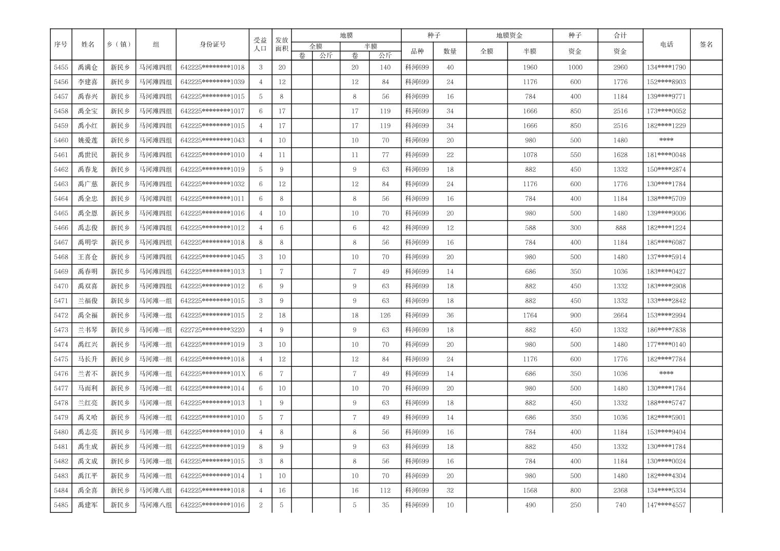
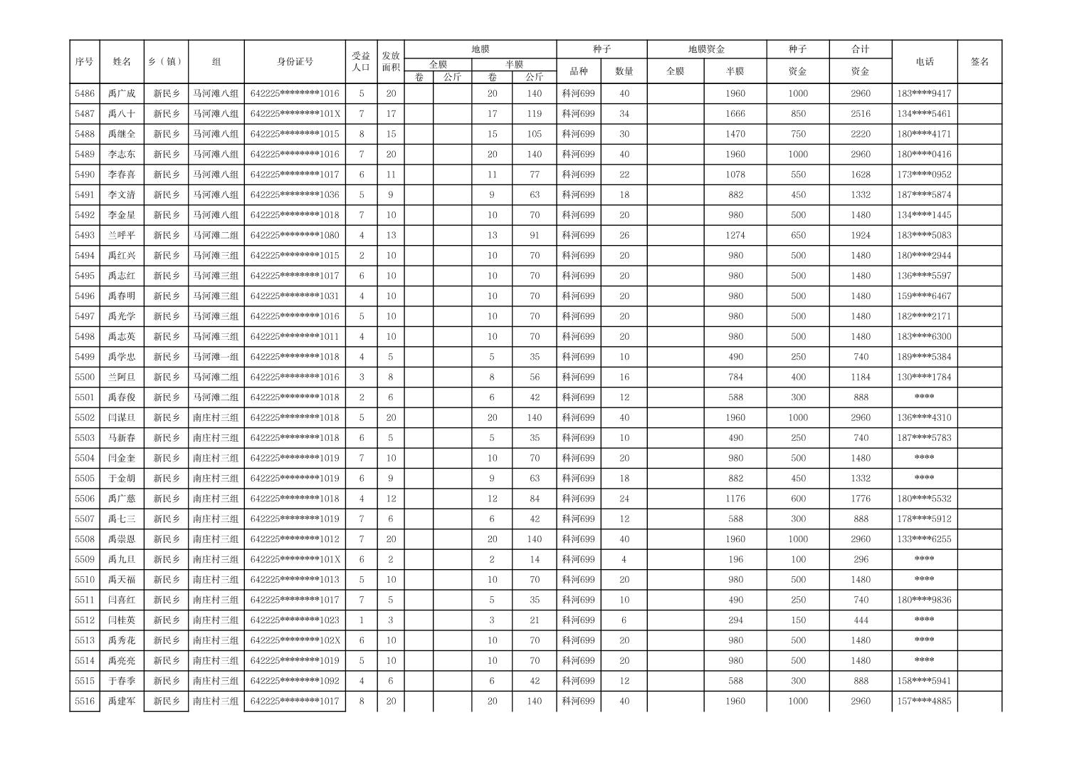
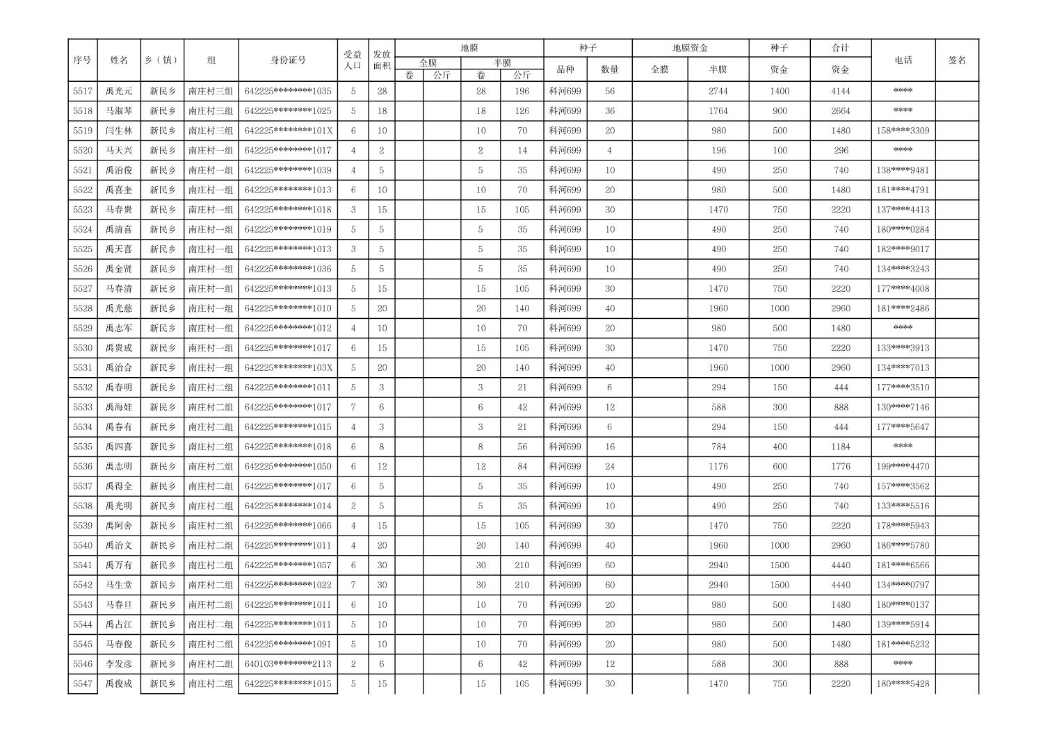
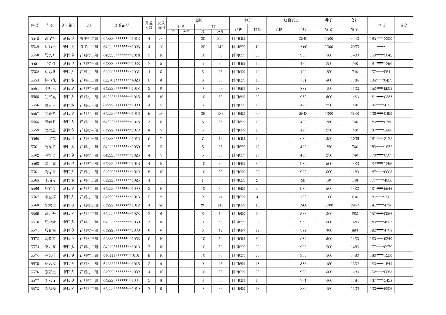
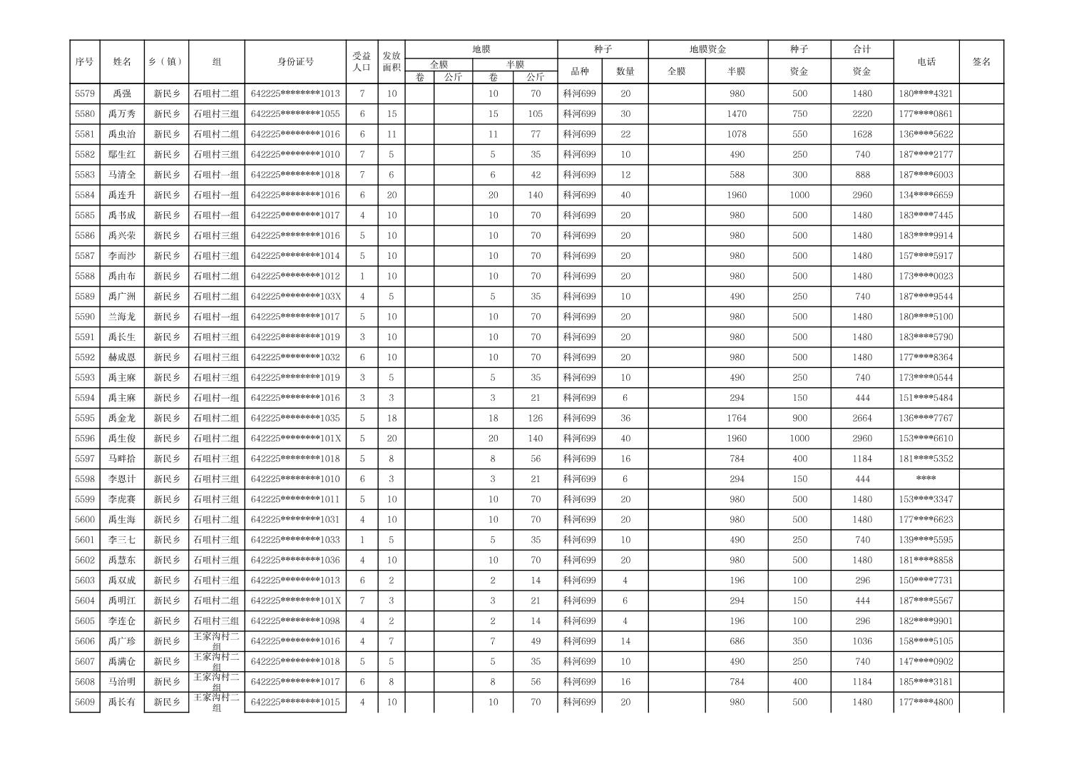
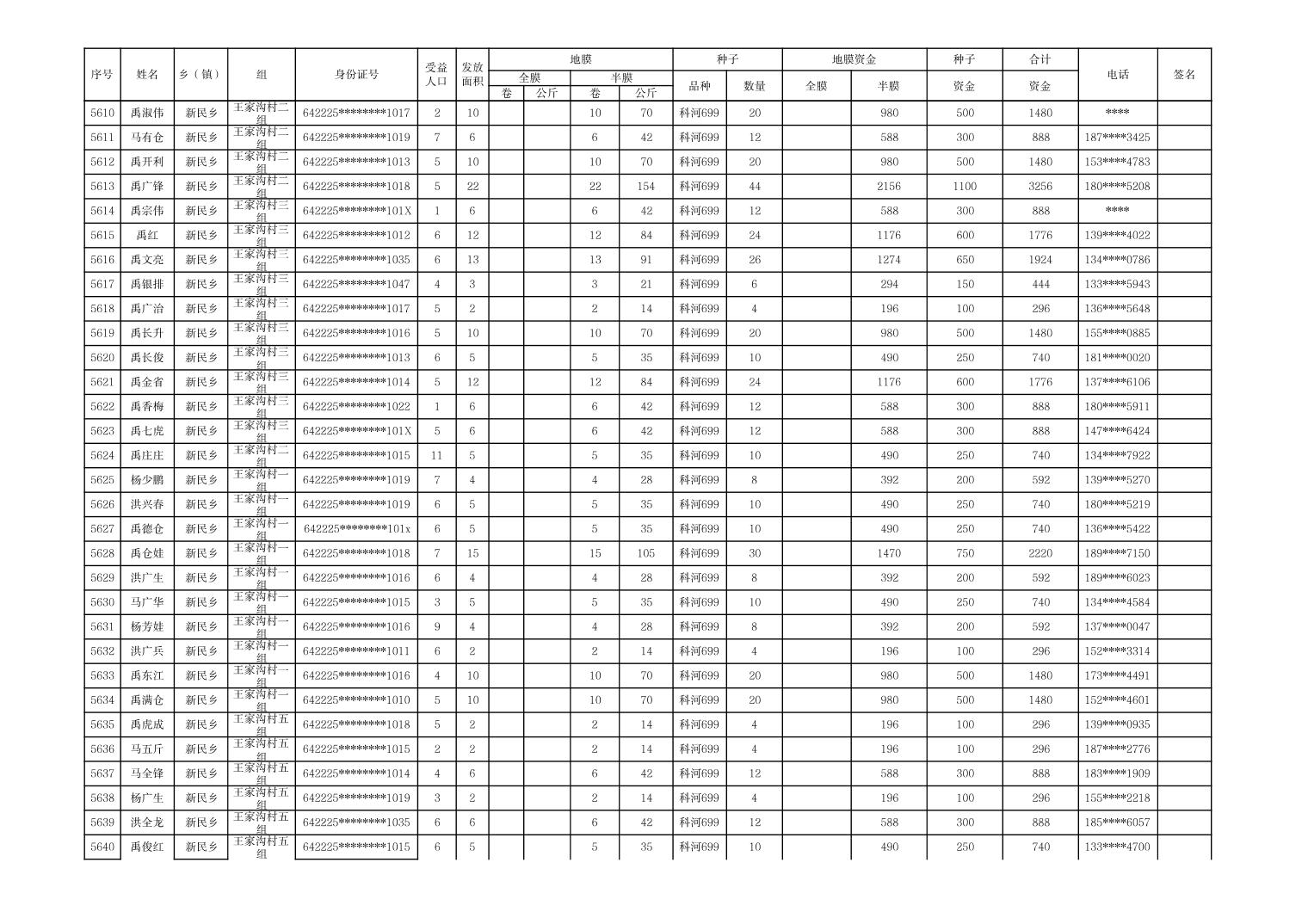
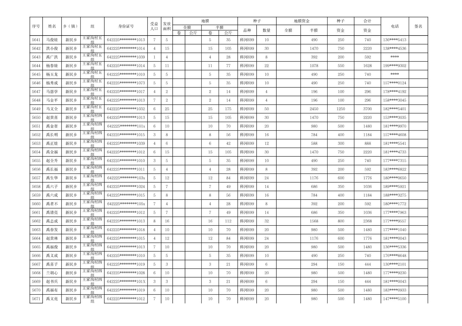
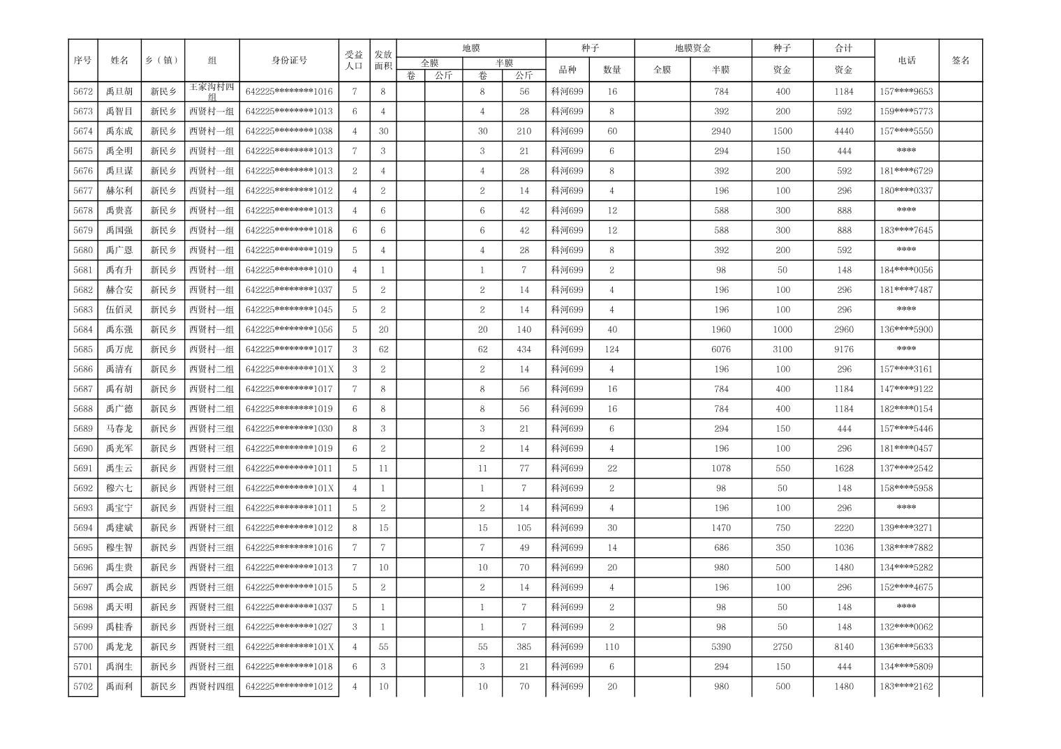
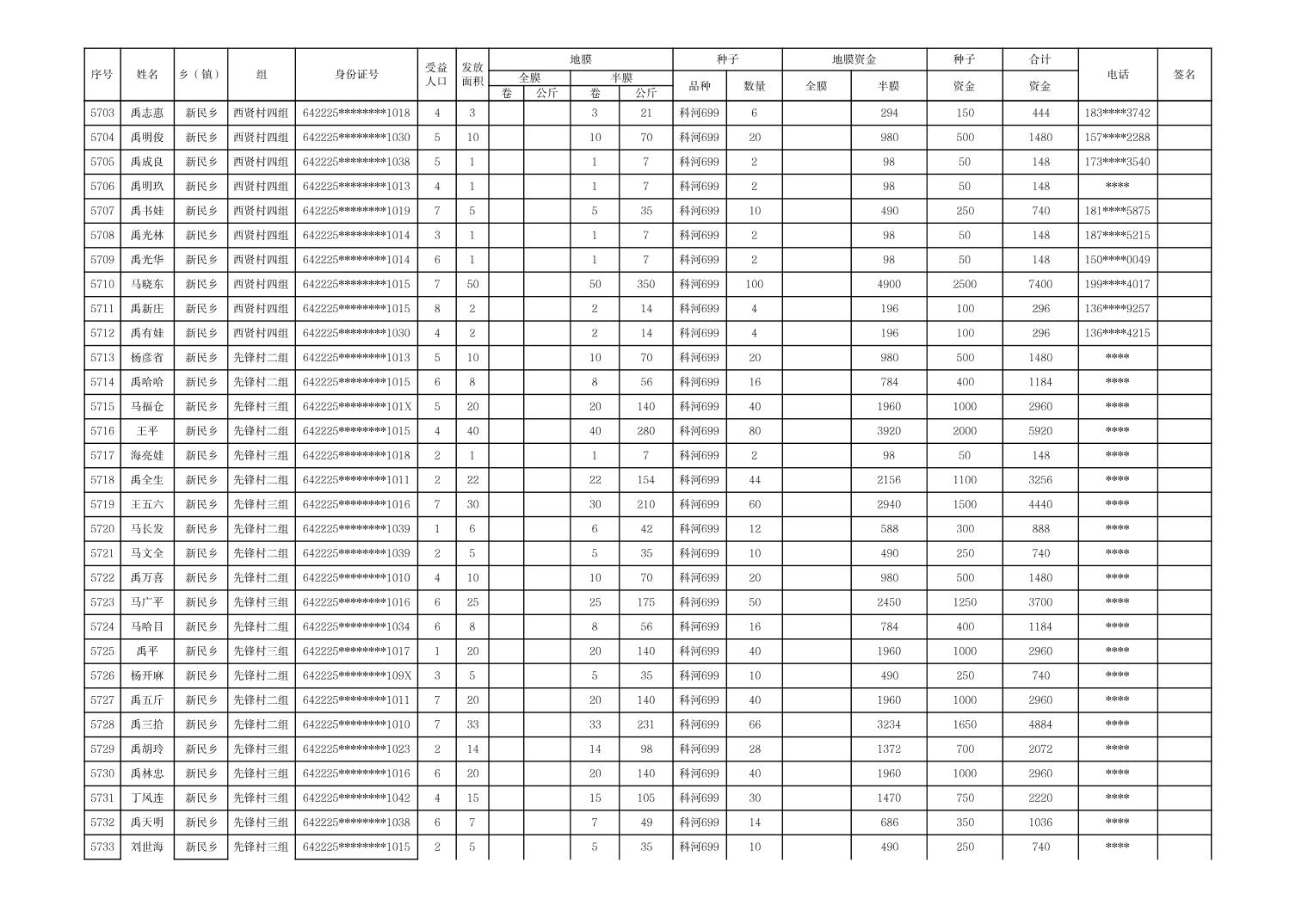
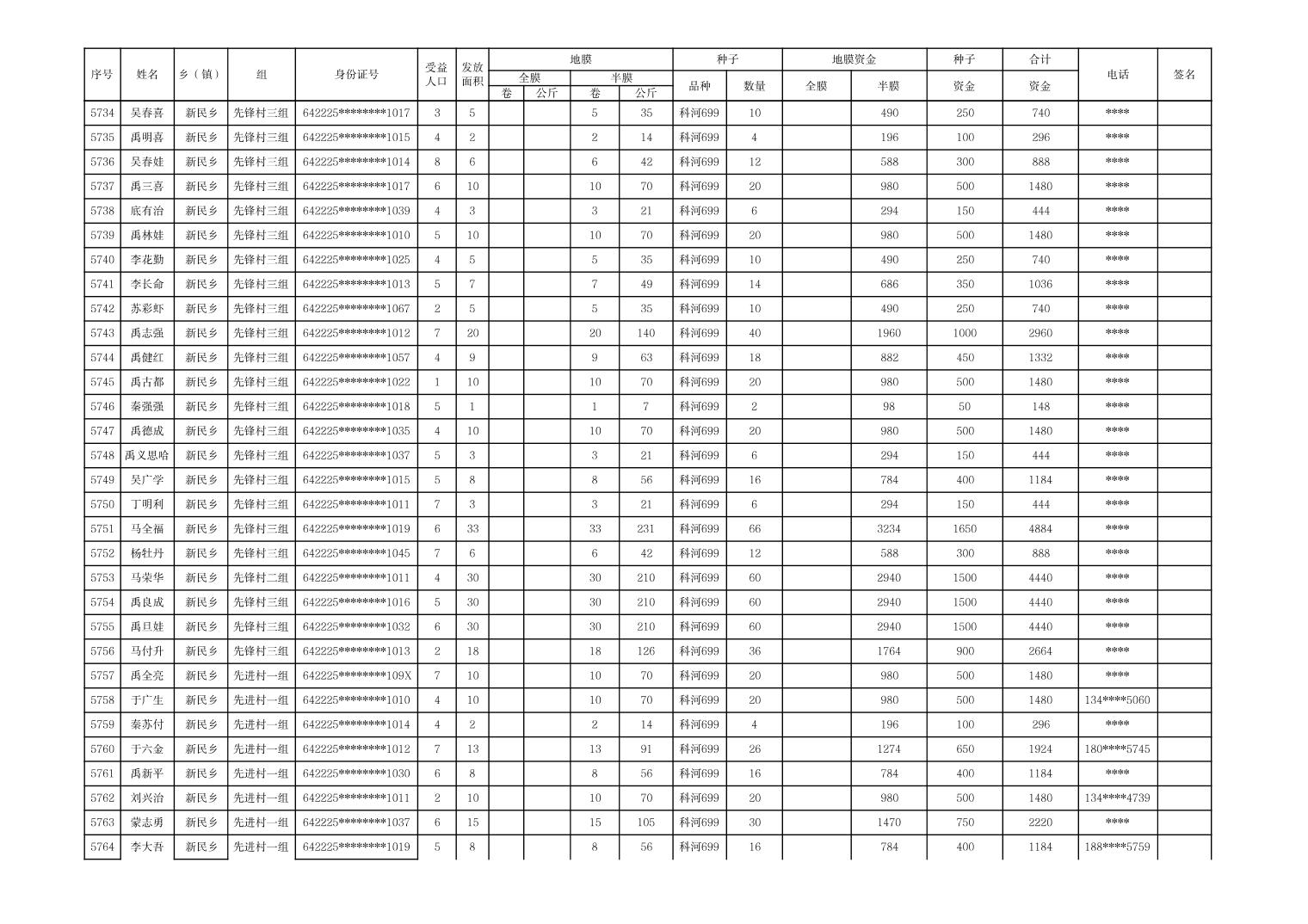
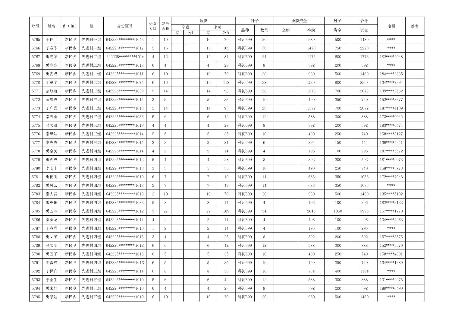
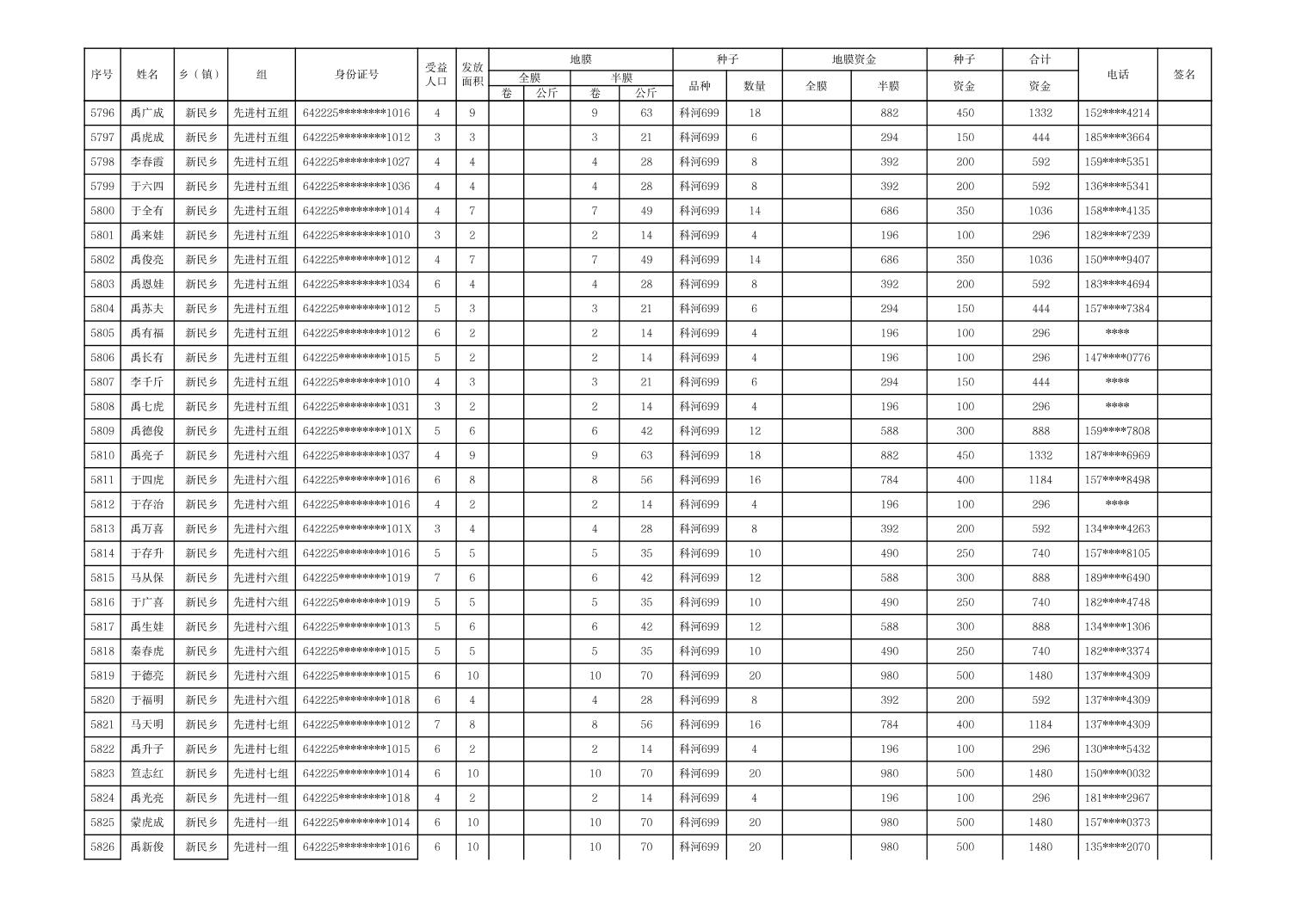
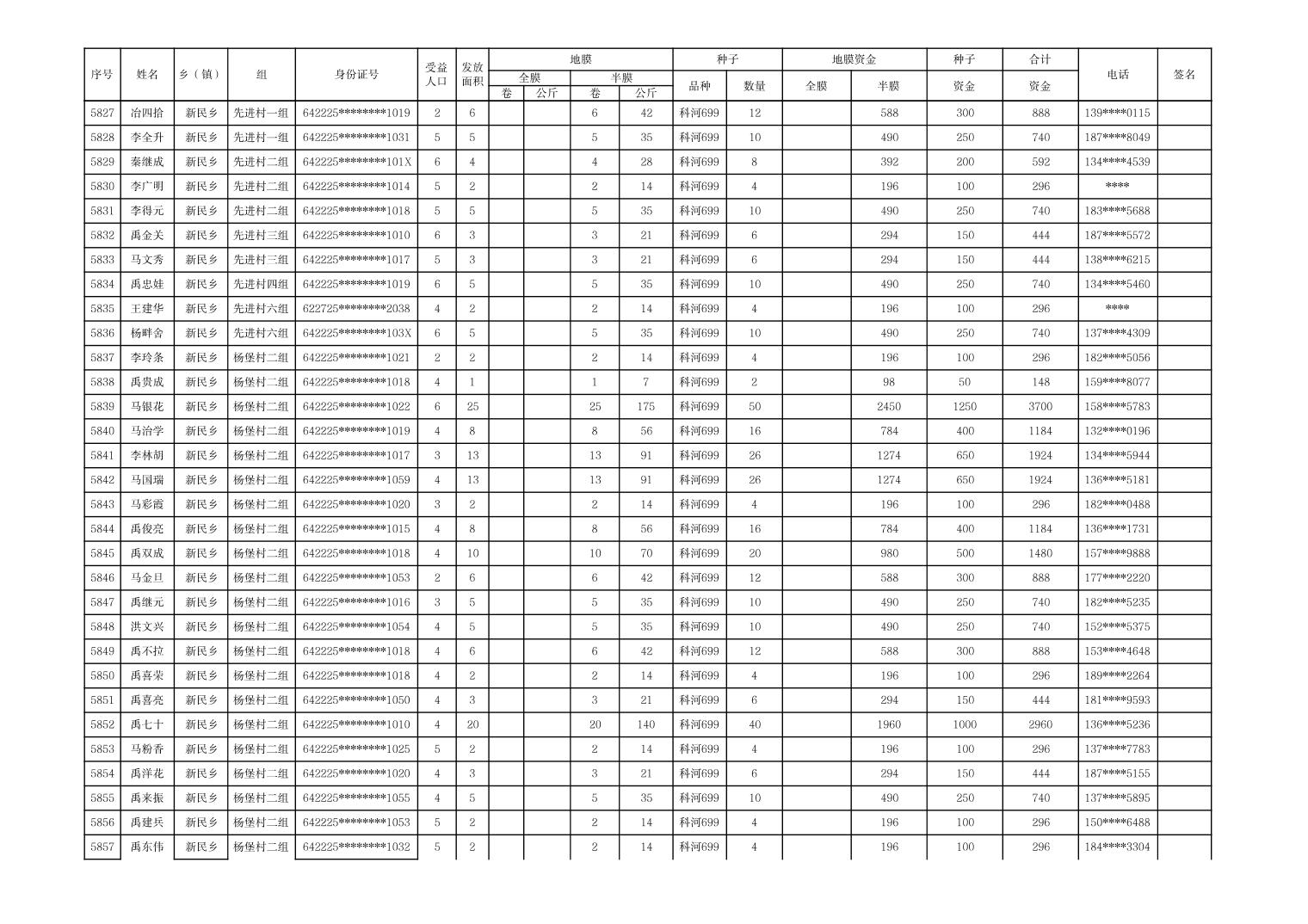
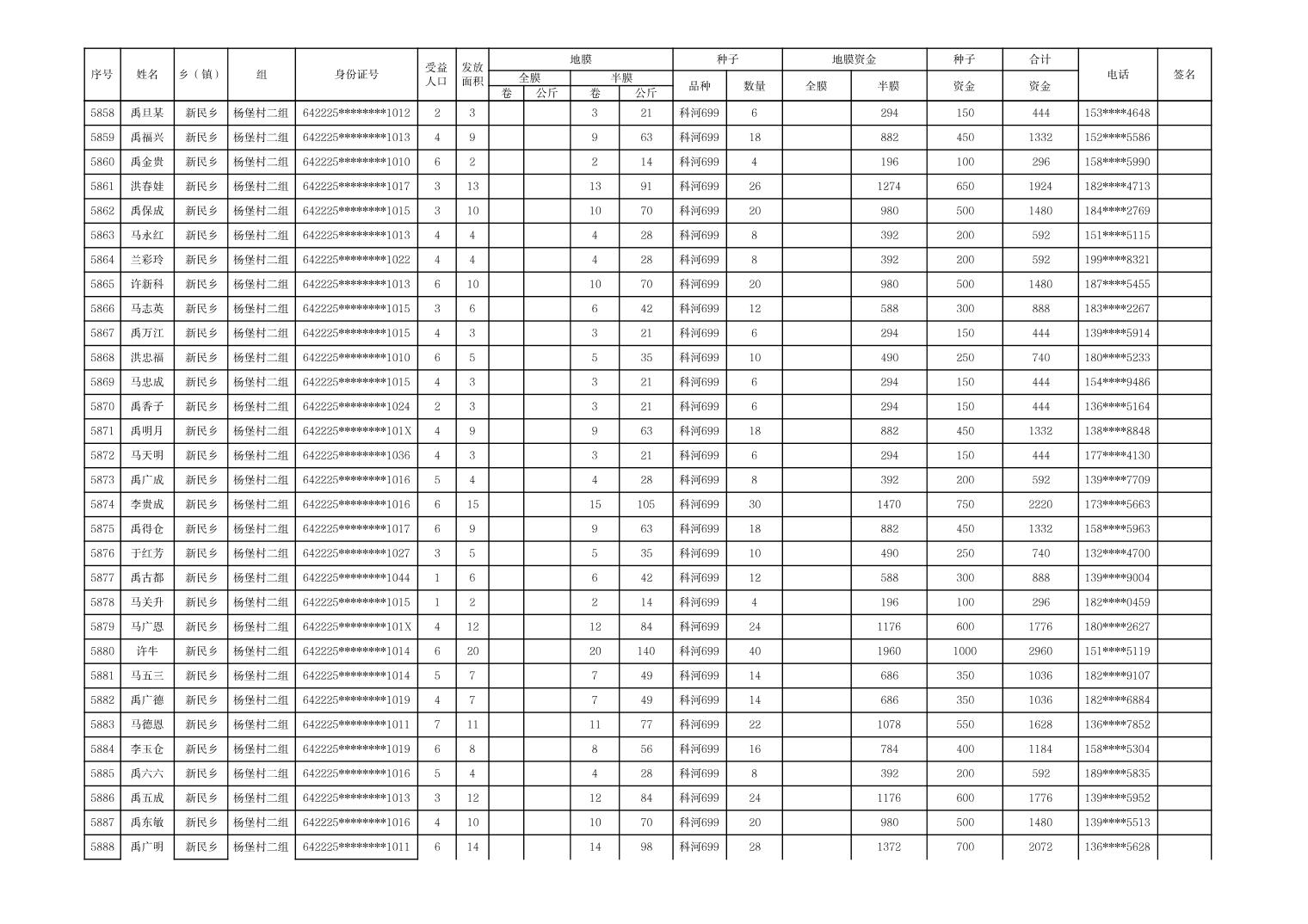
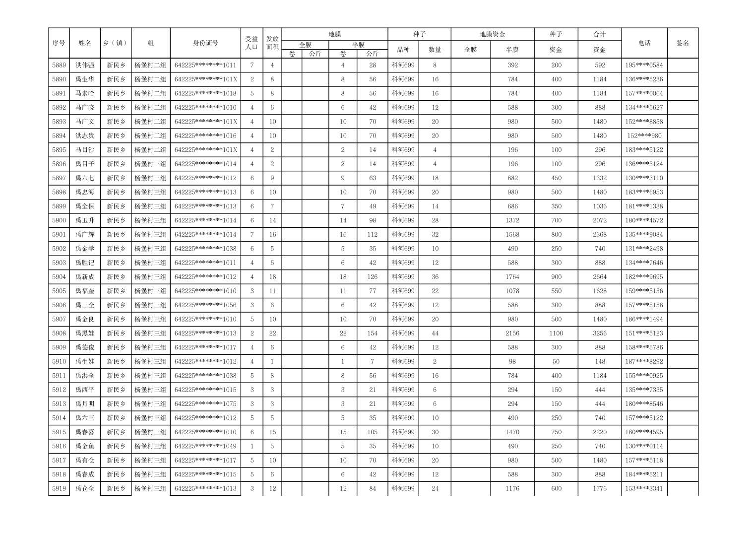
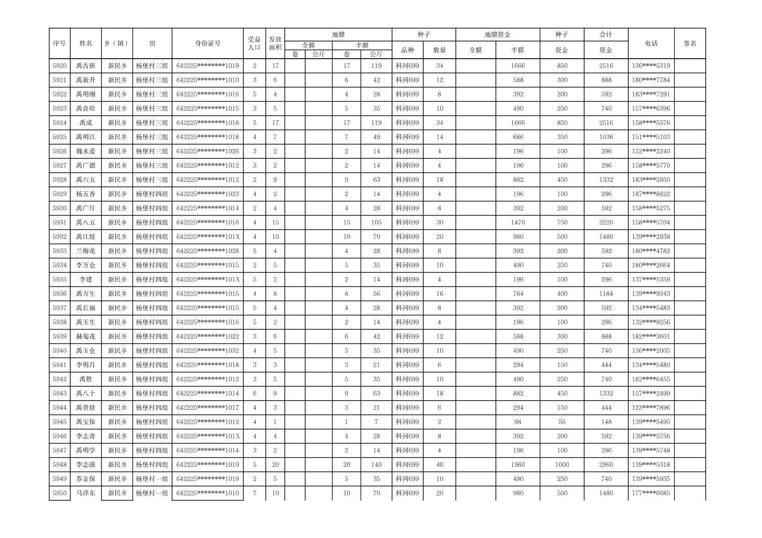
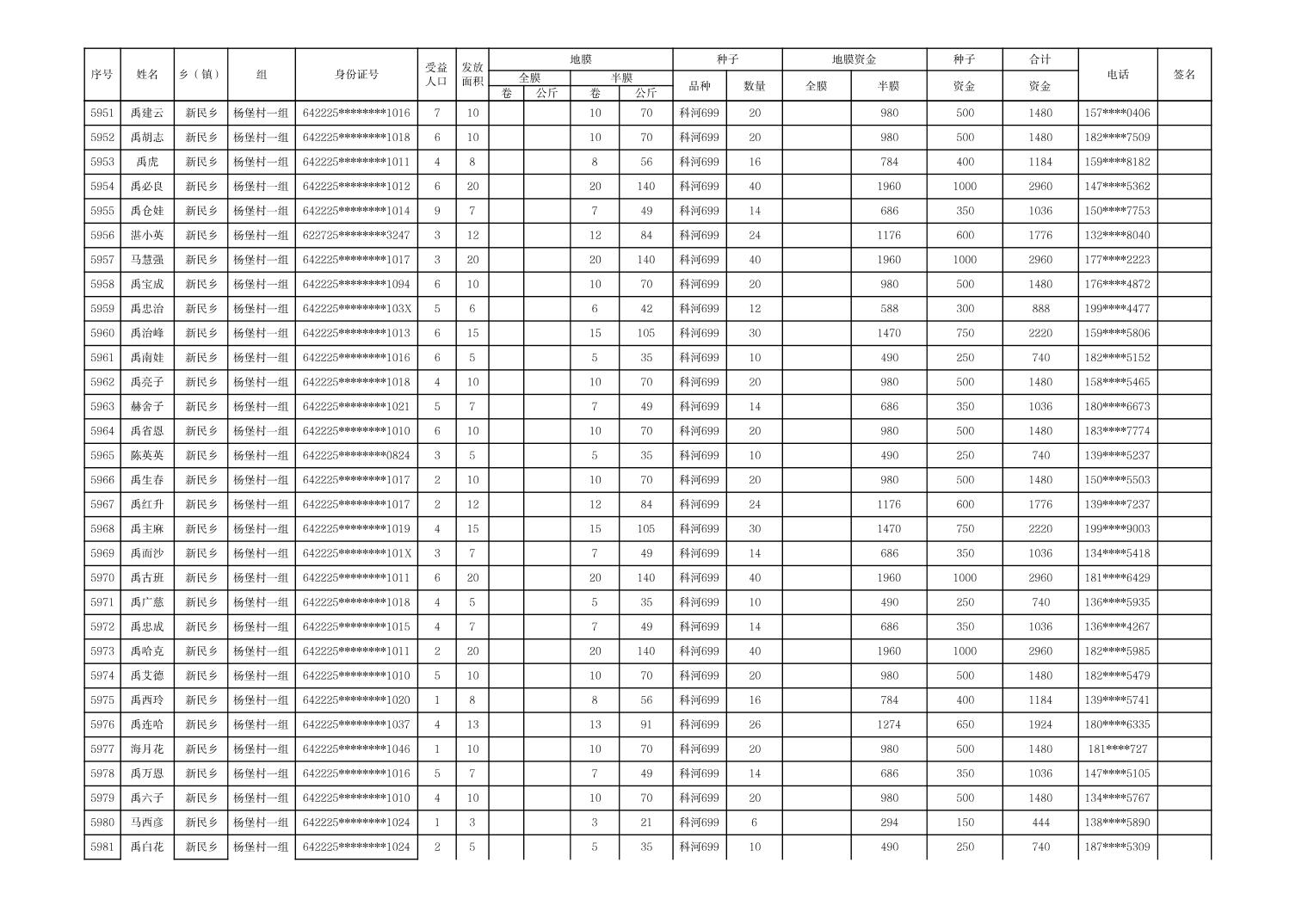
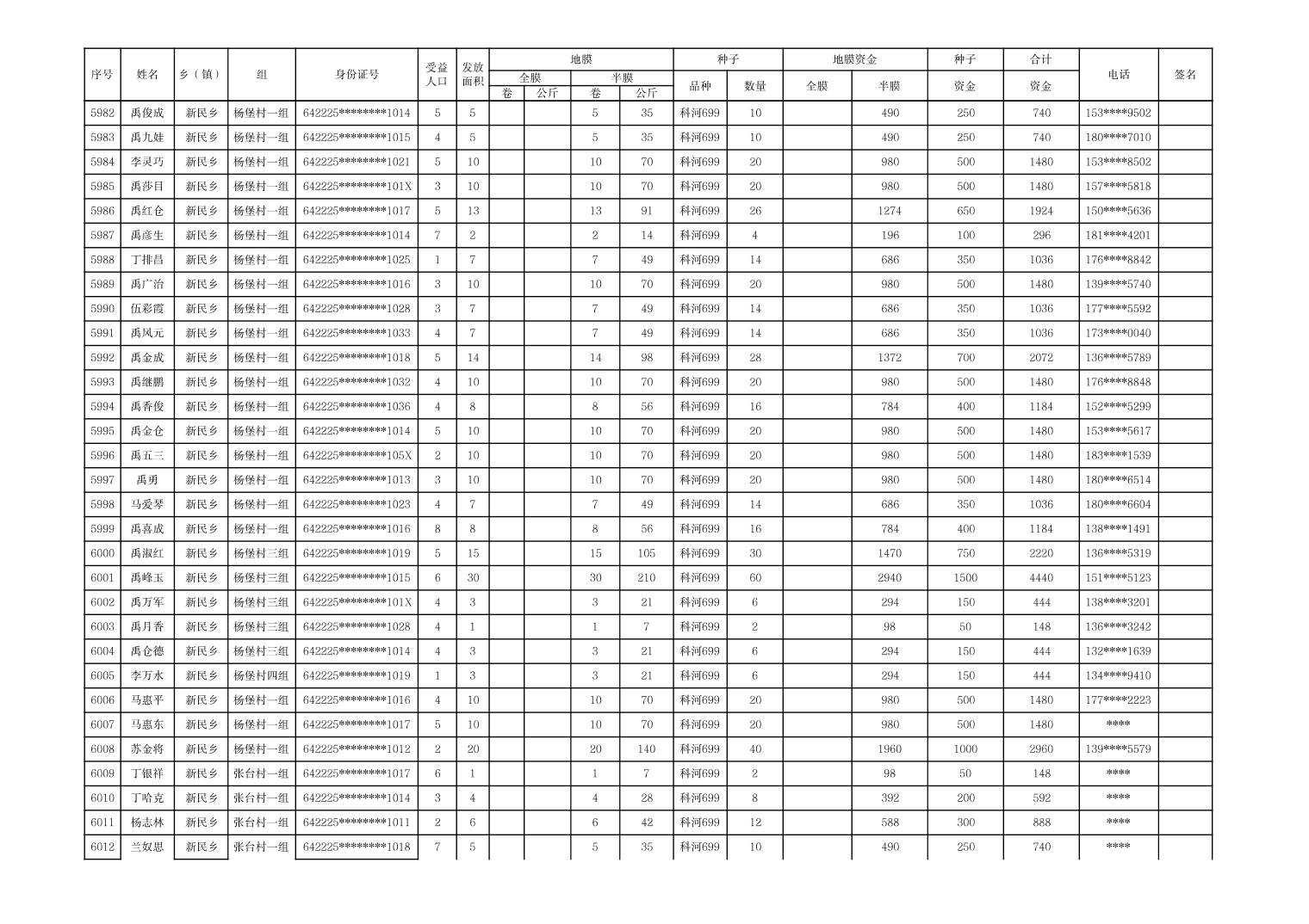
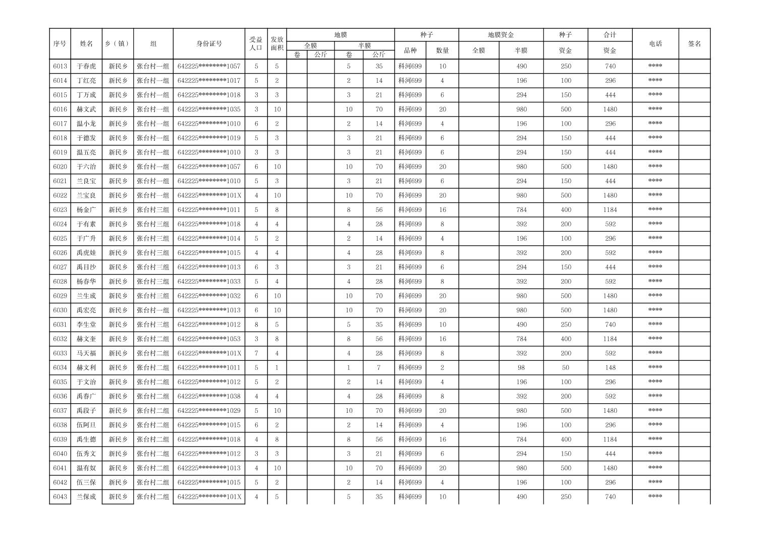
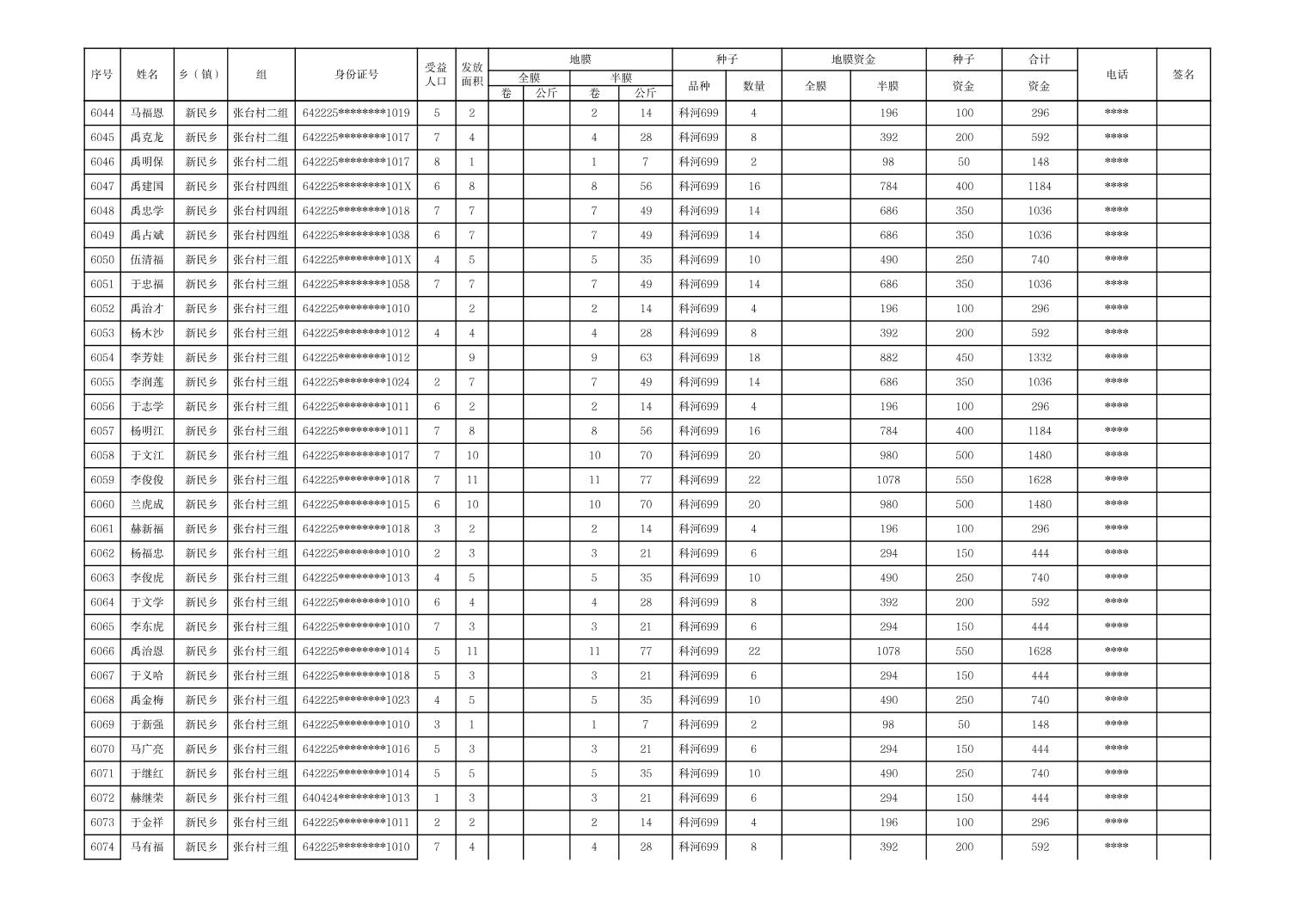
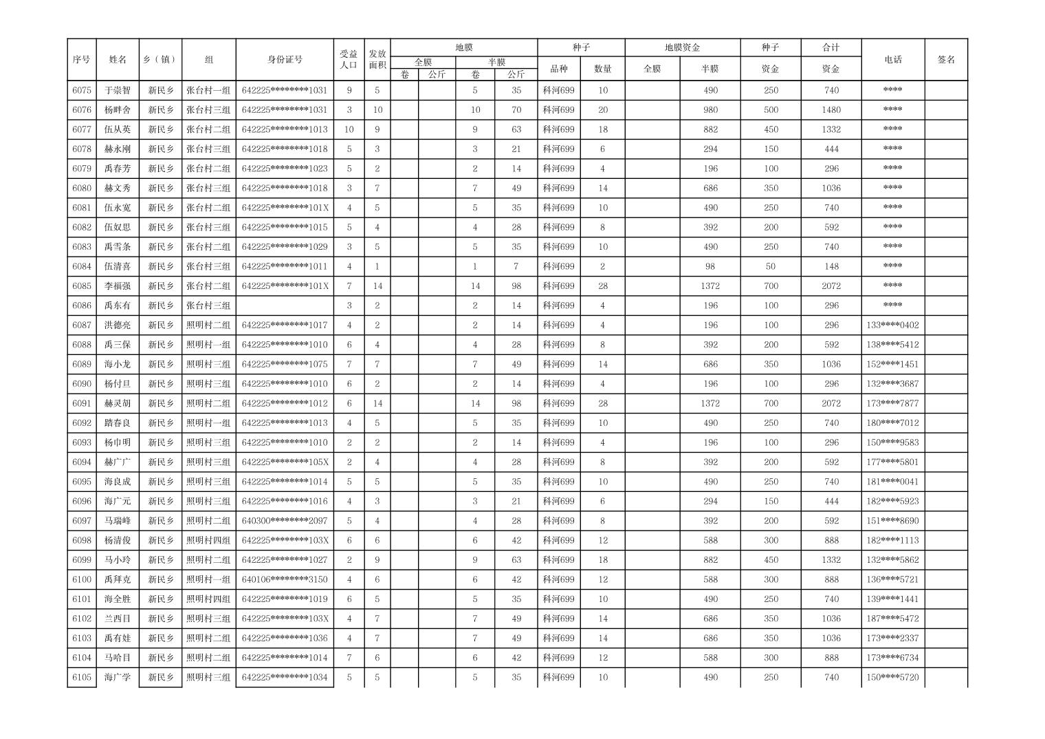
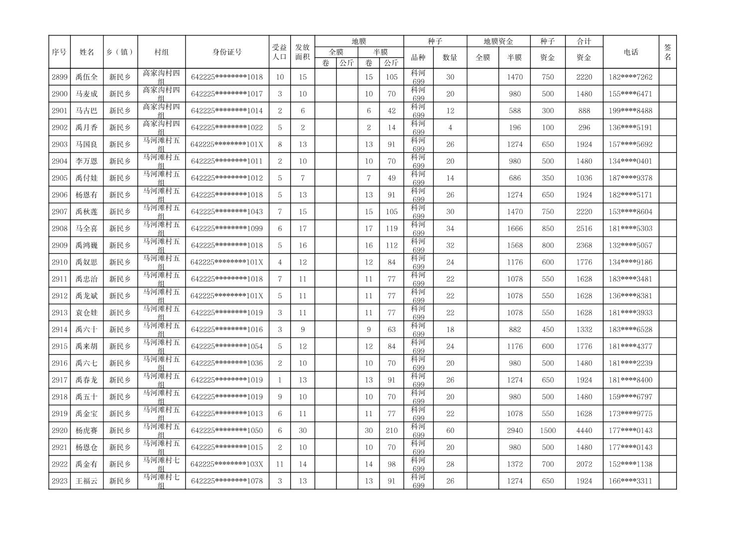
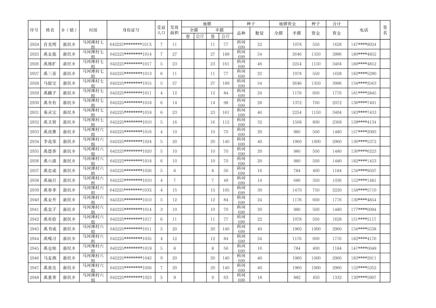
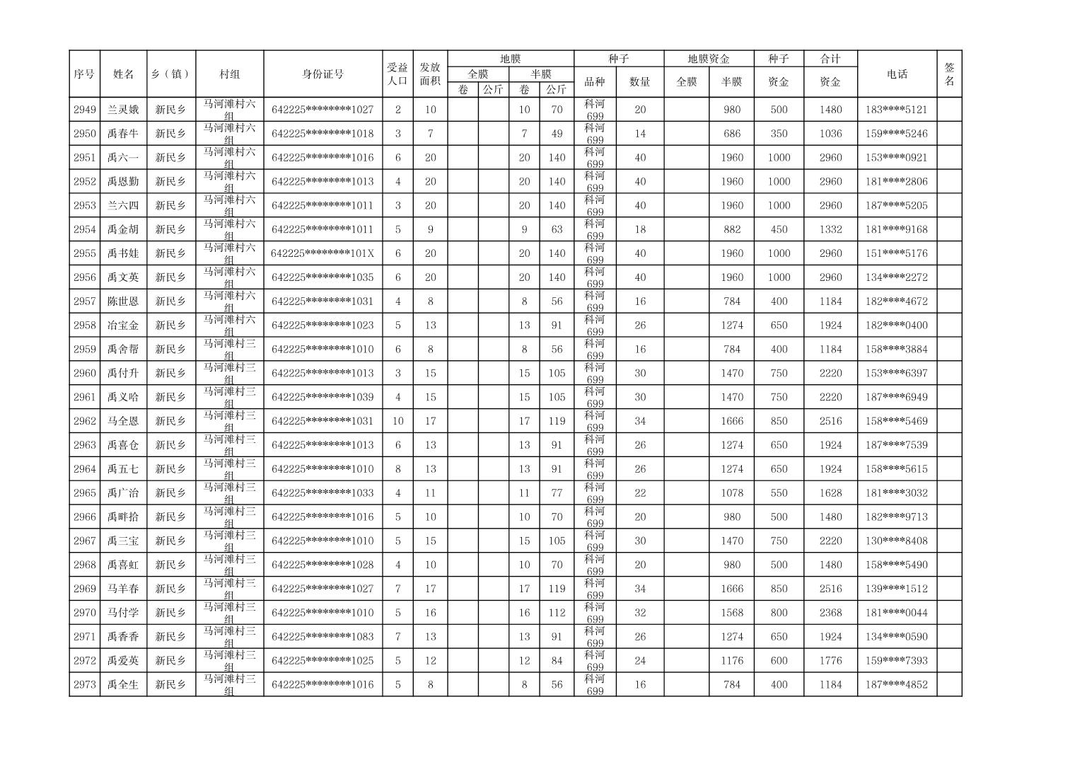
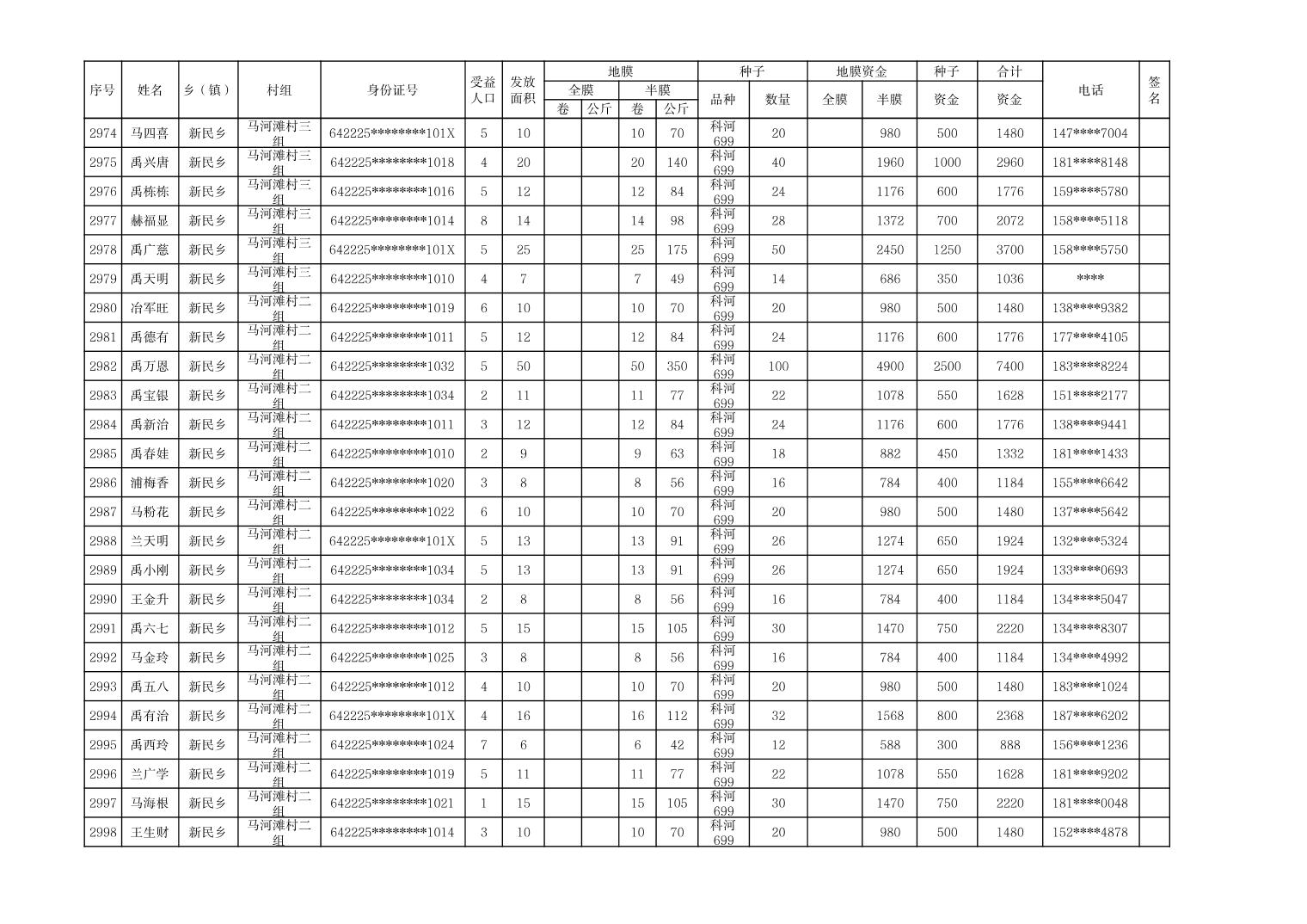
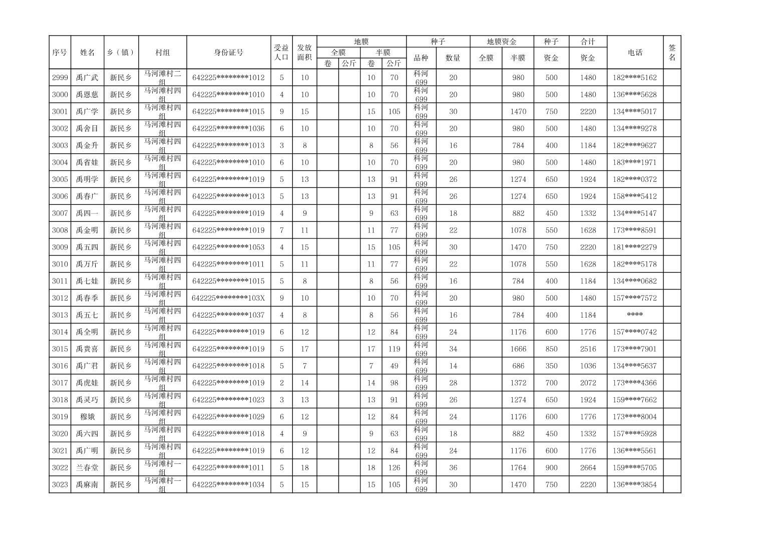
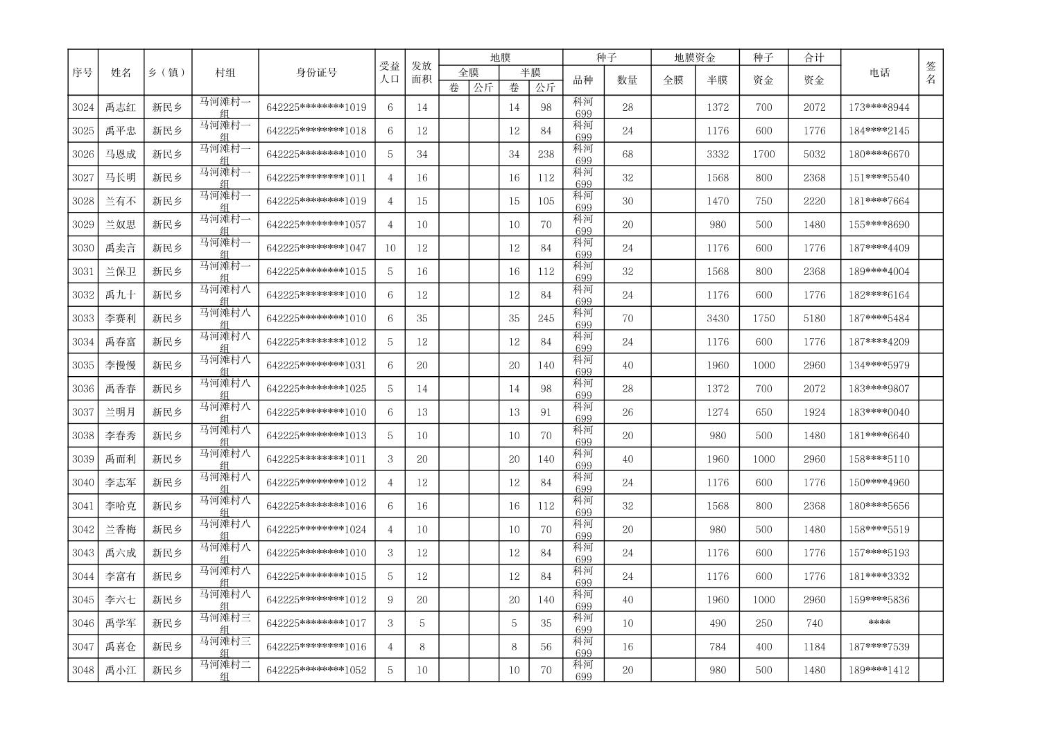
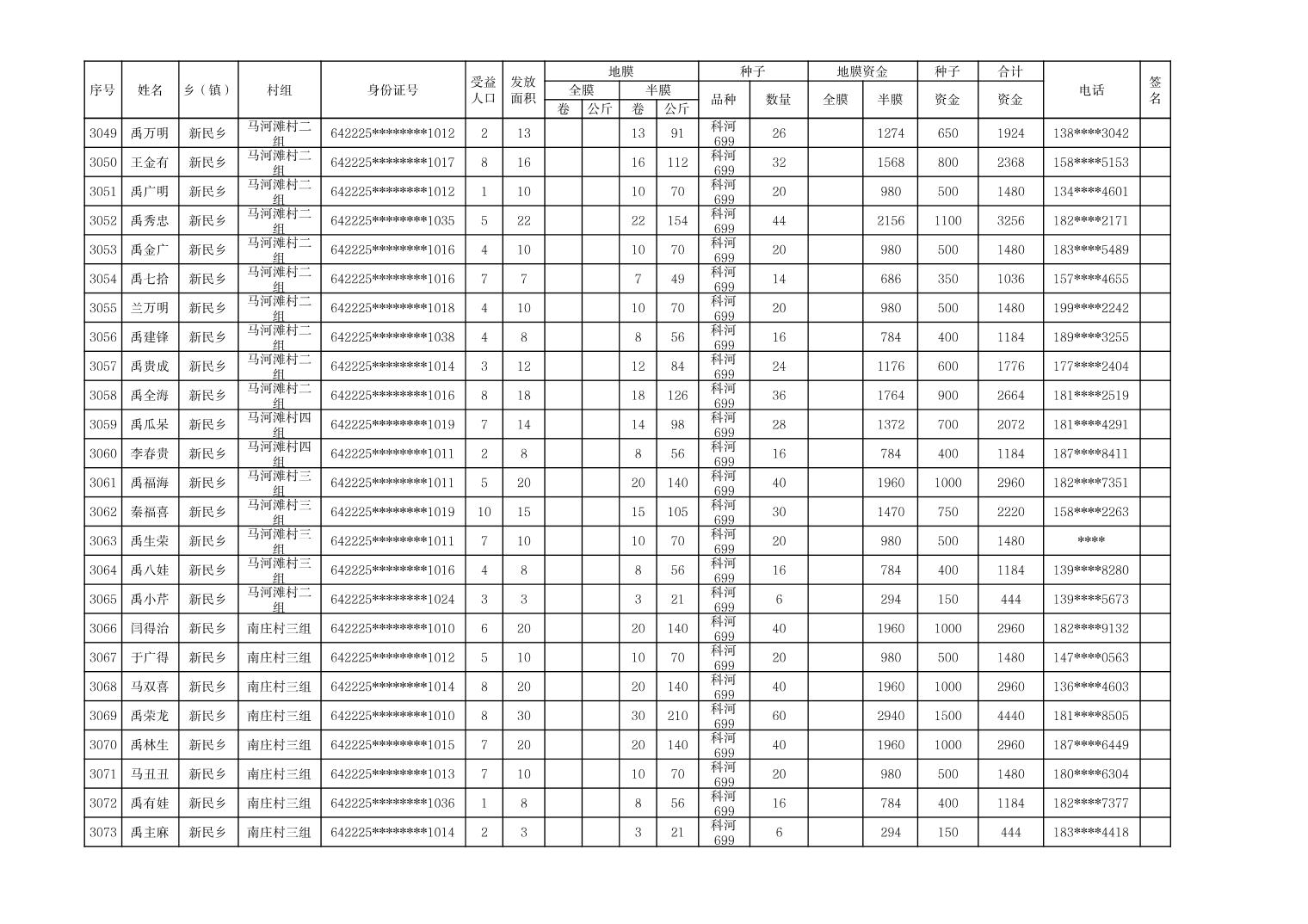
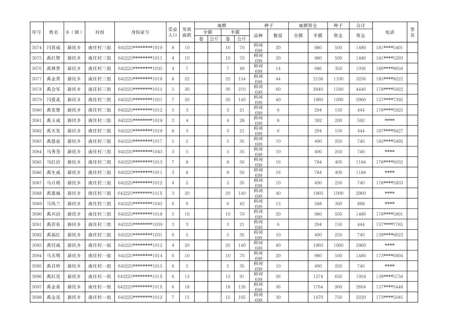
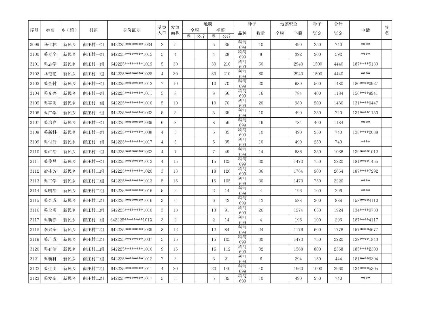
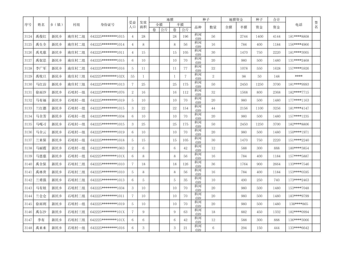
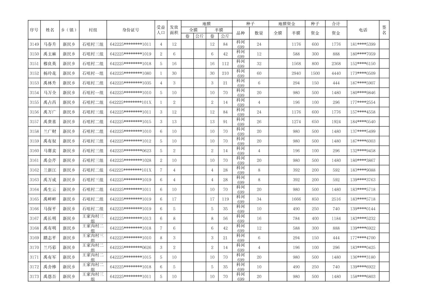
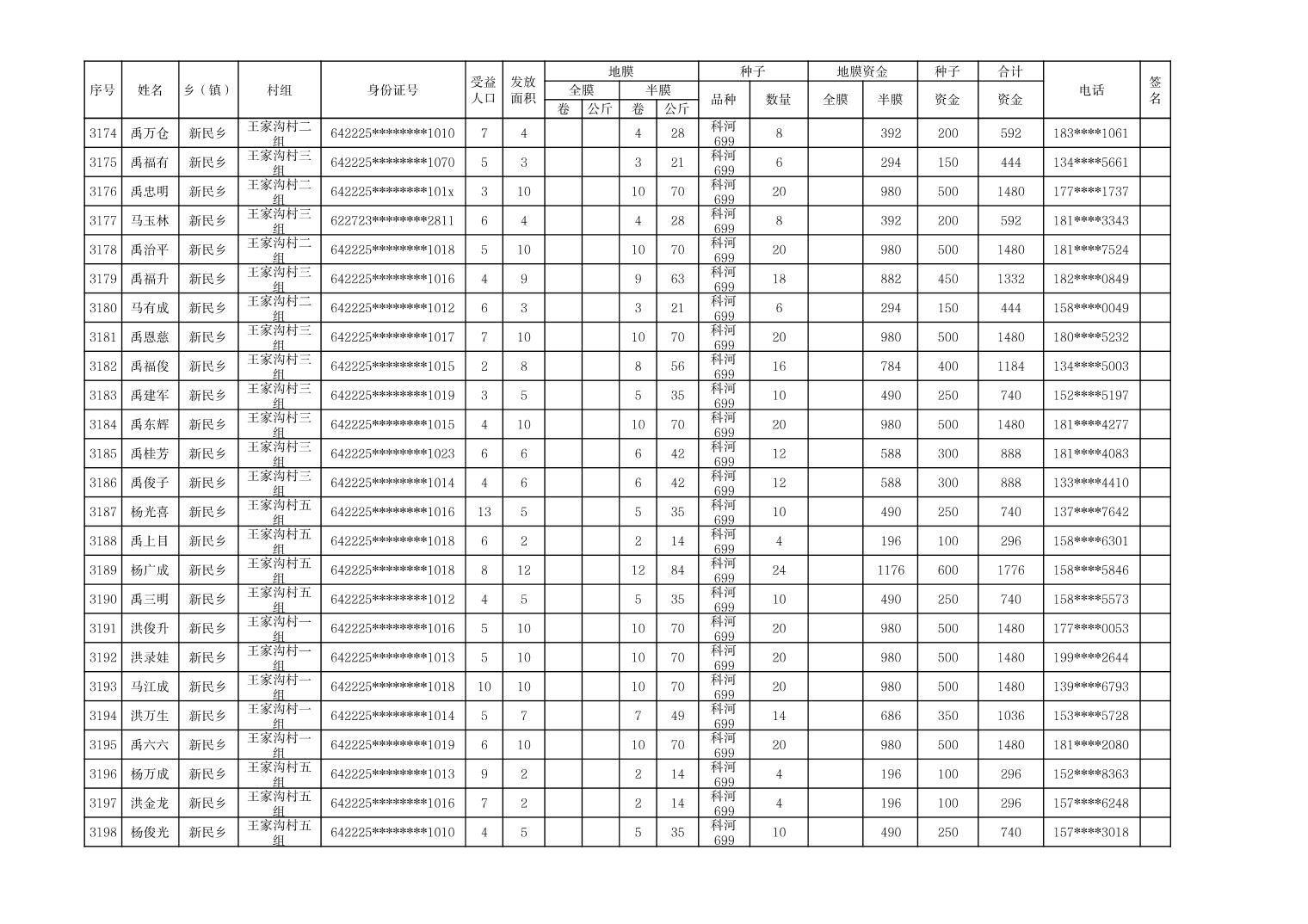
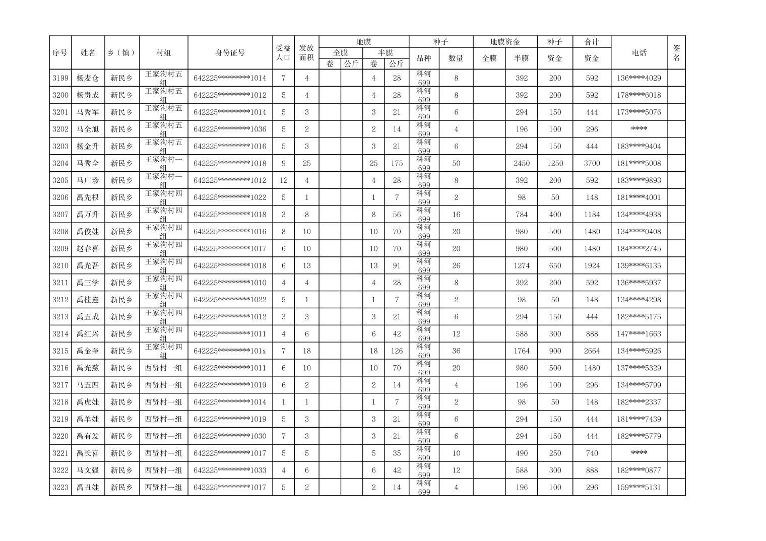
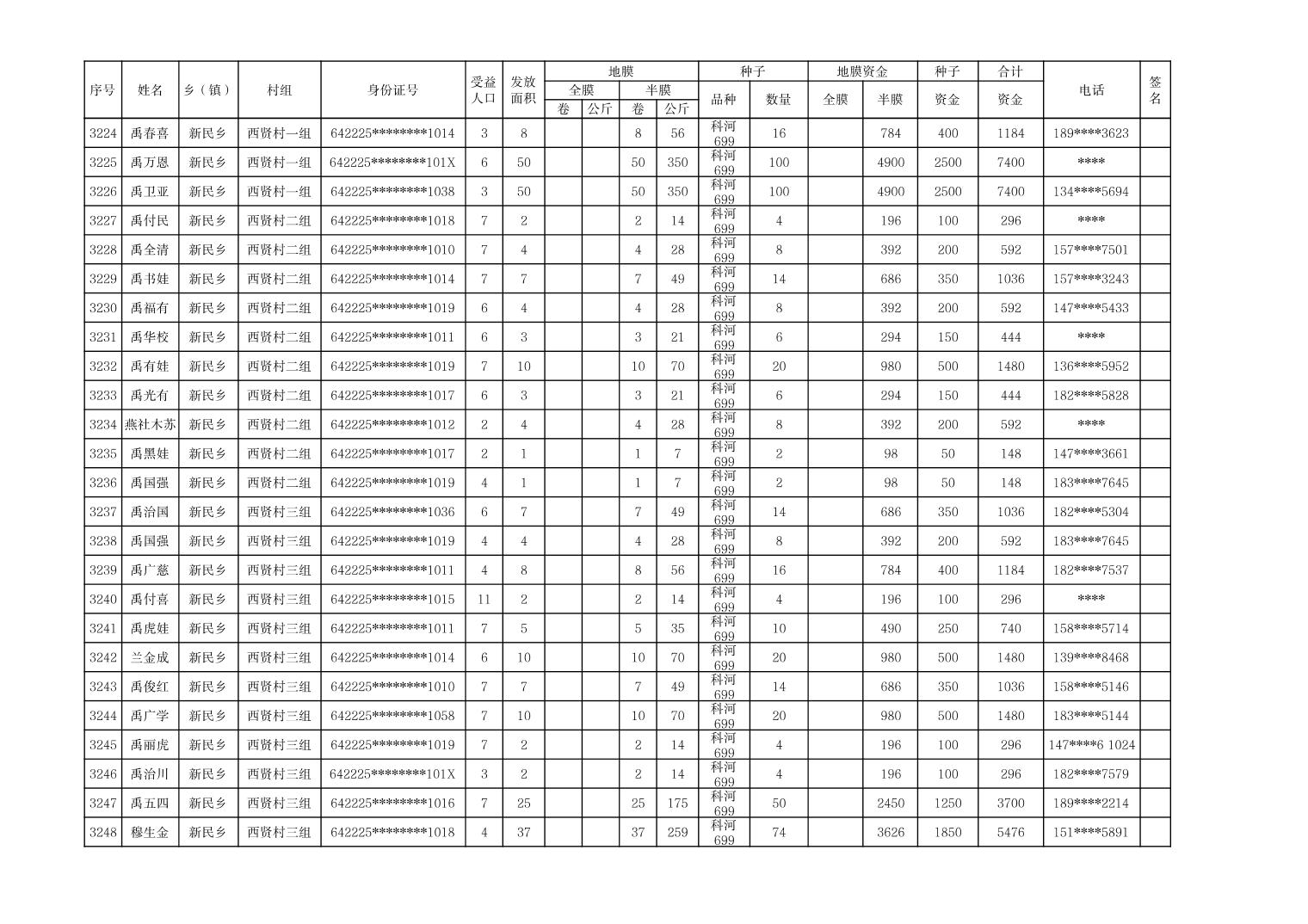
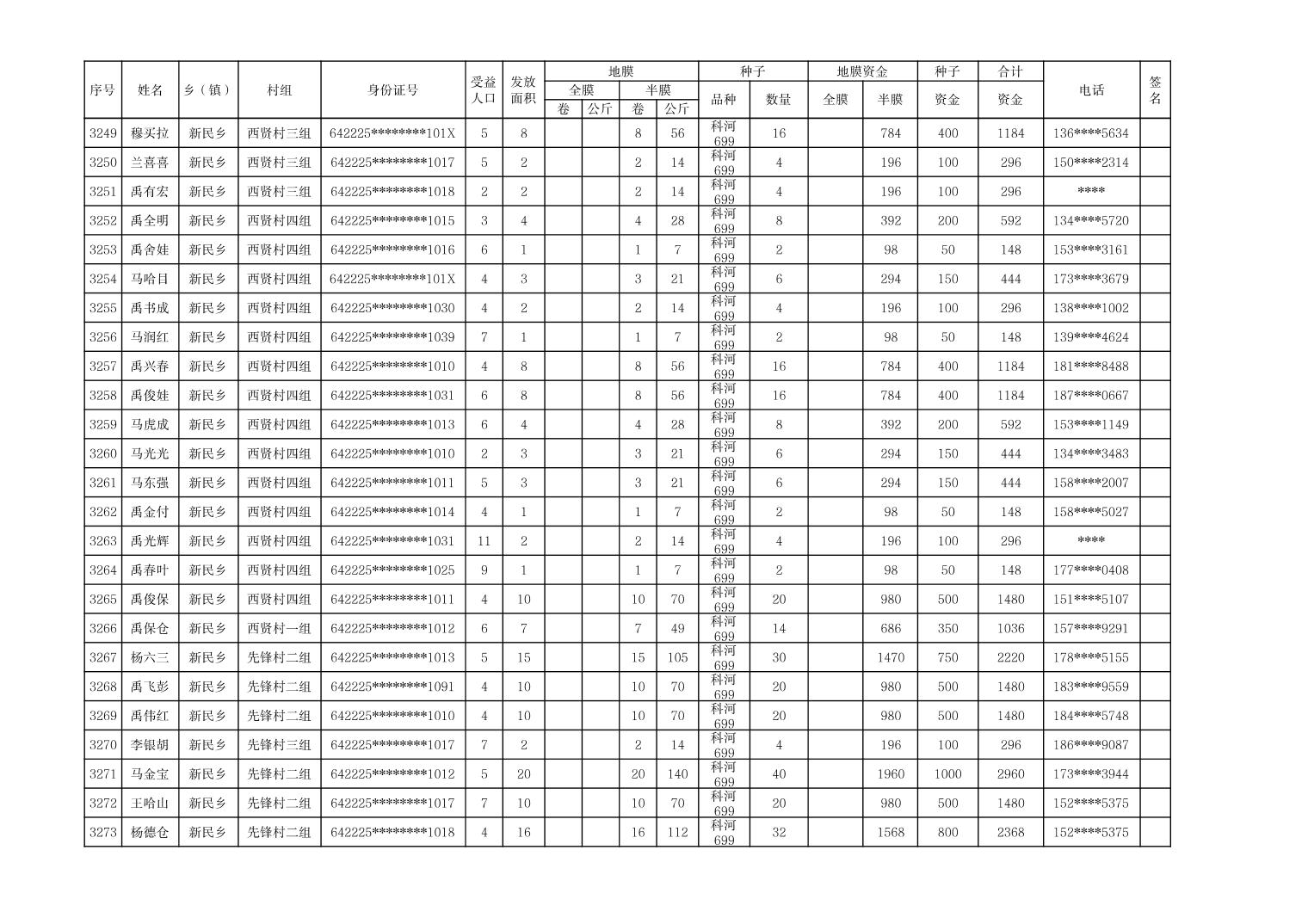
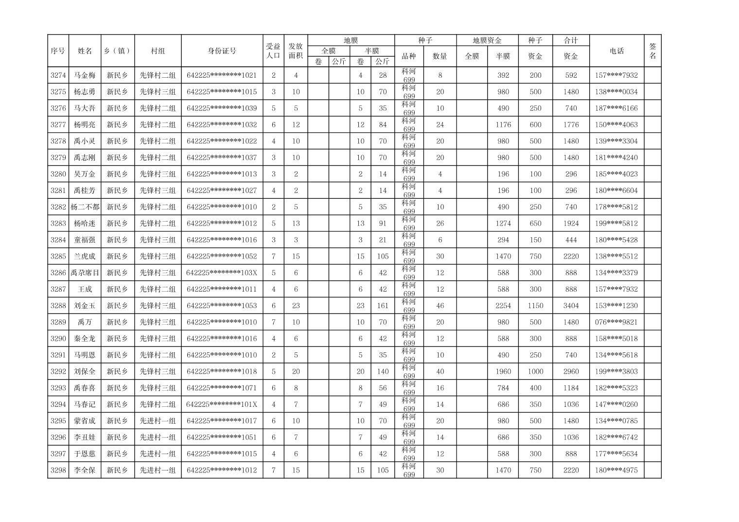
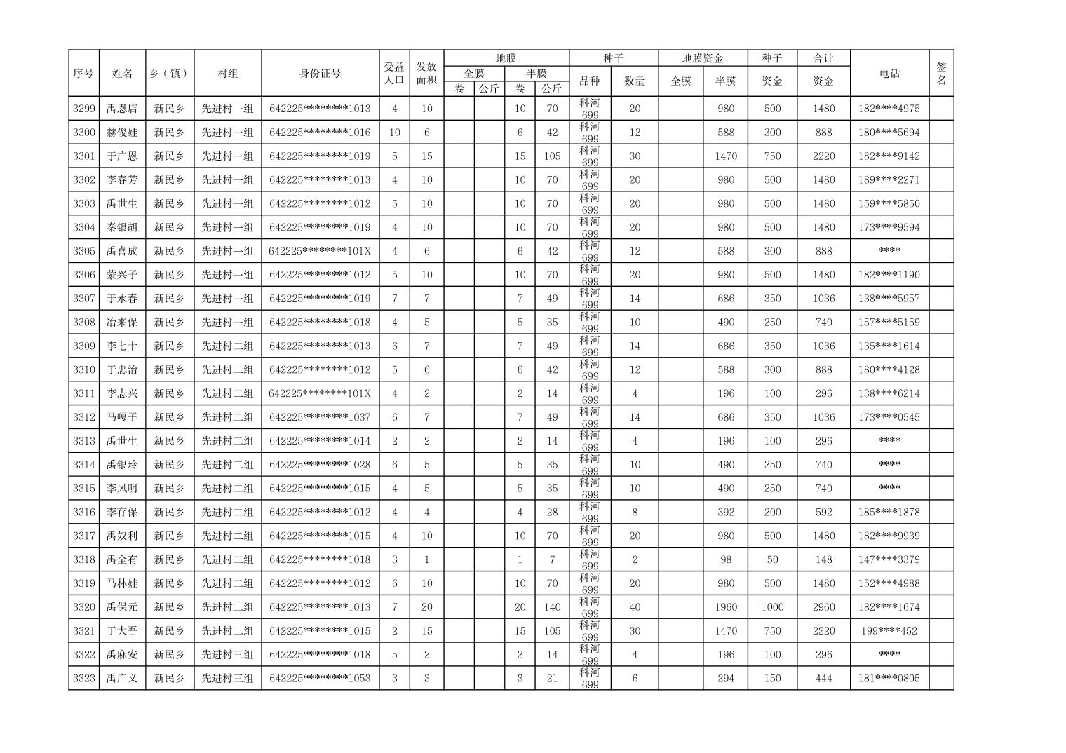
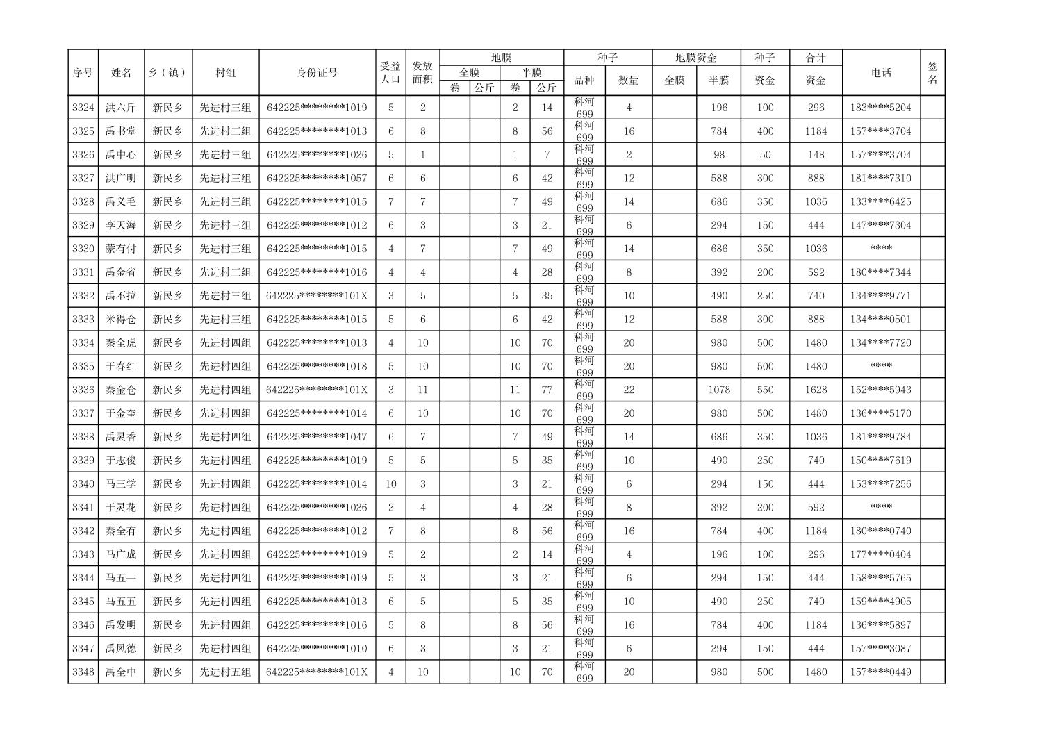
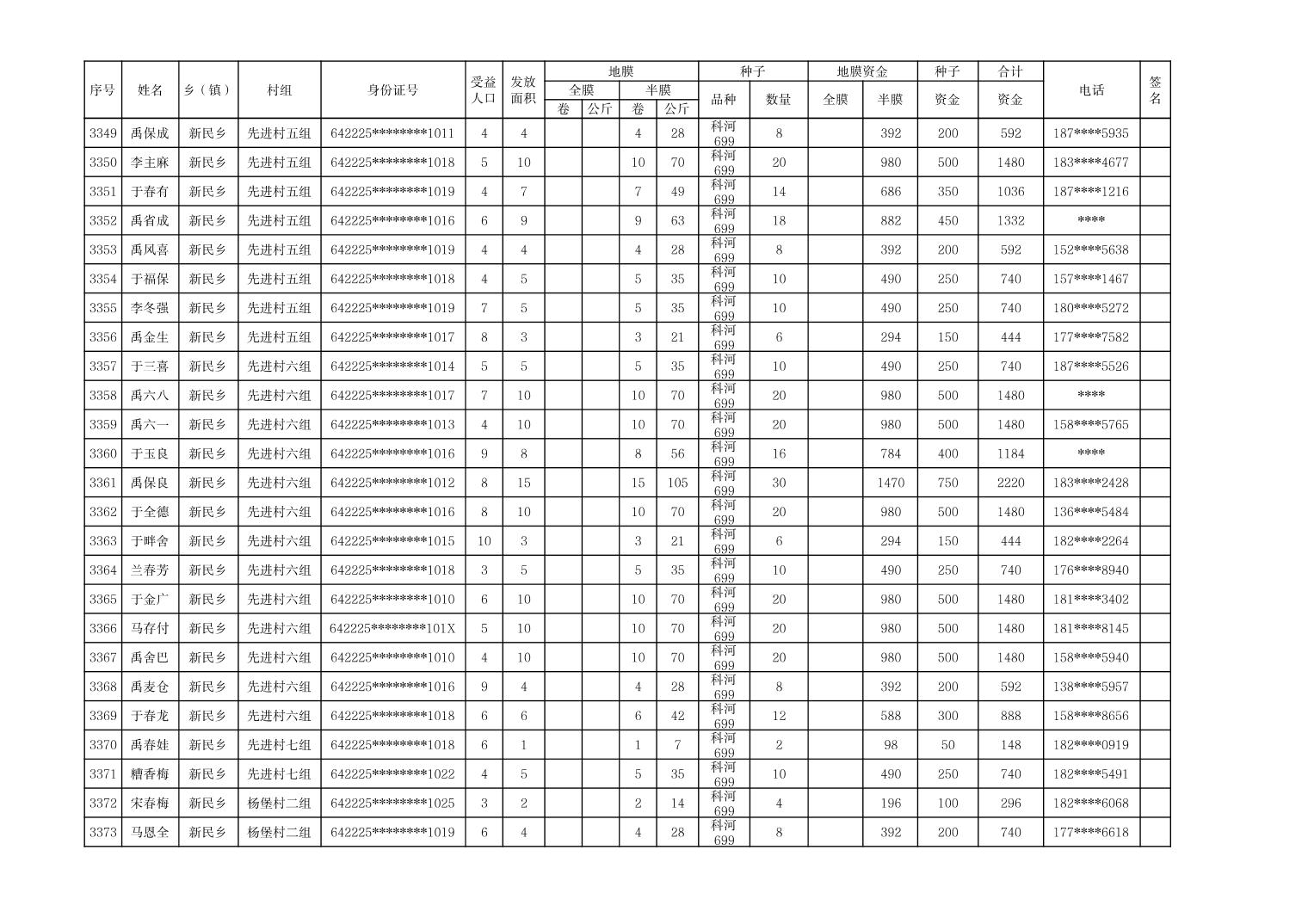
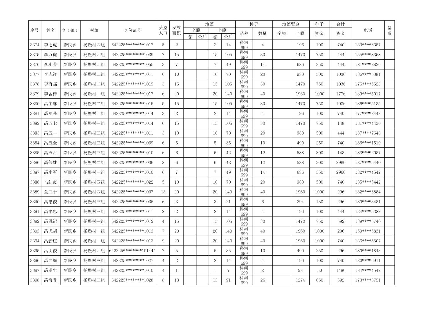
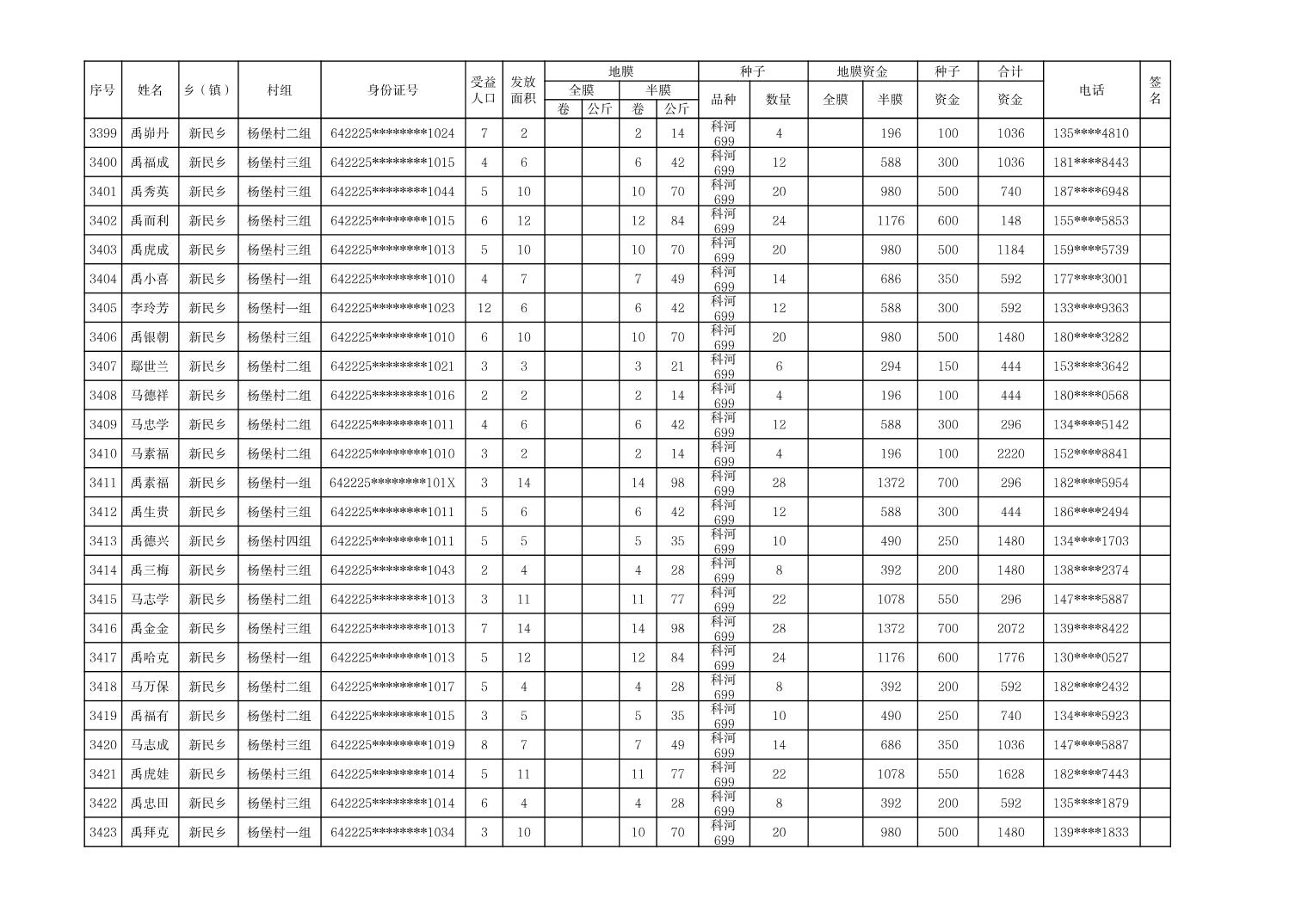
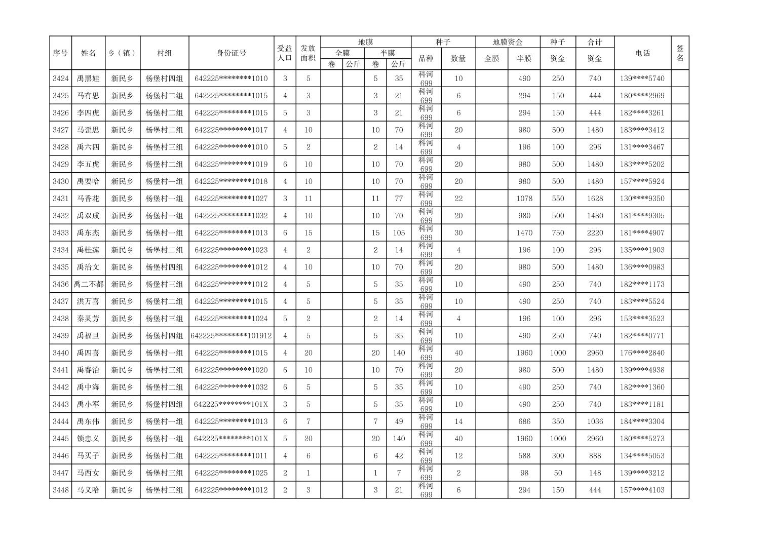
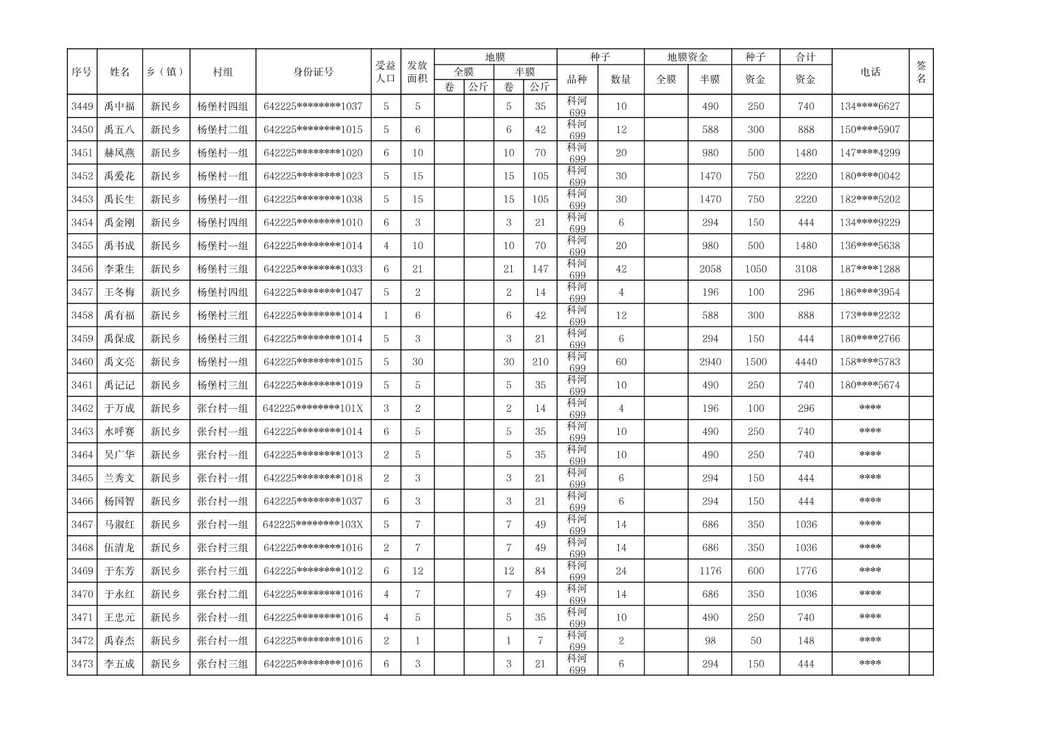
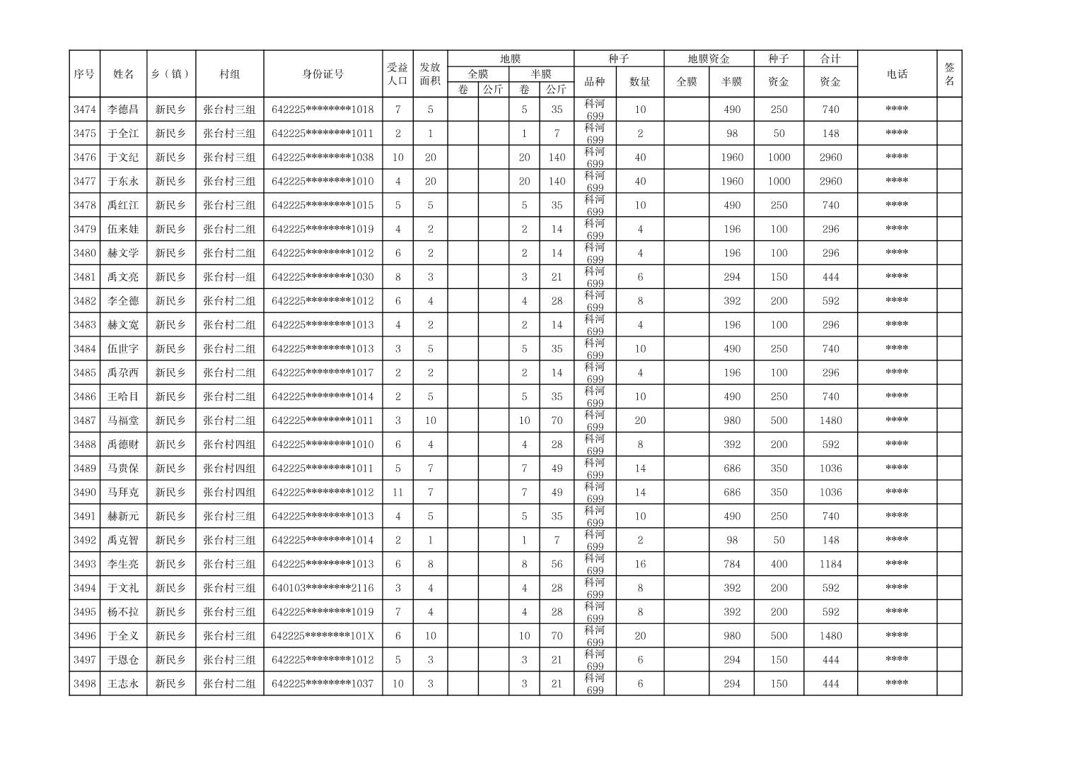
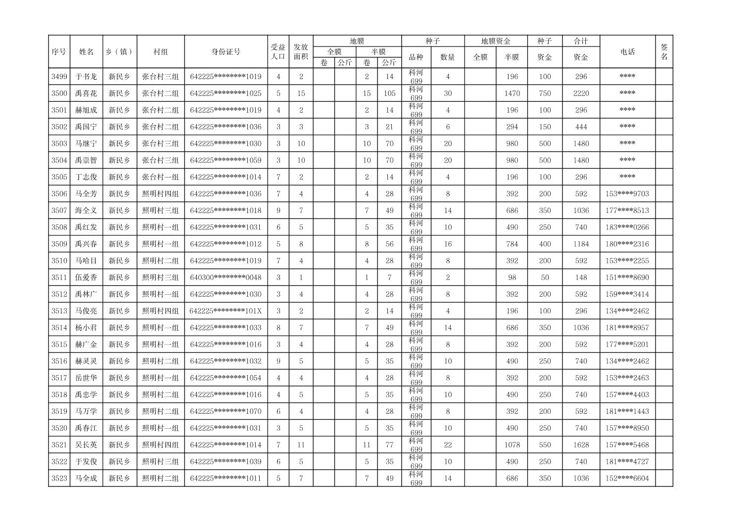
新民乡:优质高产高效玉米种植行政村11个,共抽验11个行政村,抽验面积4475亩,抽验比例30.6%,完成率98.6%,确认覆膜种植面积14431亩。
附表:1.泾源县2023年优质高产高效玉米种植验收汇总表
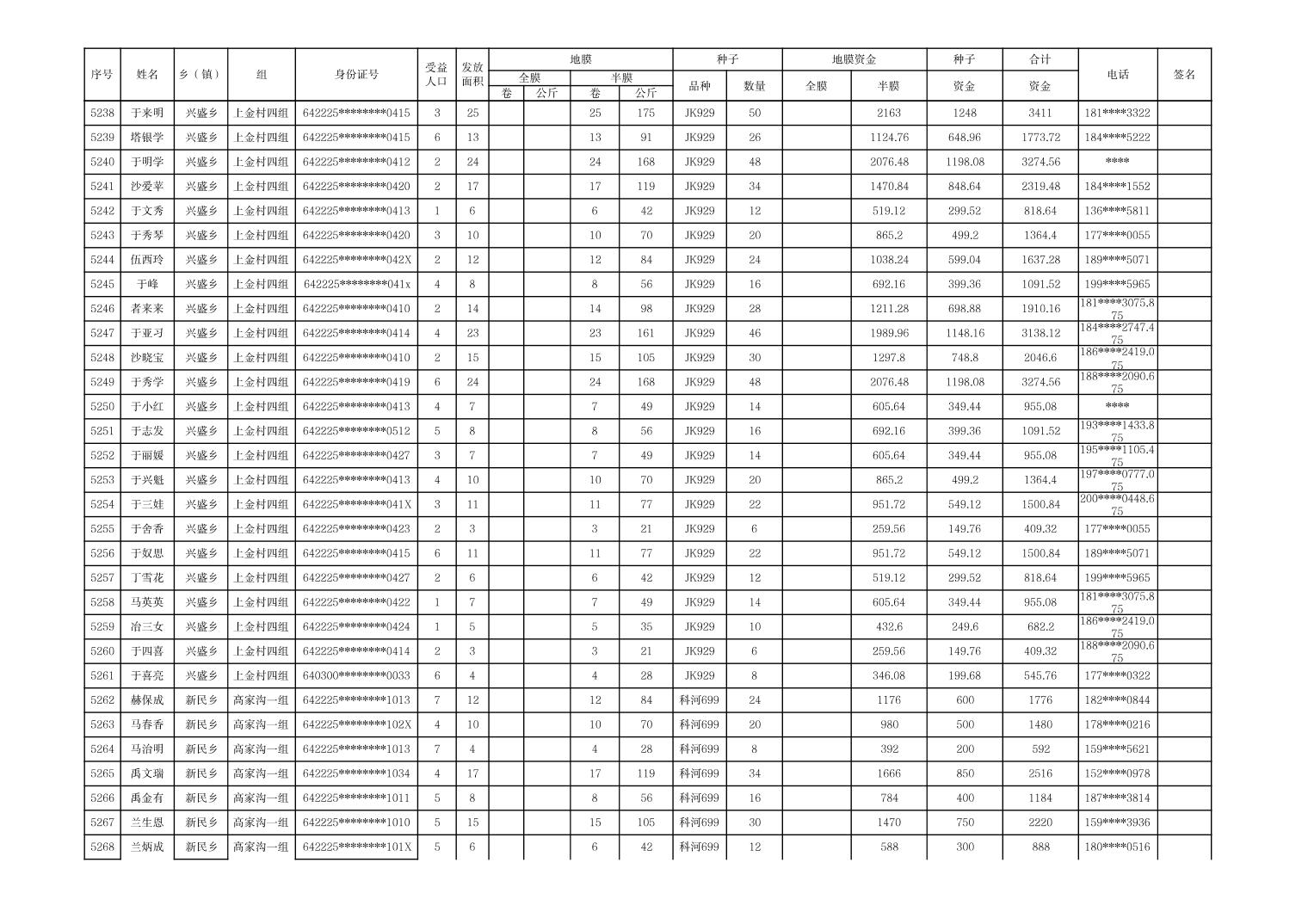
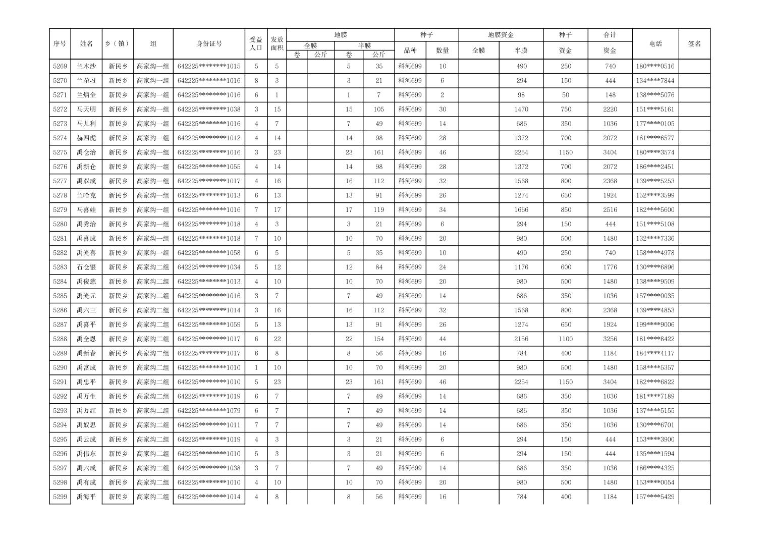
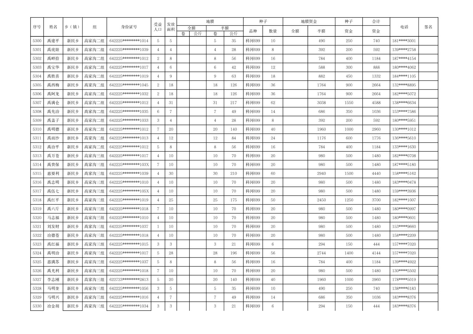
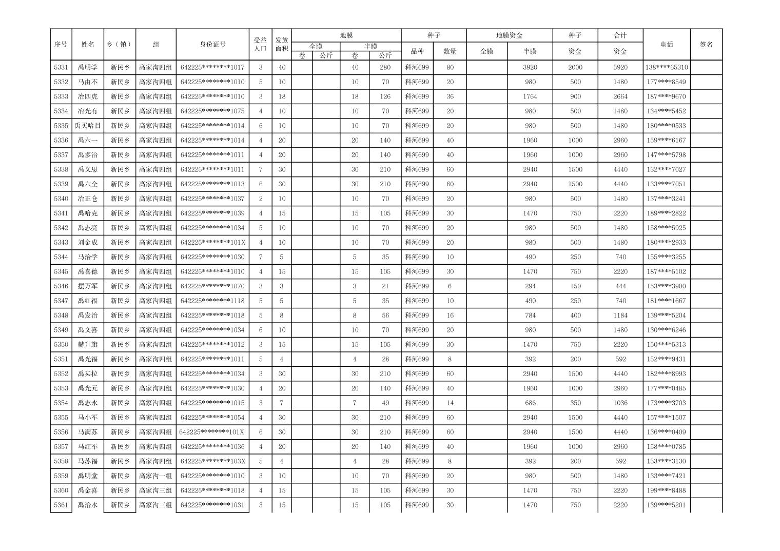
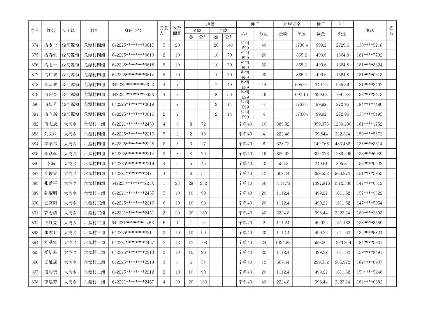
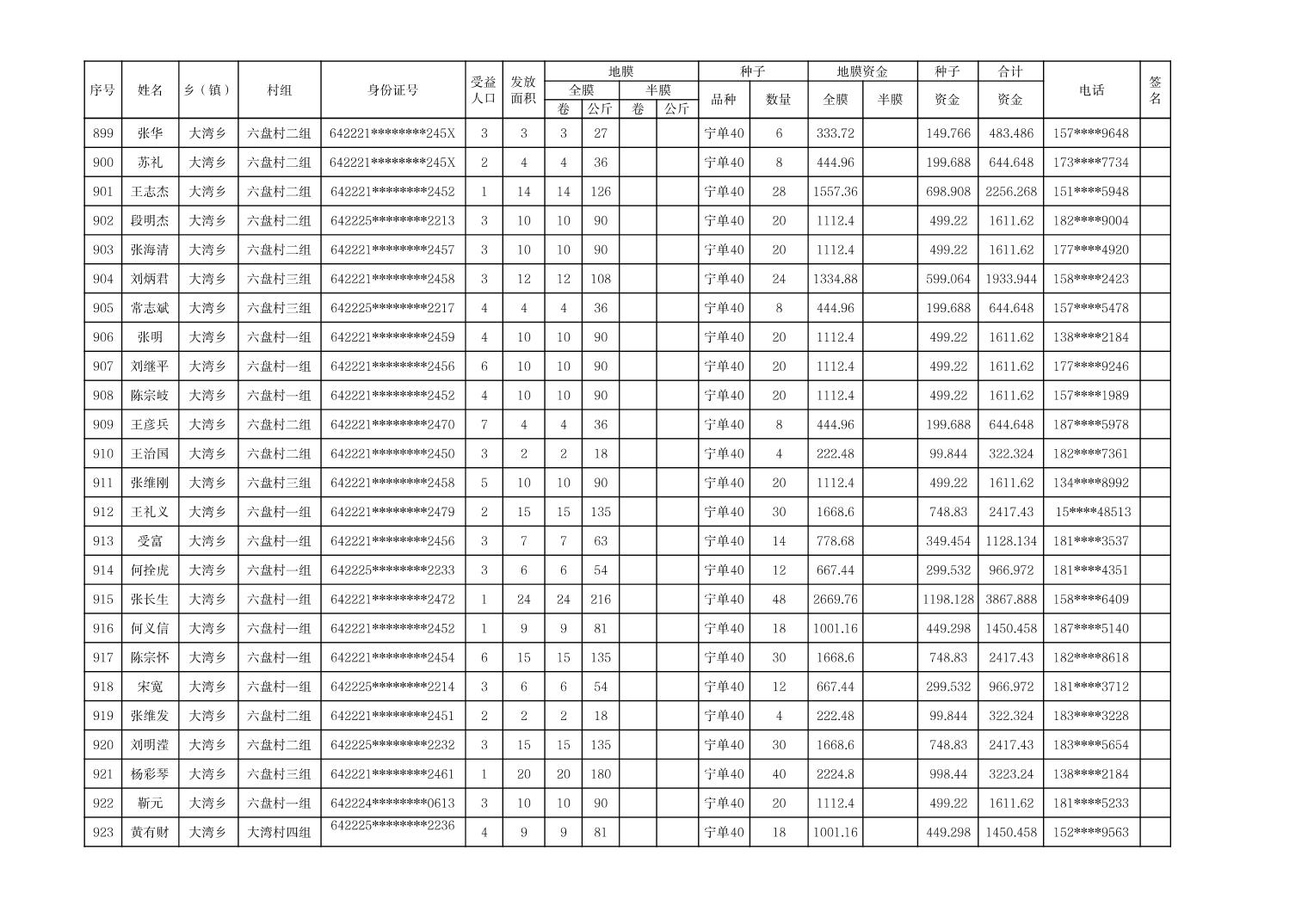
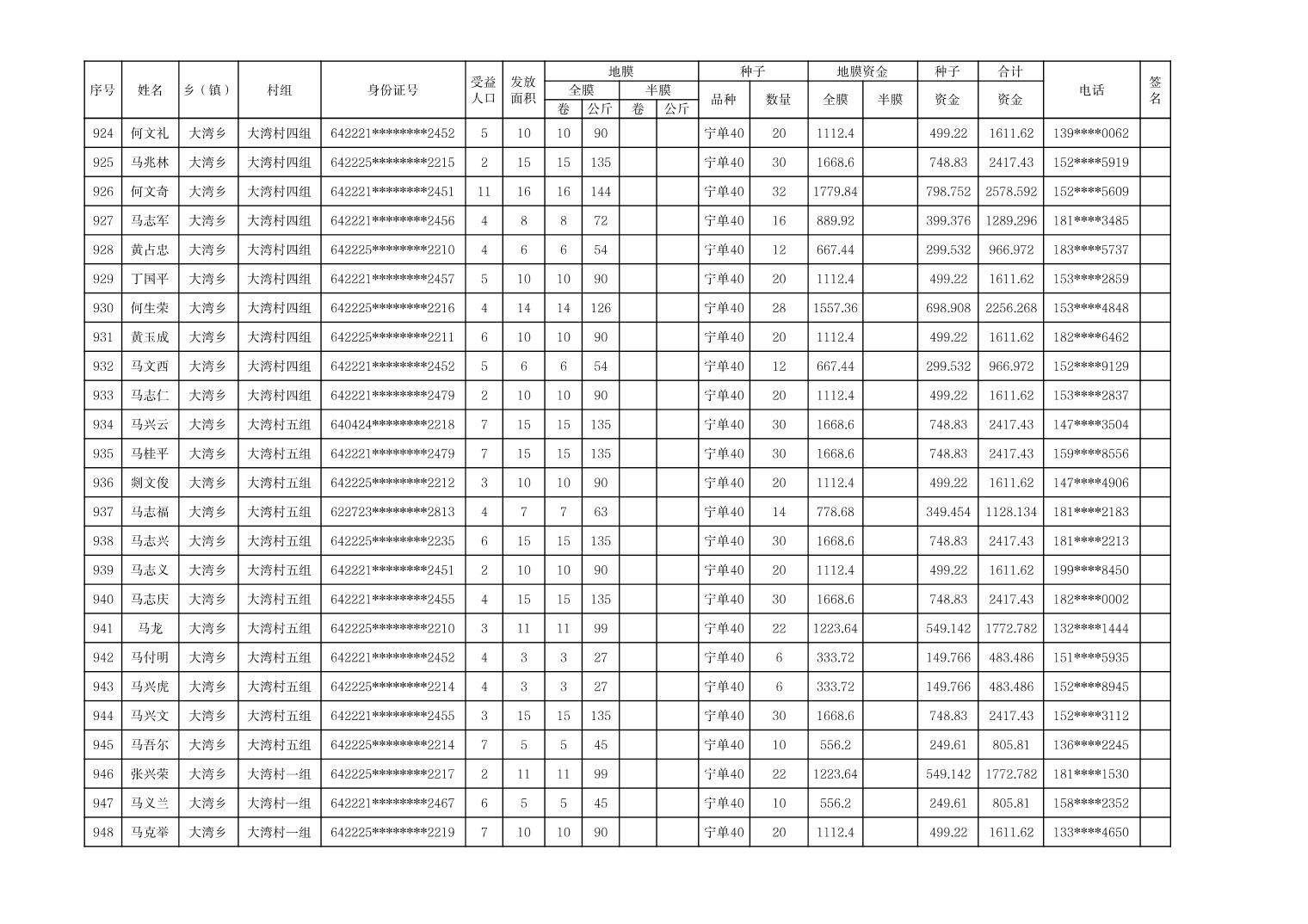
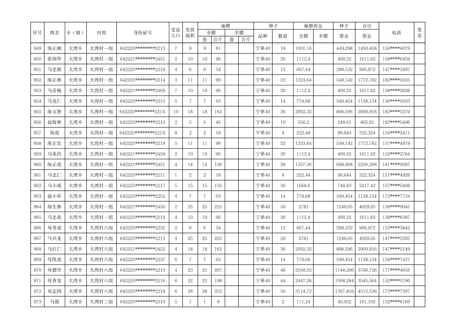
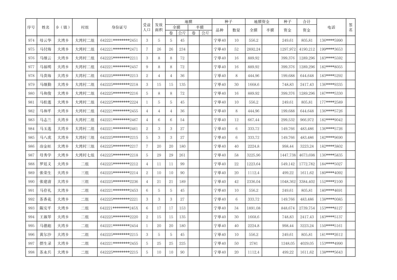
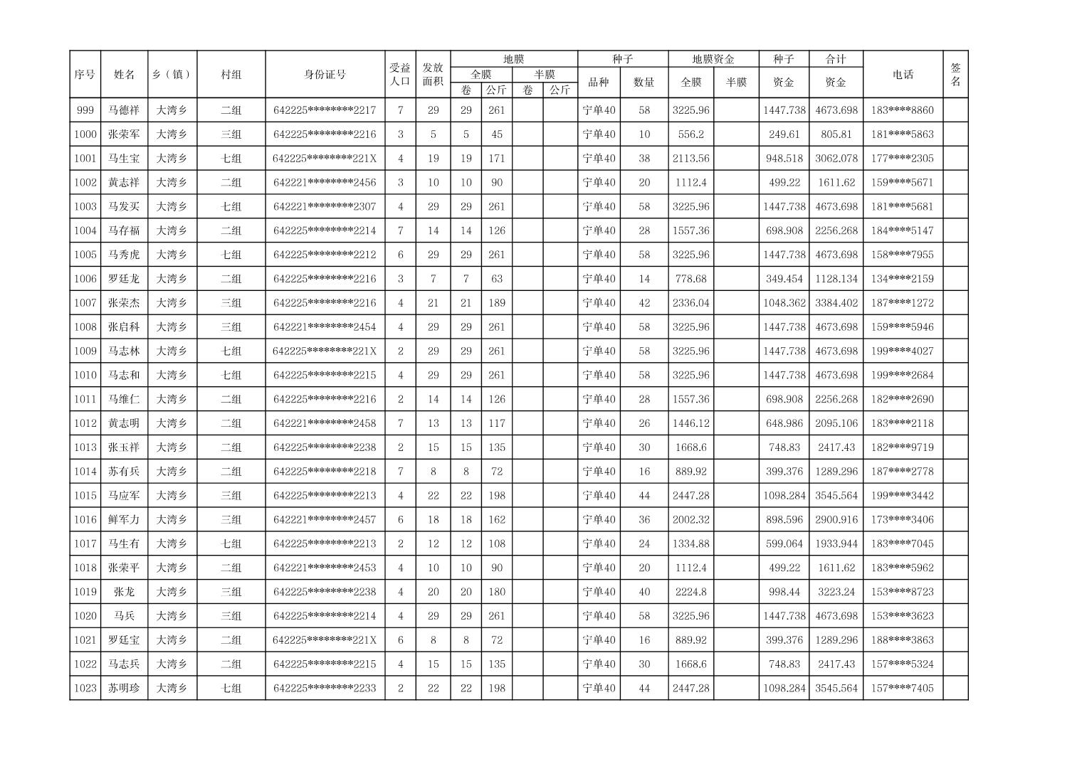
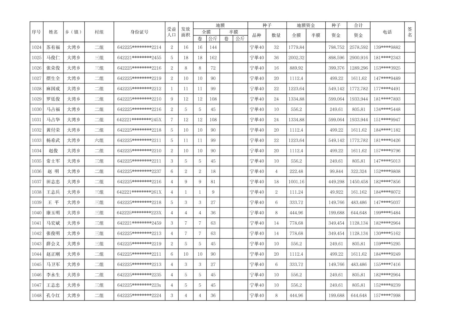
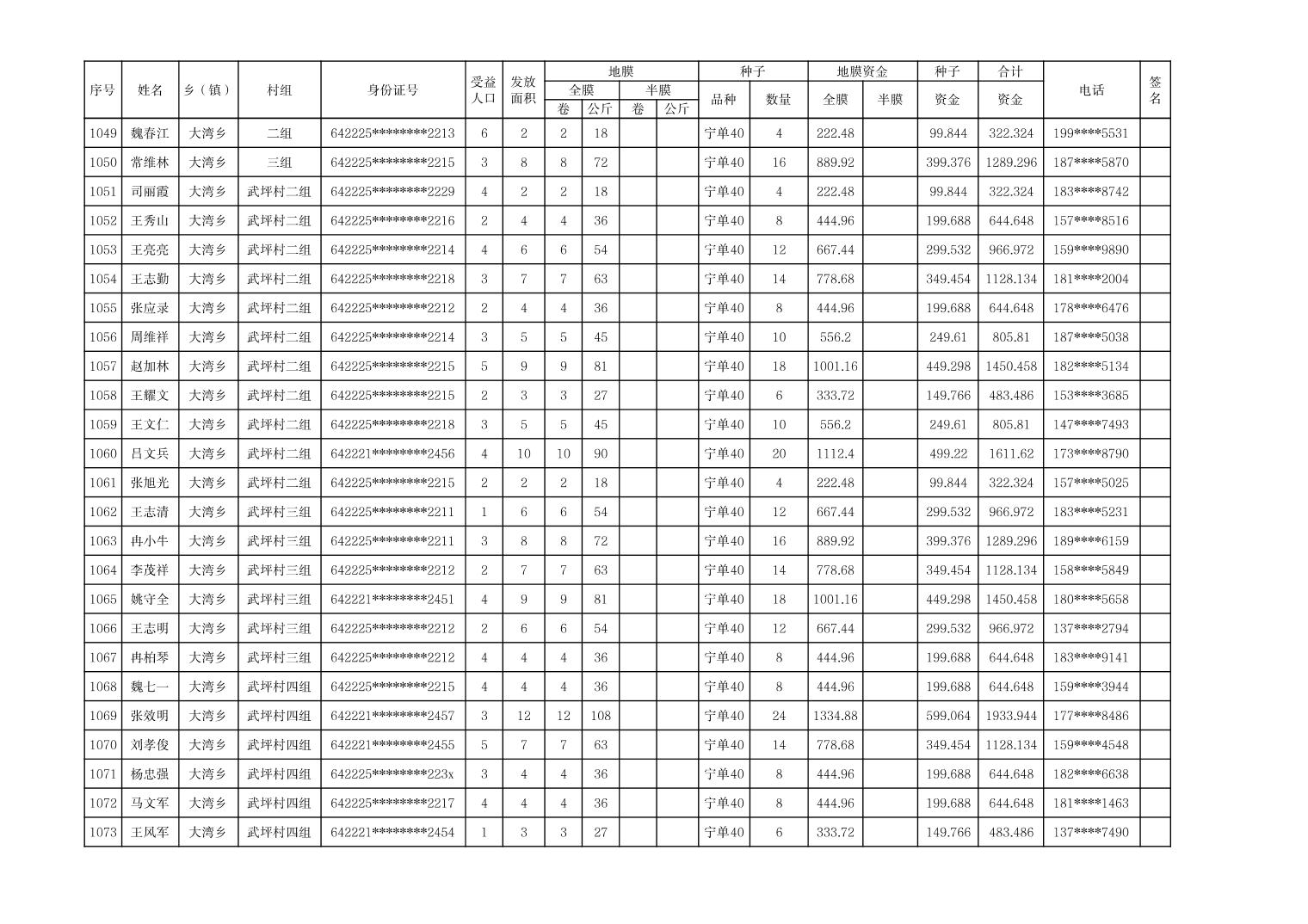
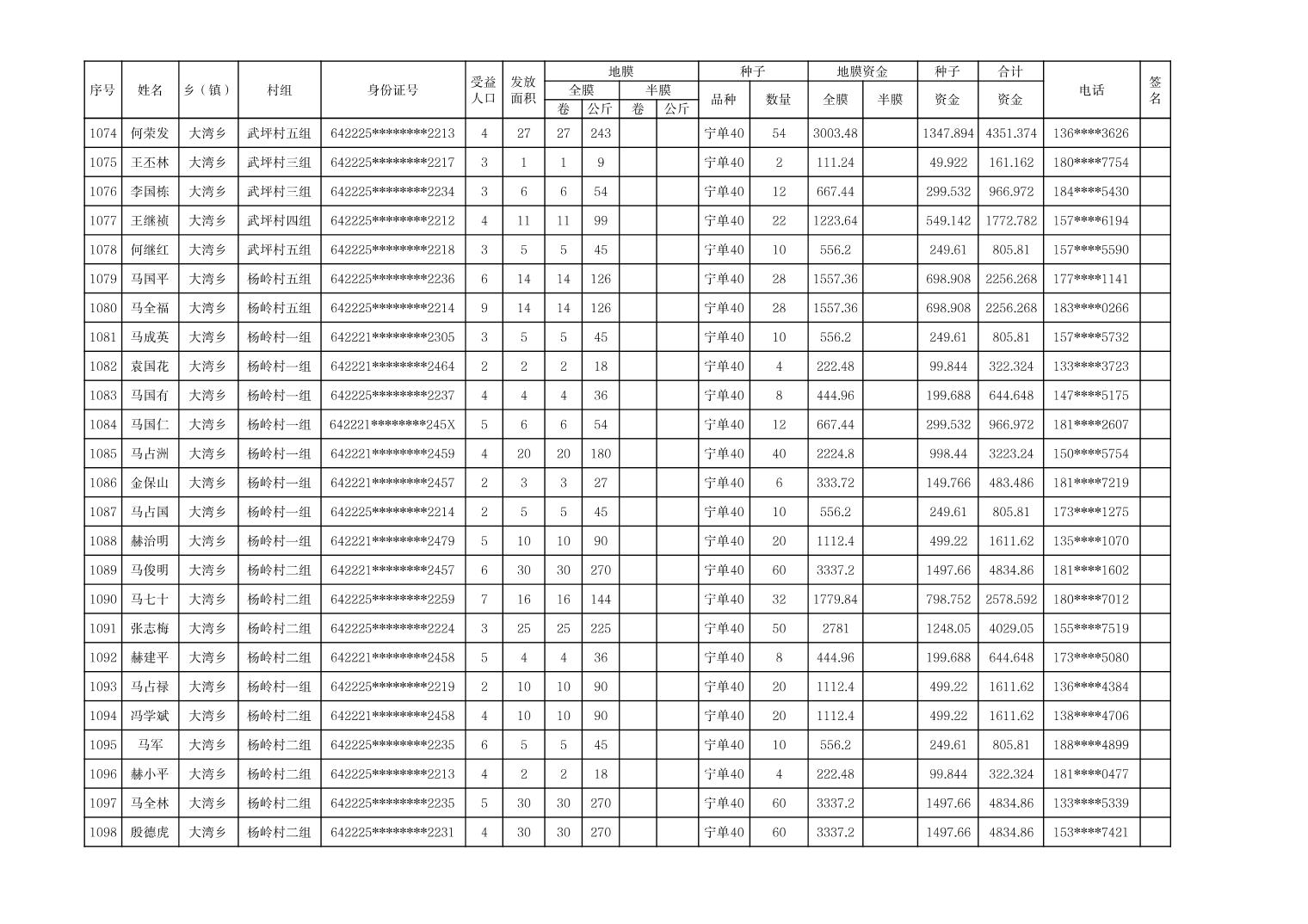
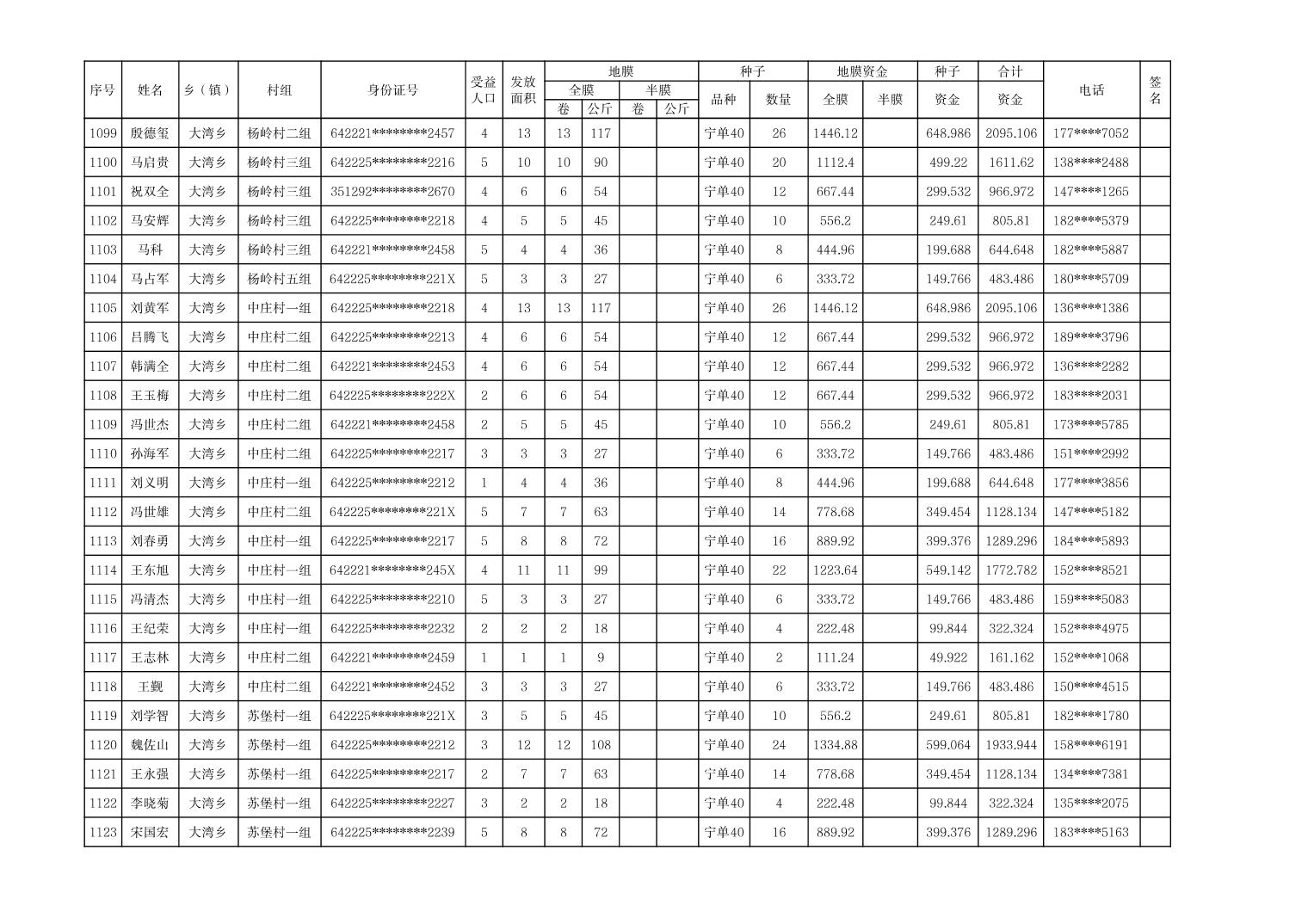
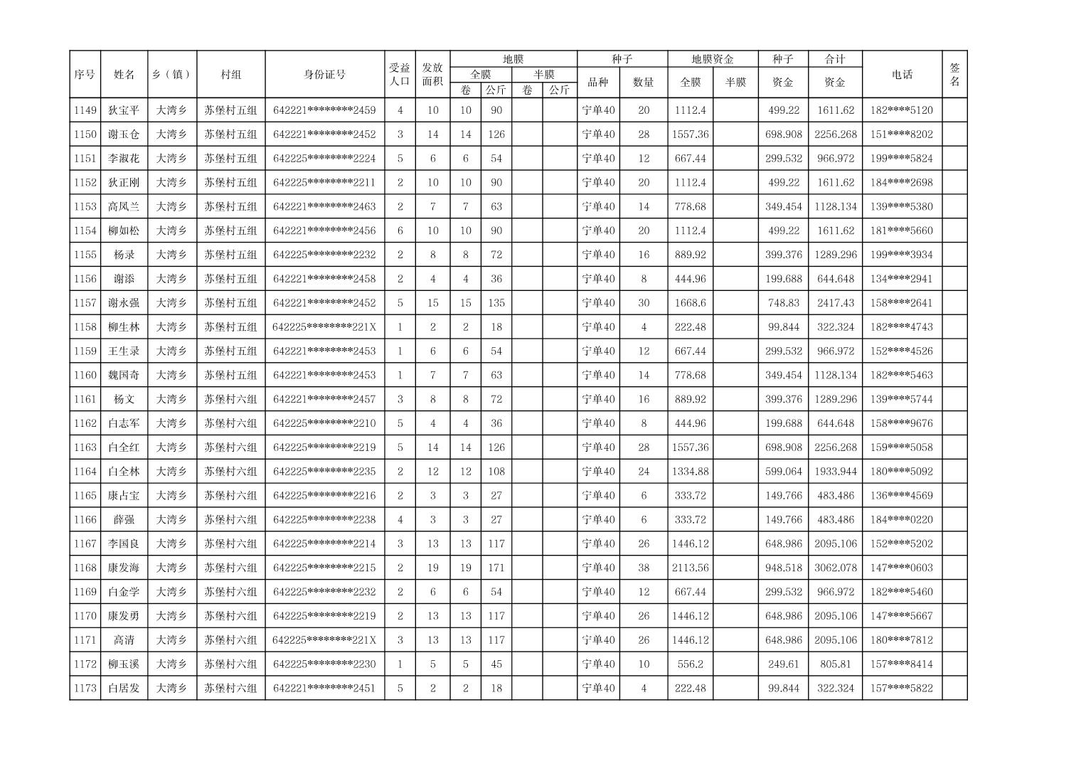
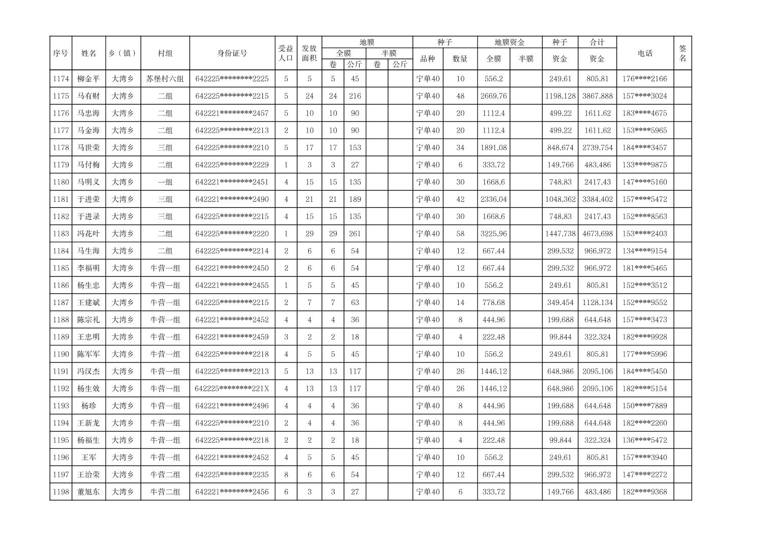
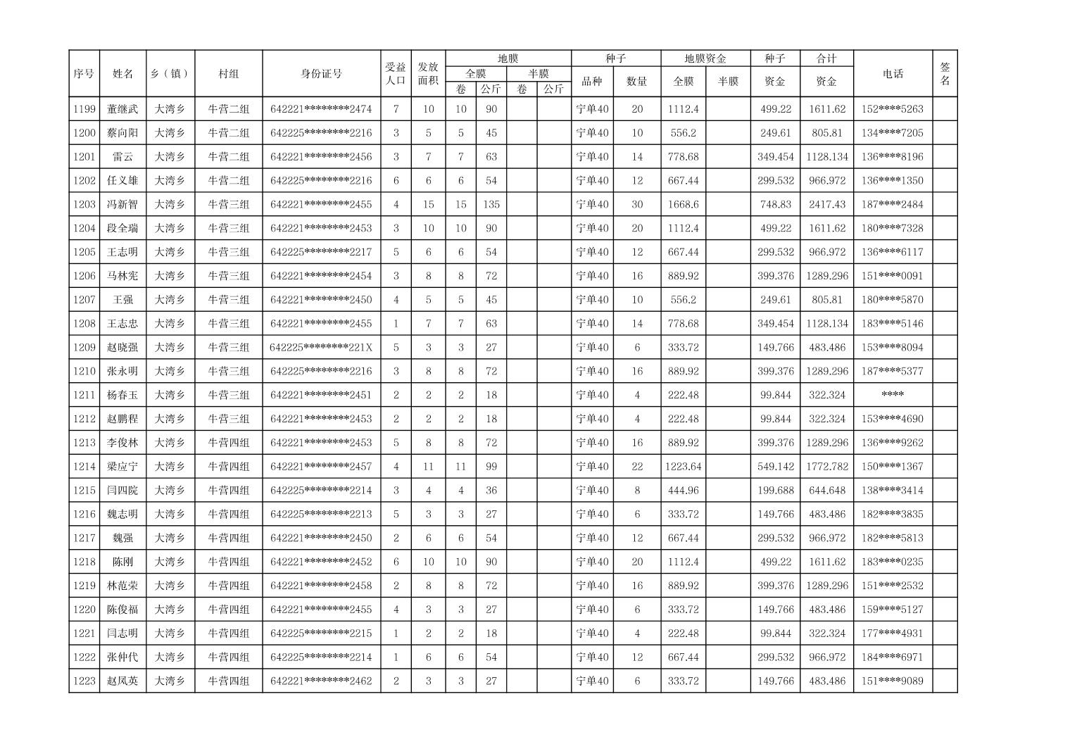
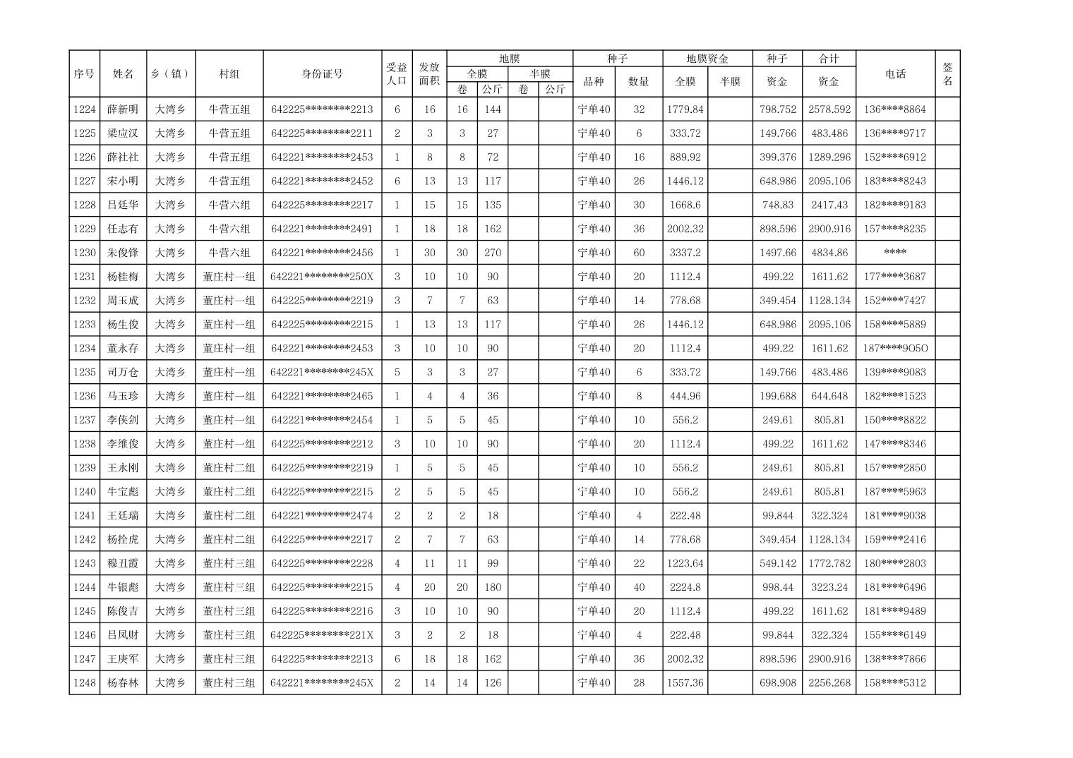
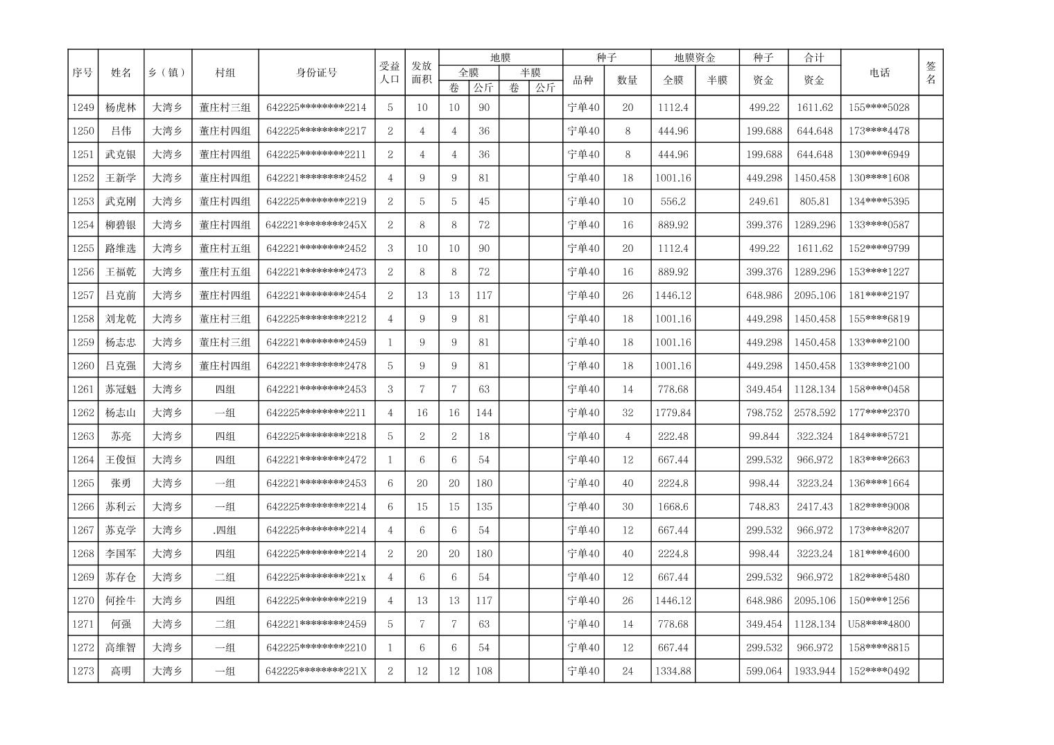
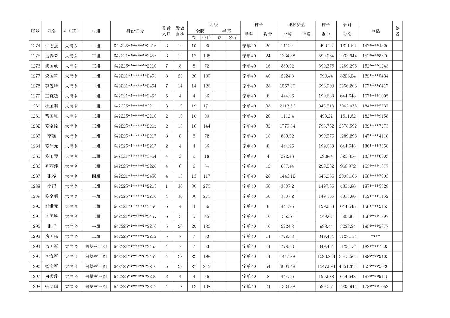
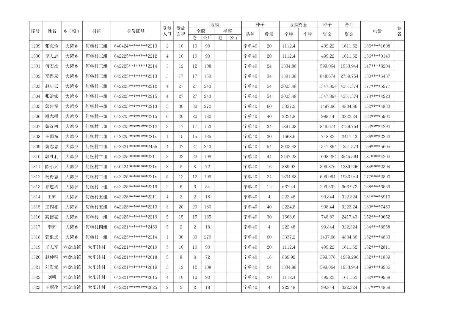
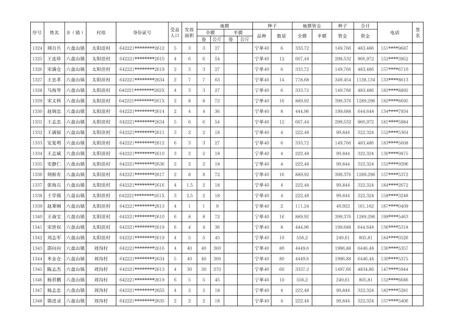
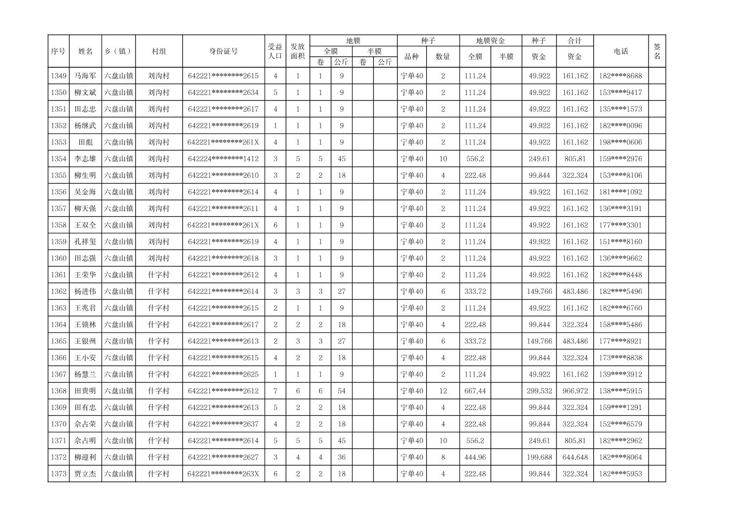
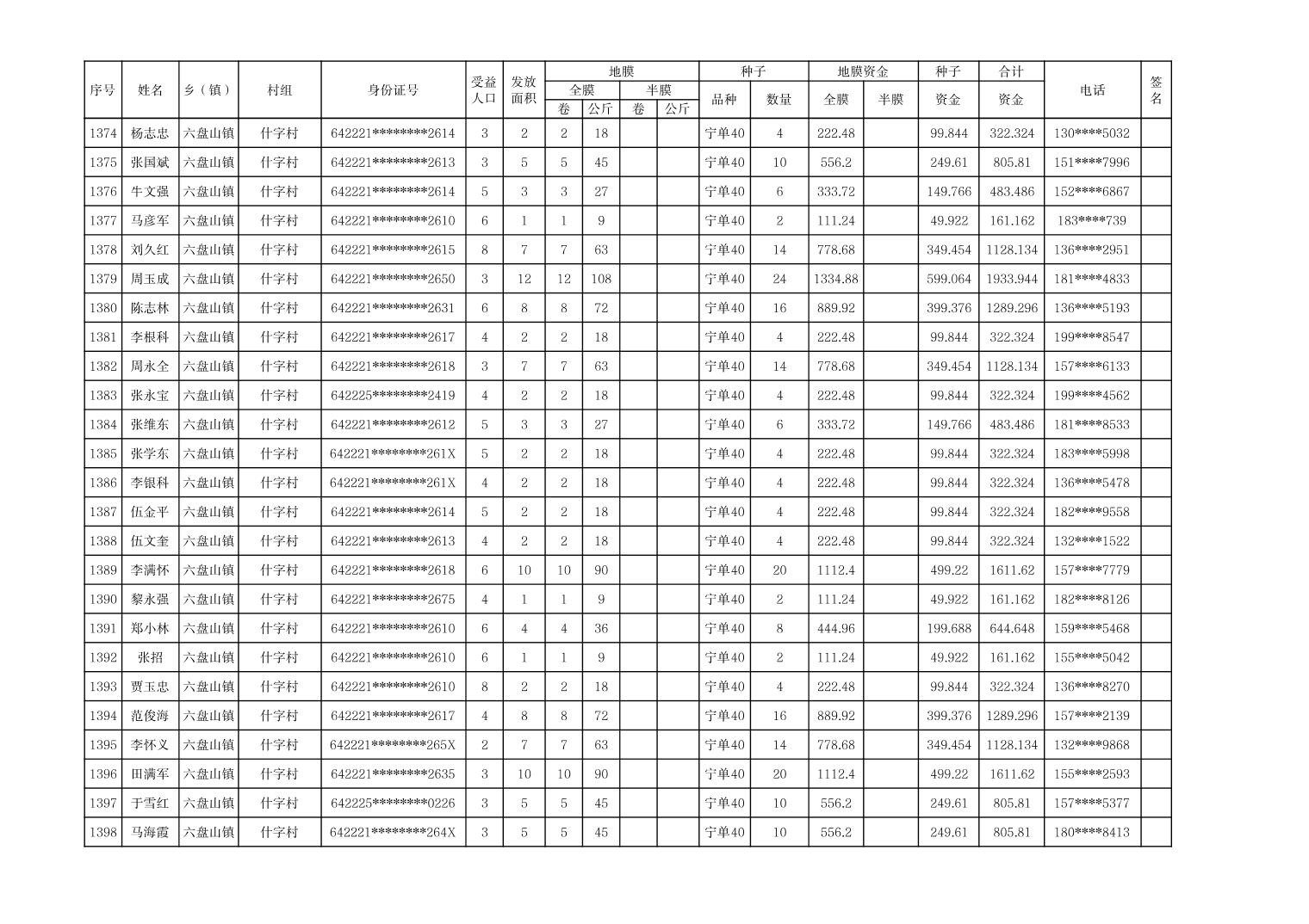
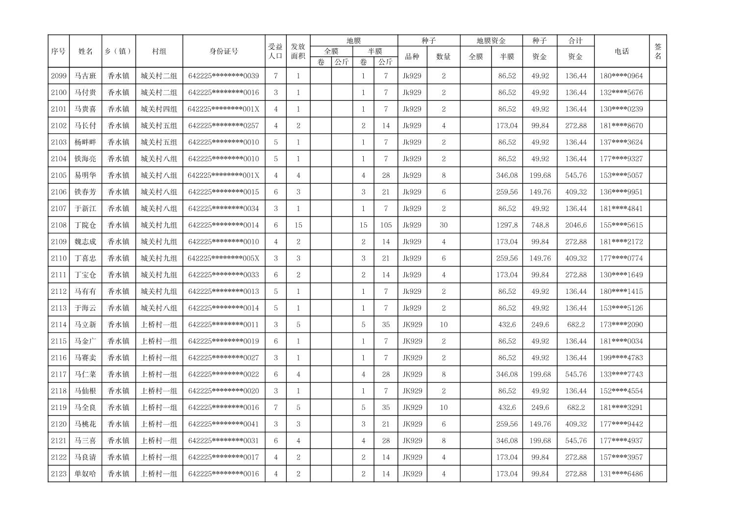
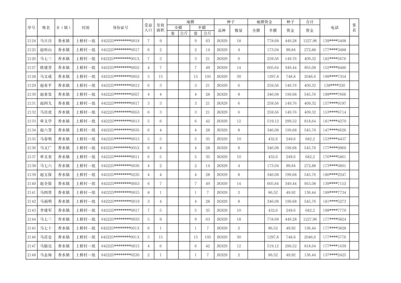
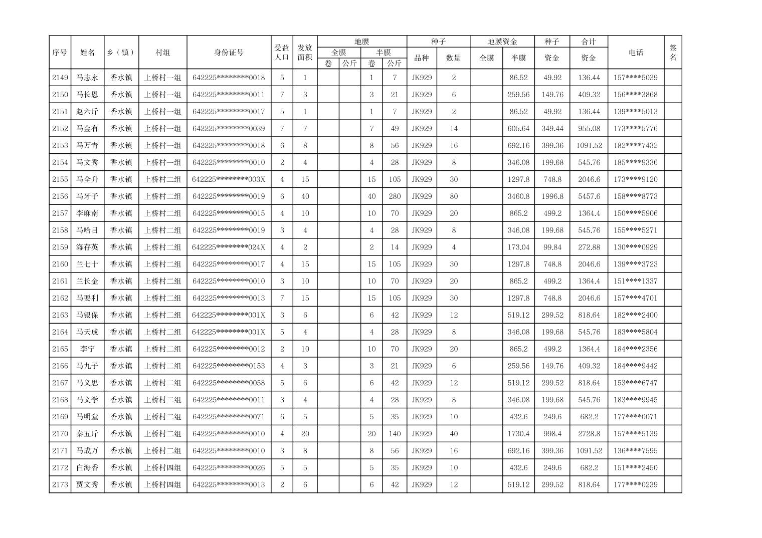
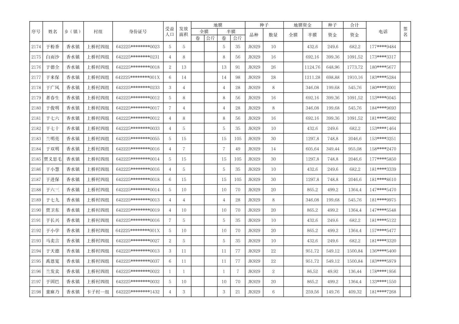
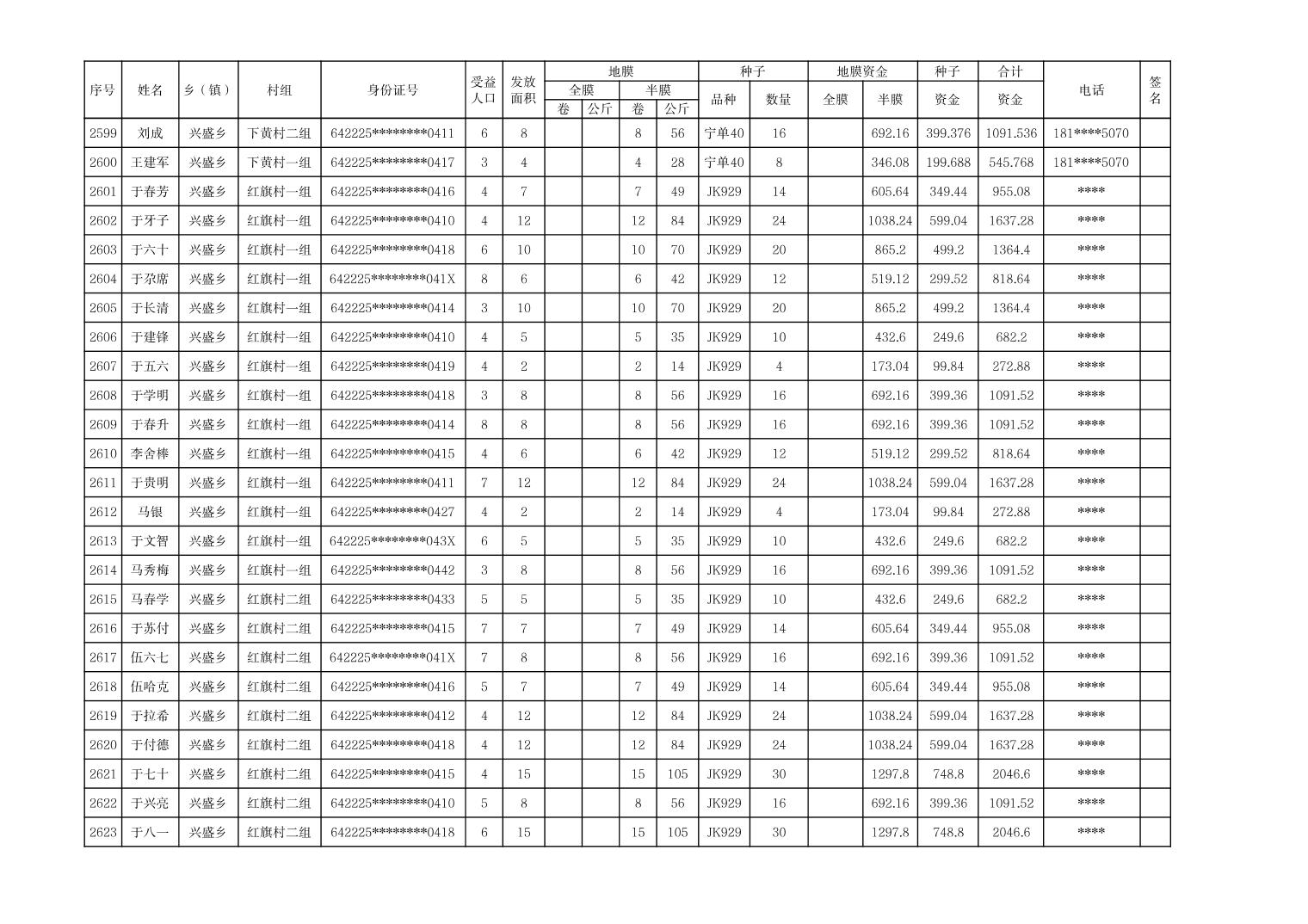
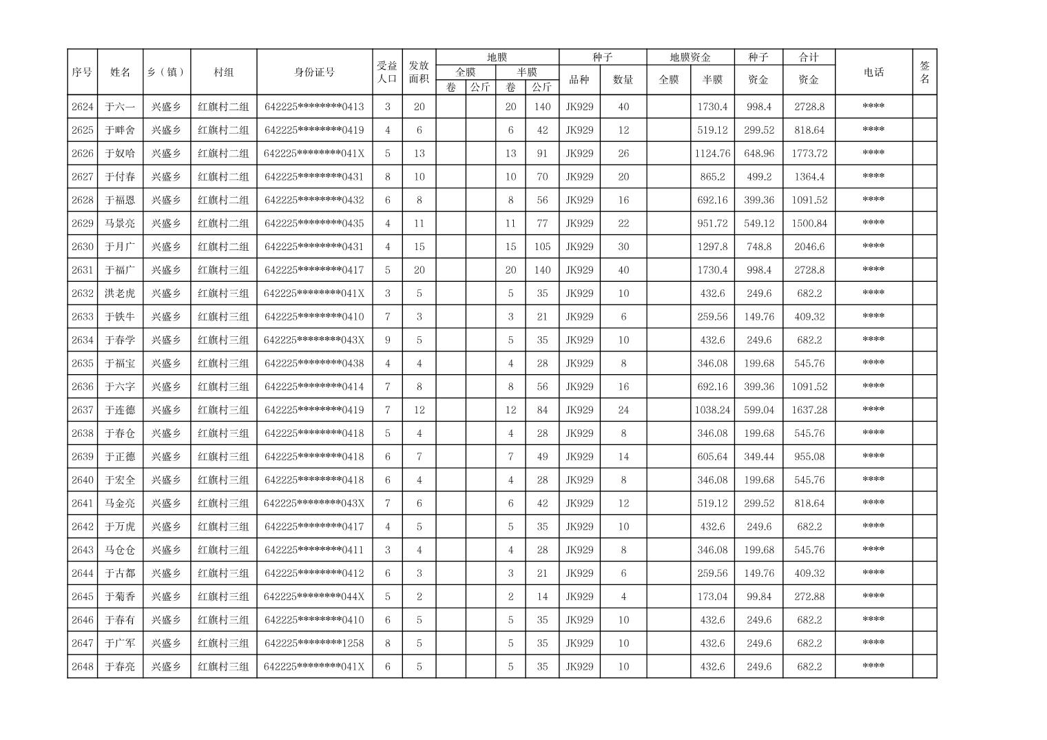
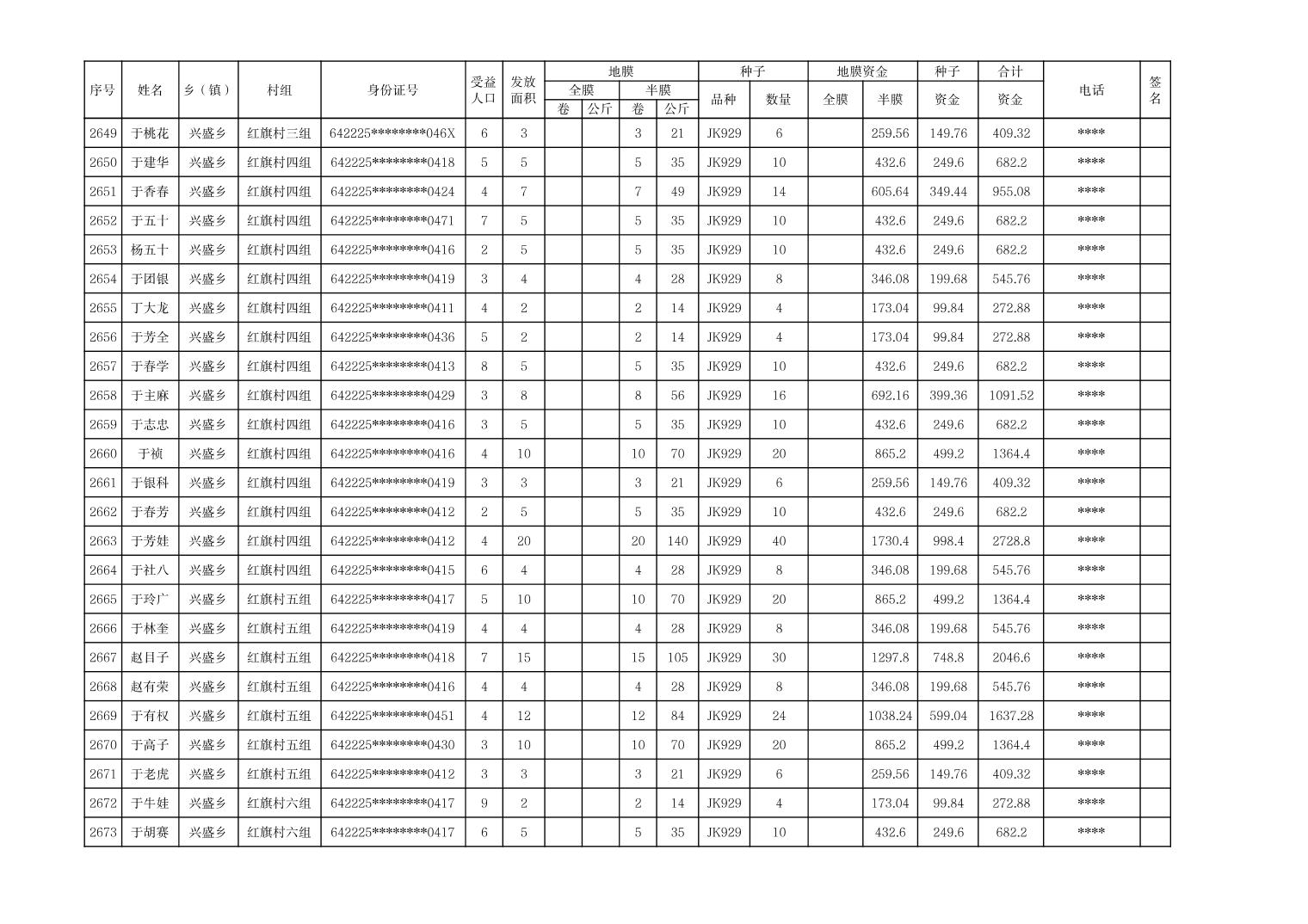
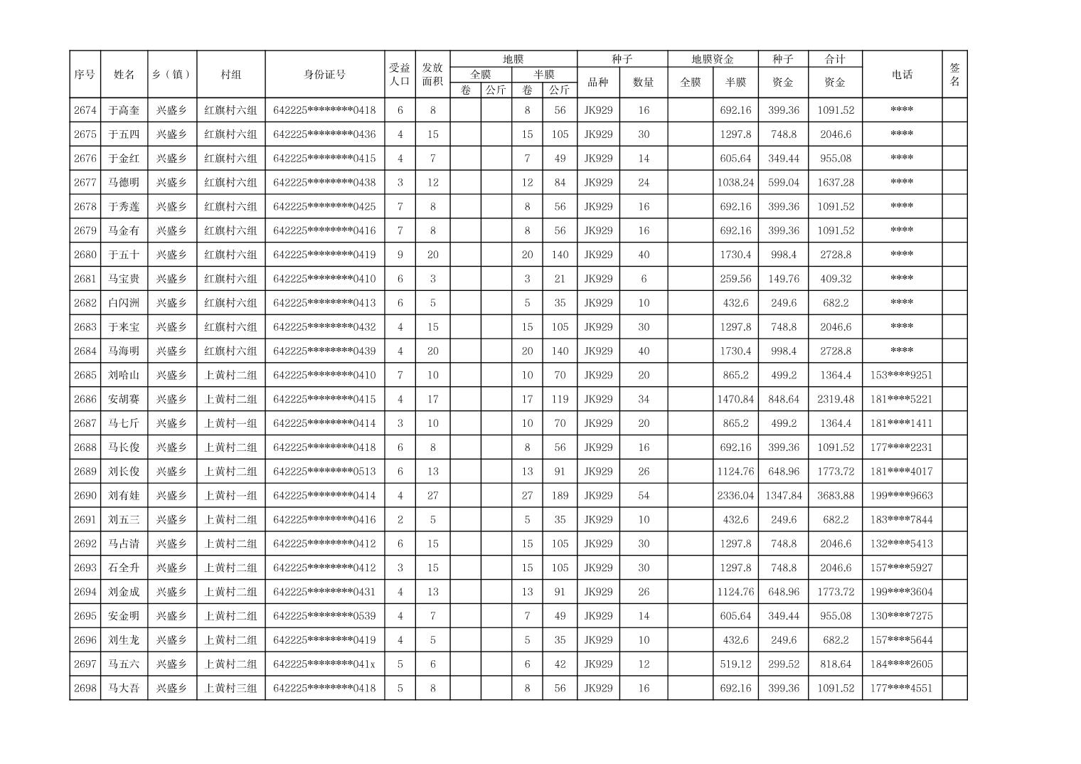
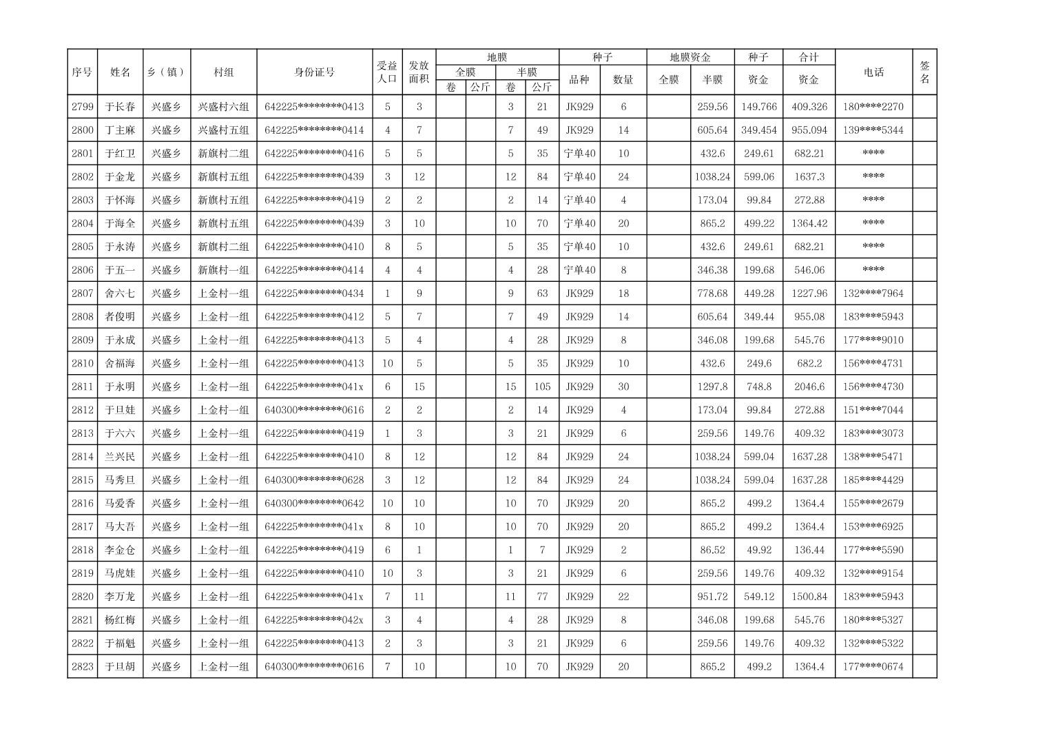
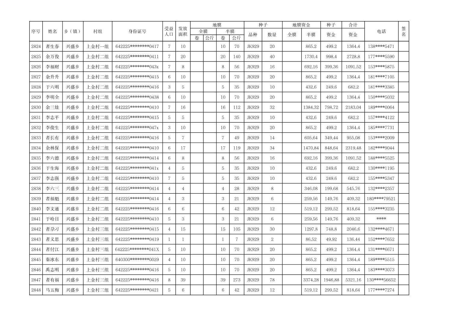
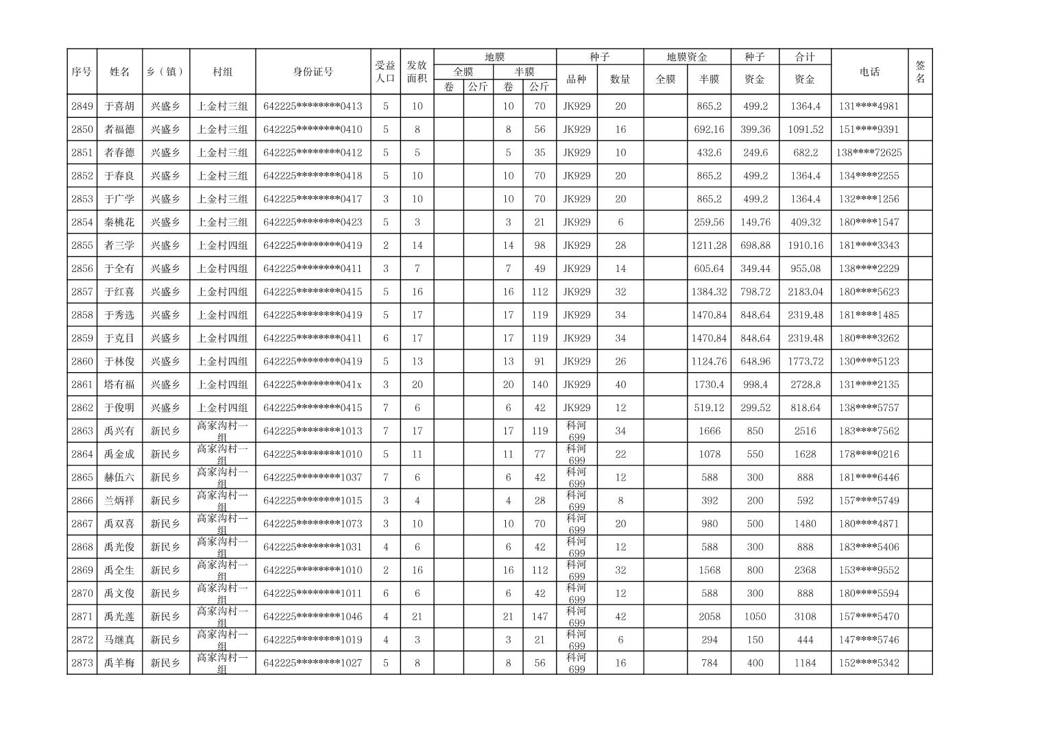
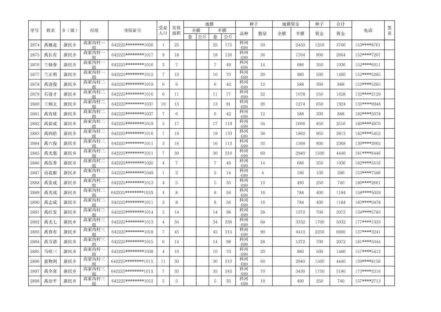
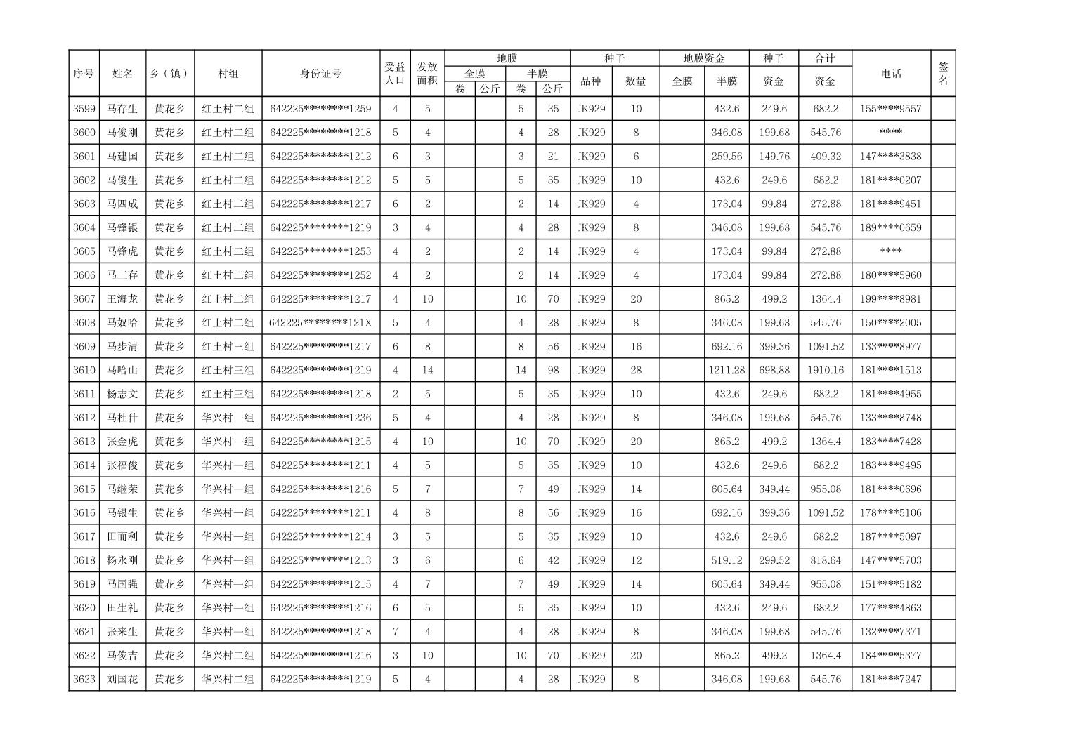
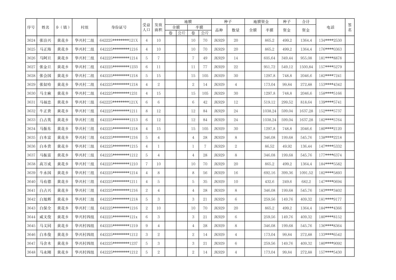
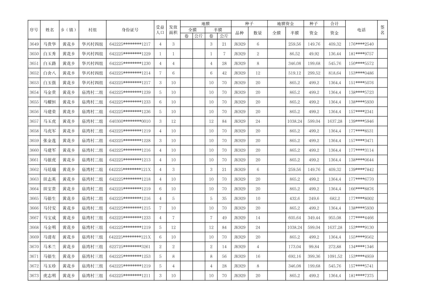
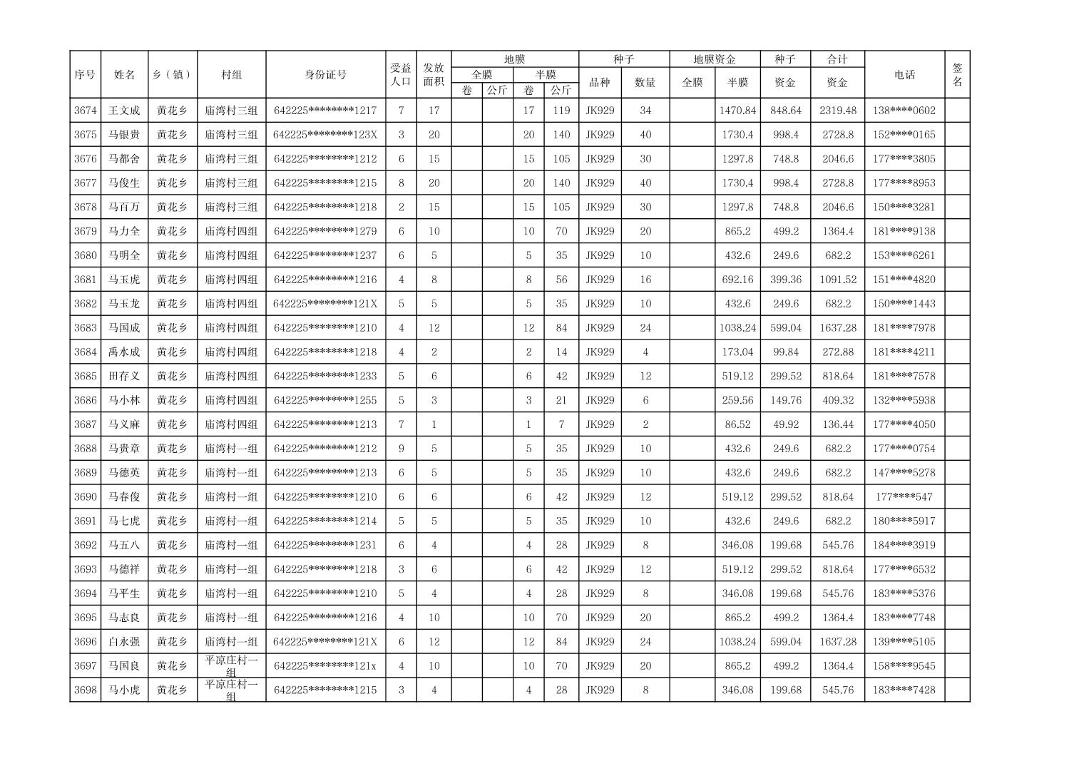
2.泾源县2023年优质高产高效玉米种植花名册
泾源县农业农村局
农业技术推广服务中心
2023年6月24日
附表1:
泾源县2023年优质高产高效玉米种植验收汇总表
乡镇 | 行政村 (个) | 上报面积 | 抽验实际 面积 | 抽验比例 (%) | 完成率 (%) | 确认面积 | 备注 |
大湾乡 | 13 | 19629 | 6999.7 | 35.7 | 98.0 | 19629 | |
六盘山镇 | 16 | 8027 | 2510.5 | 31.3 | 98.6 | 8027 | |
香水镇 | 16 | 9296 | 3110 | 33.4 | 99.8 | 9296 | |
黄花乡 | 11 | 7371 | 2262 | 30.7 | 98.7 | 7371 | |
兴盛乡 | 9 | 10774 | 3481 | 32.3 | 99.2 | 10774 | |
泾河源镇 | 18 | 17505 | 6628.9 | 37.9 | 100.02 | 17505 | |
新民乡 | 11 | 14431 | 4475 | 30.6 | 98.6 | 14431 | |
合计 | 94 | 87033 | 29467.1 | 33.13 | 98.99 | 87033 |

























































































































































































































































































































































































扫一扫在手机上查看当前页面