根据宁夏回族自治区财政厅关于印发《宁夏回族自治区财政农业保险保费补贴管理实施办法》)的通知(宁财规发[2022]2号)文件要求,及泾源县人民政府办公室关于印发《泾源县 2022年-2024年政策性农业保险实施方案》的通知(泾政办发[2022]39号)文件精神,现对全县2023年第一、二季度农业保险保费补贴结果进行公示。
公示时间为2023年9月2日至9月11日,共计10天。公示期间如对验收结果有异议,可通过电话、来信、来访等方式向泾源县畜牧技术推广服务中心反映,反映情况要实事求是、署真实姓名,以便调查核实。
举报地址:泾源县畜牧技术推广服务中心综合办公室
举报电话:0954-5011478
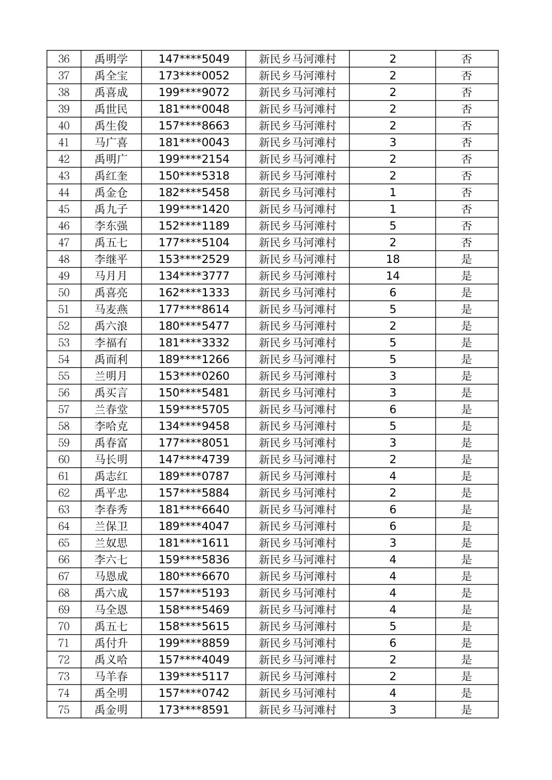
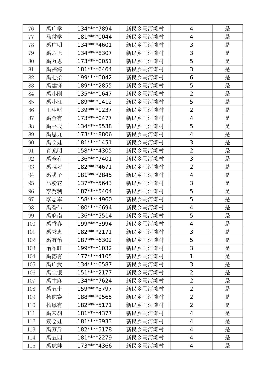
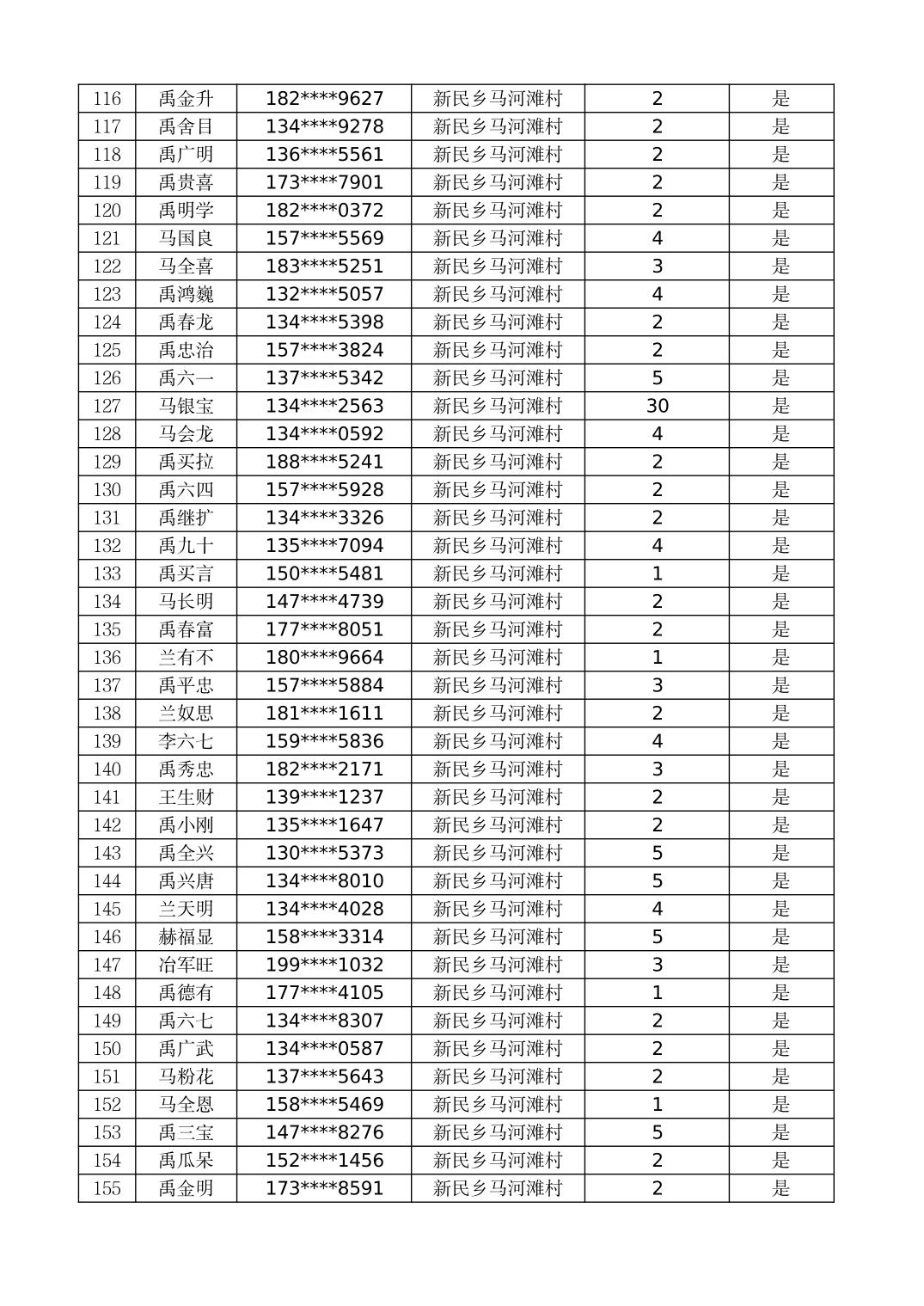
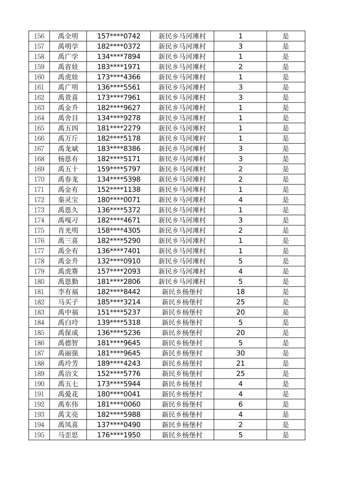
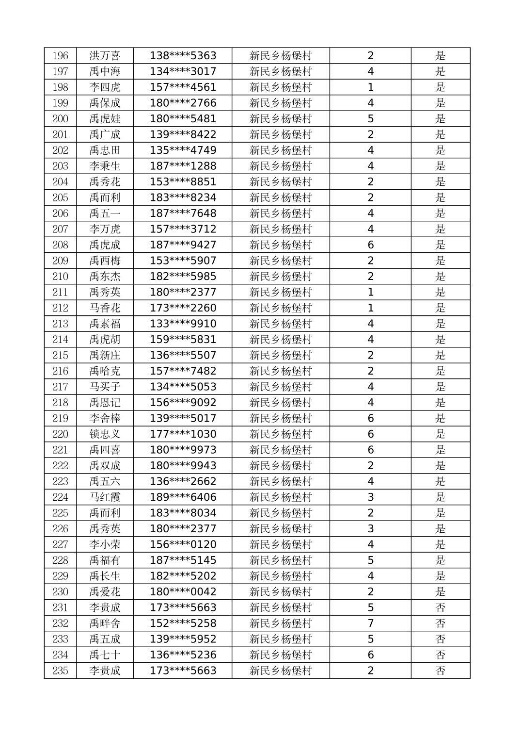
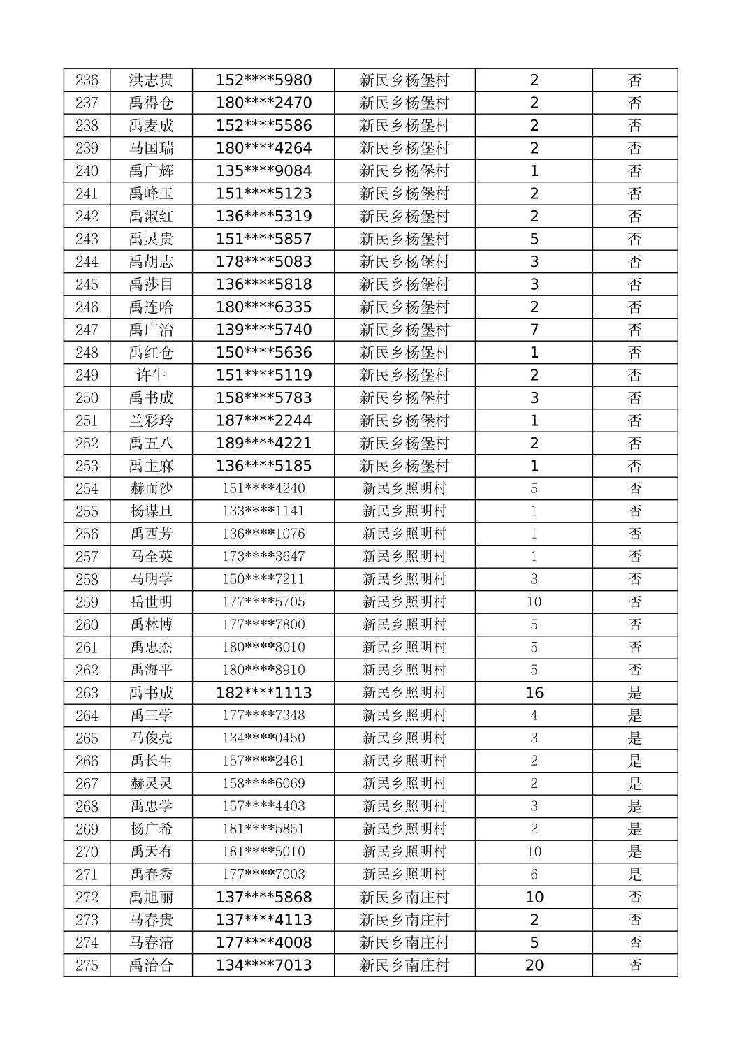
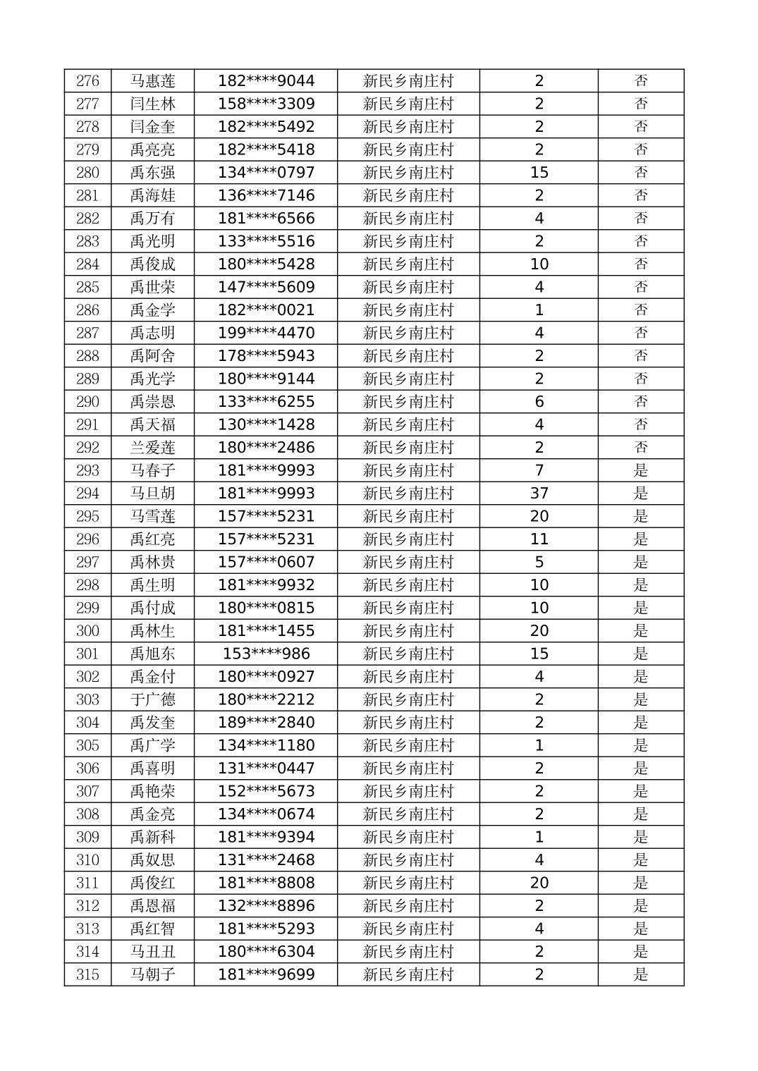
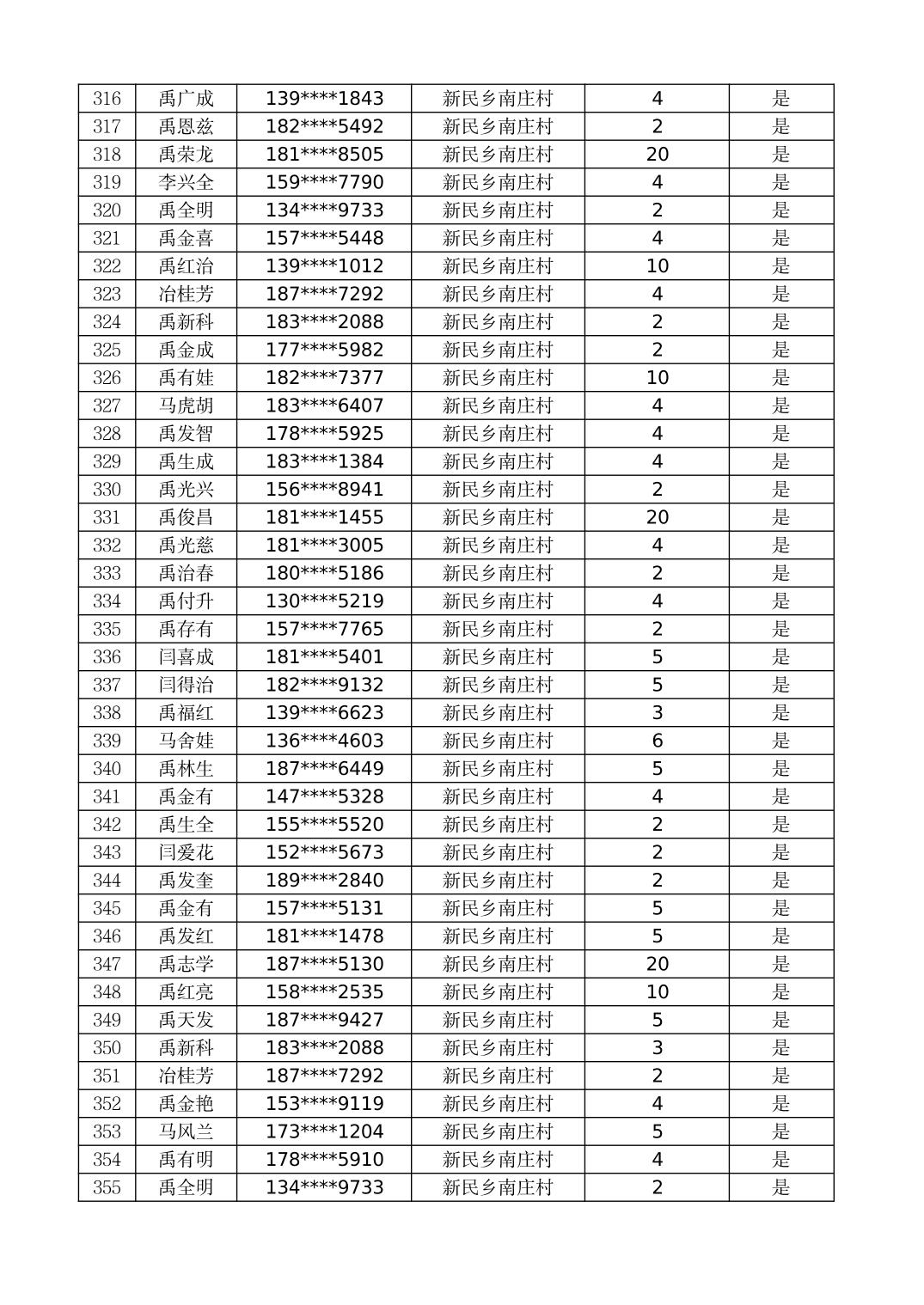
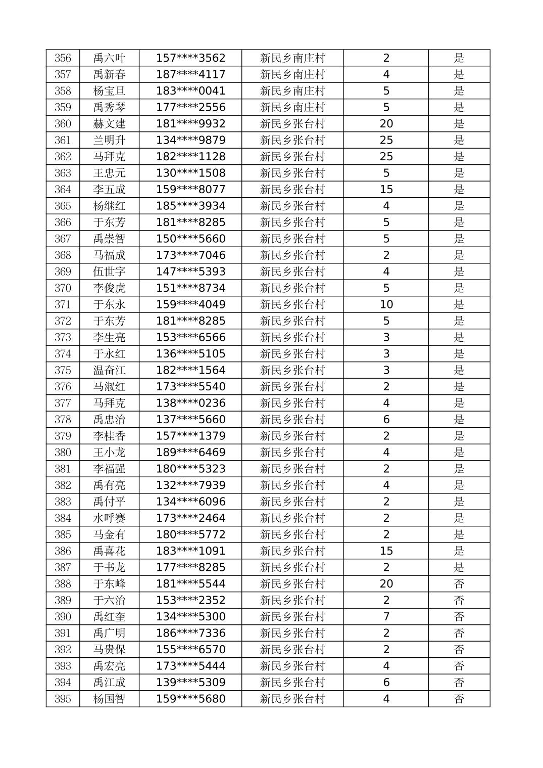
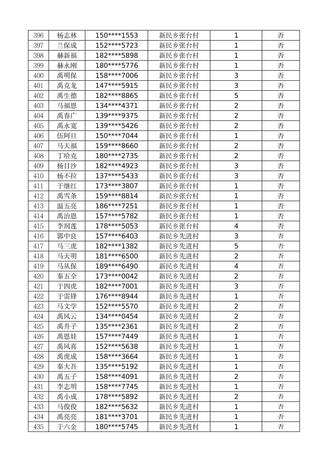
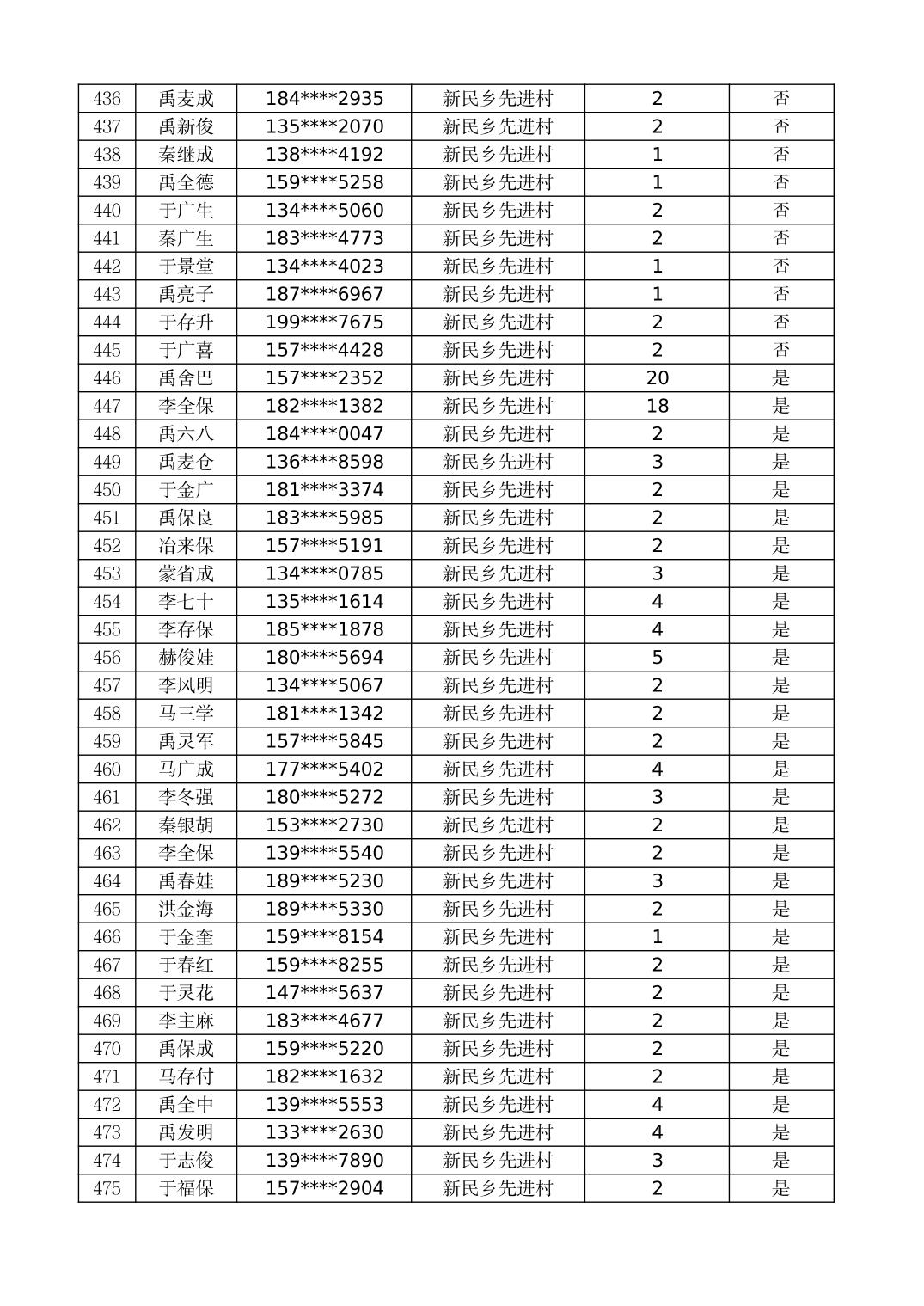
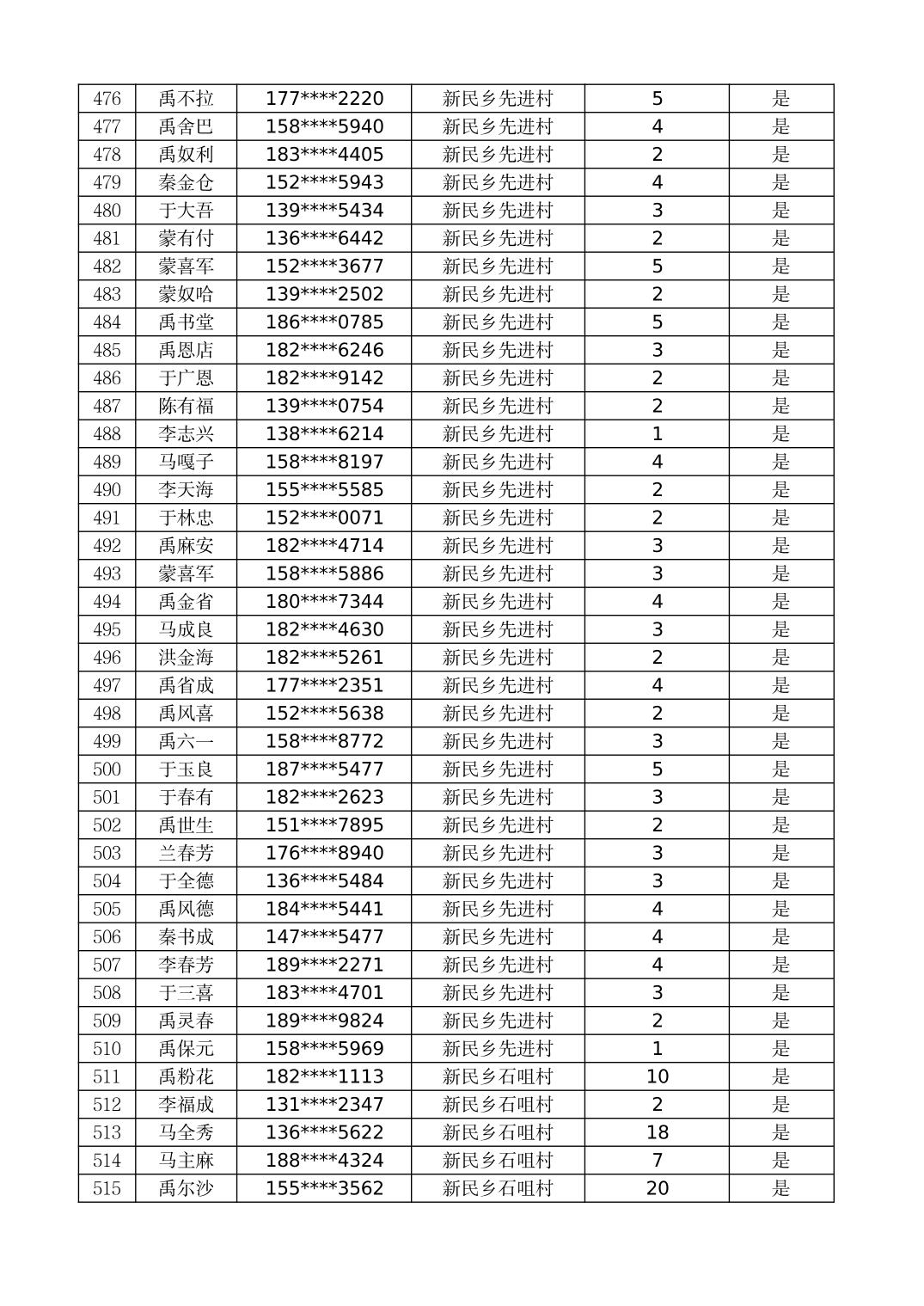
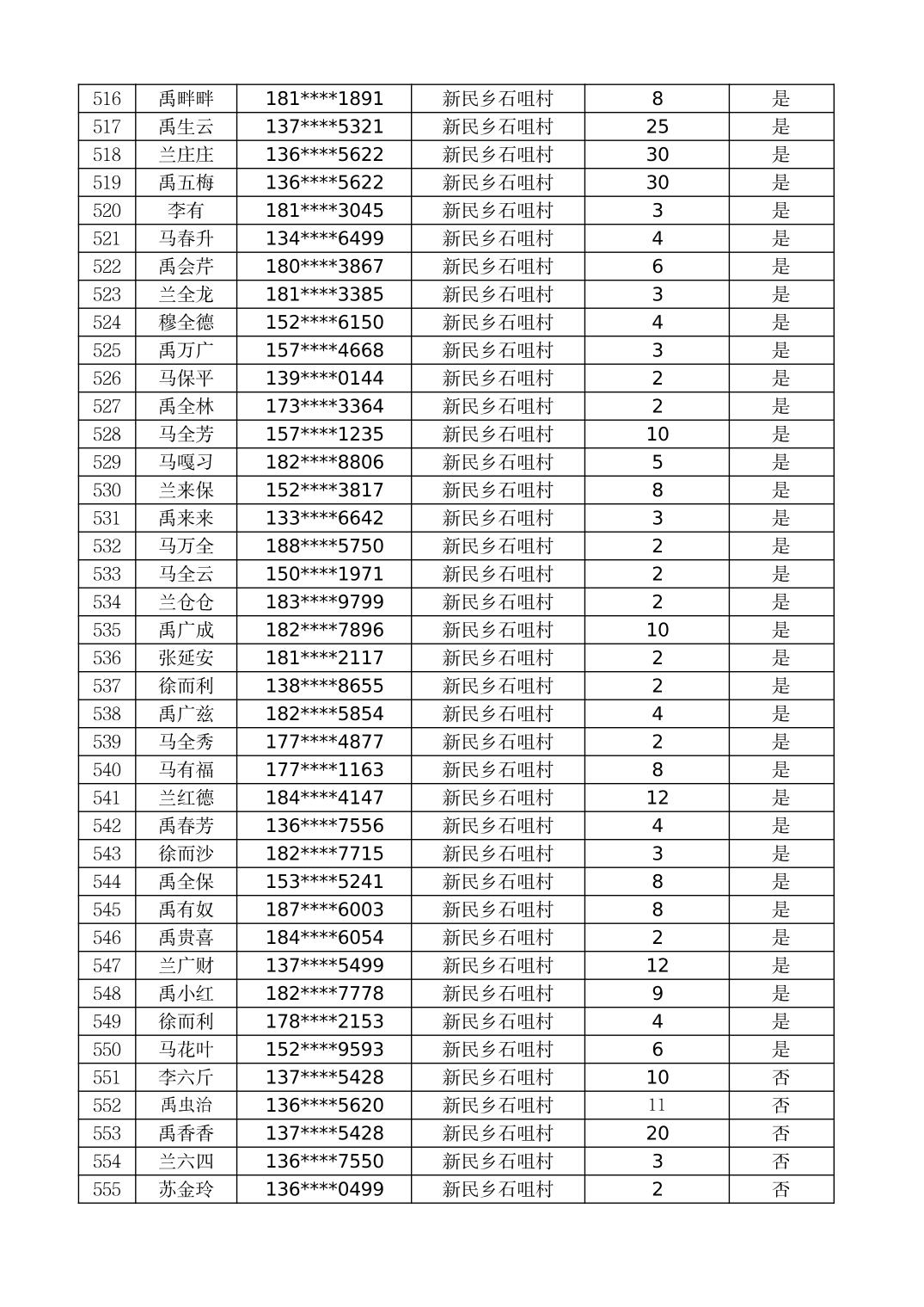
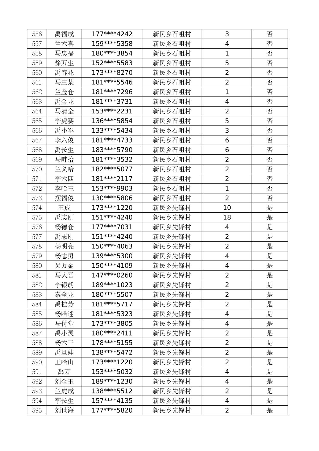
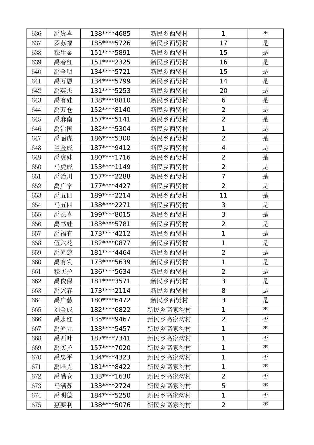
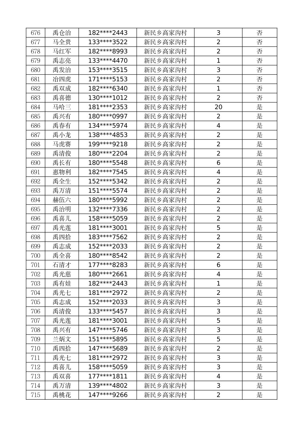
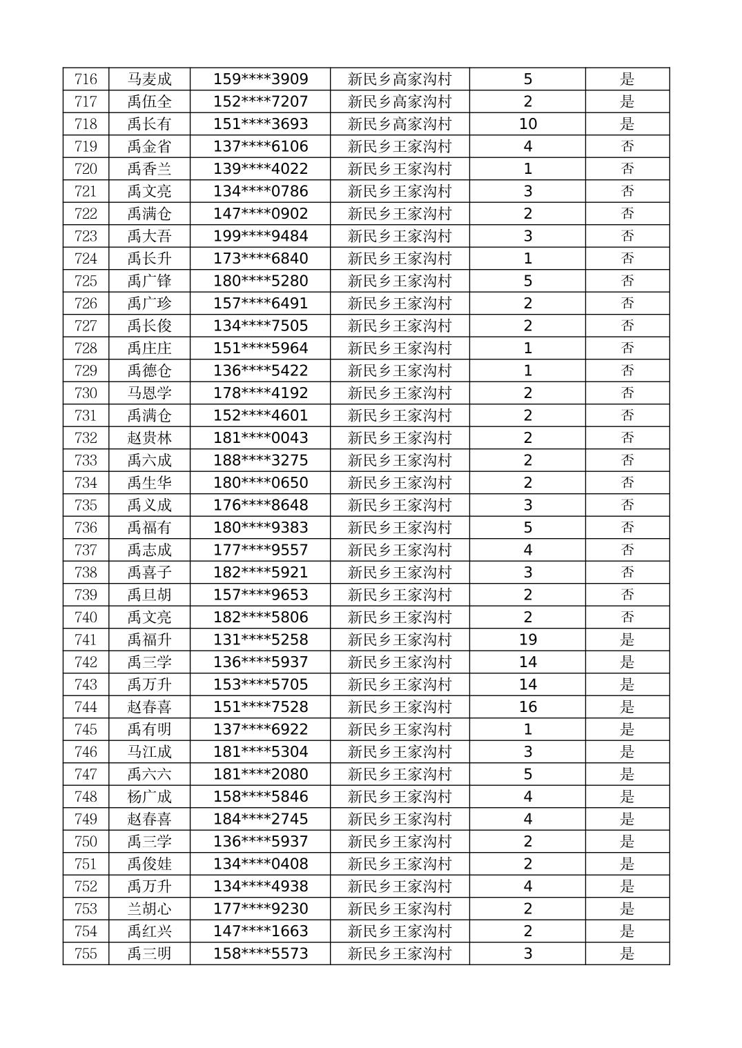
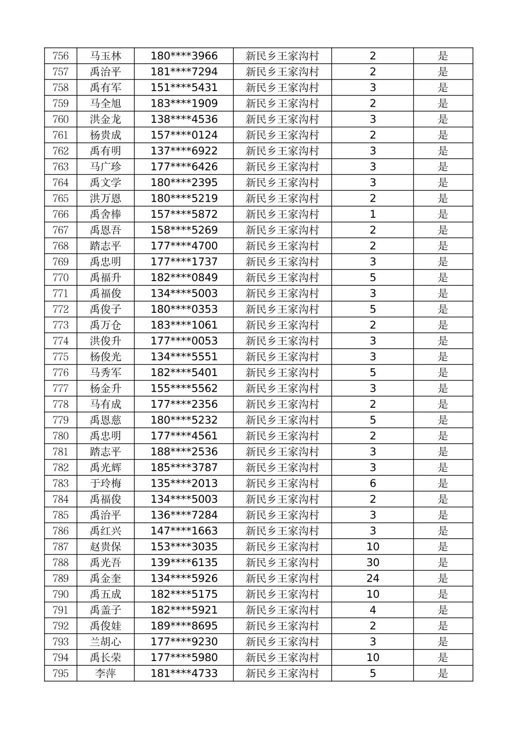
附:泾源县2023年第一、二季度政策性保险投保情况公示花名册
泾源县畜牧技术推广服务中心
2023年9月2日






















扫一扫在手机上查看当前页面
国家及部委网站
各省区市政府网站
自治区各部门网站
宁夏各市县政府网站
新闻媒体
主办:泾源县人民政府 承办:泾源县人民政府办公室 电话:0954-5670071 E-Mail:jyxzhfb@163.com
宁公网安备64042402000010号 宁ICP备15000055号 政府网站标识码:6404240001
