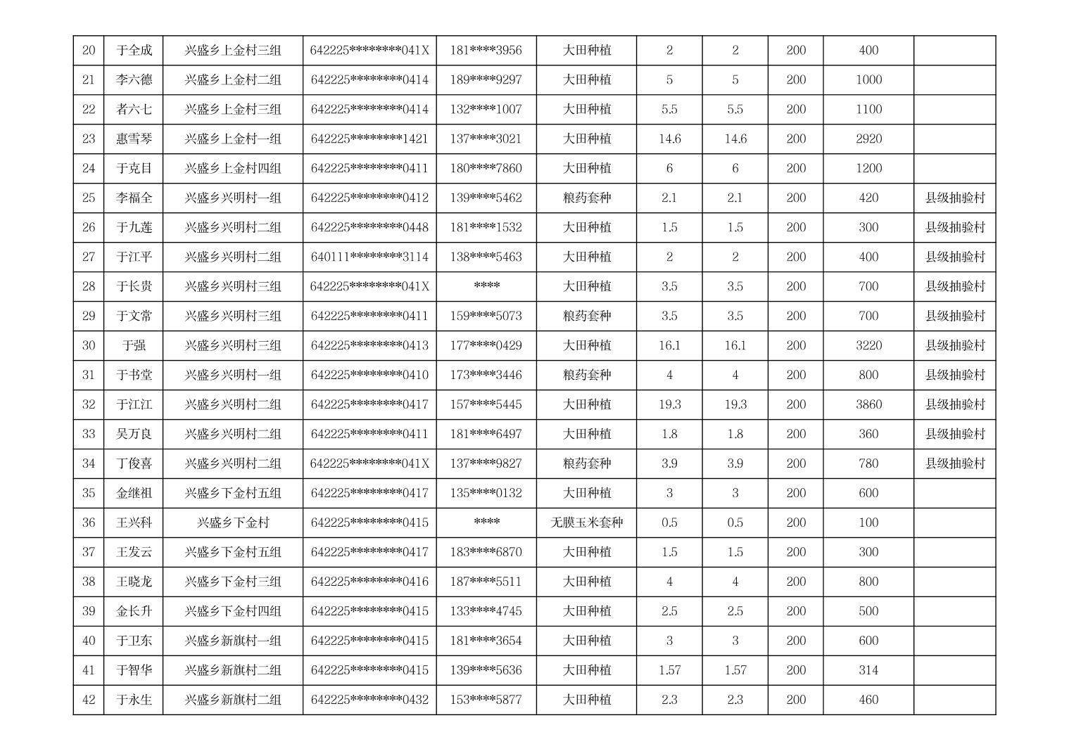
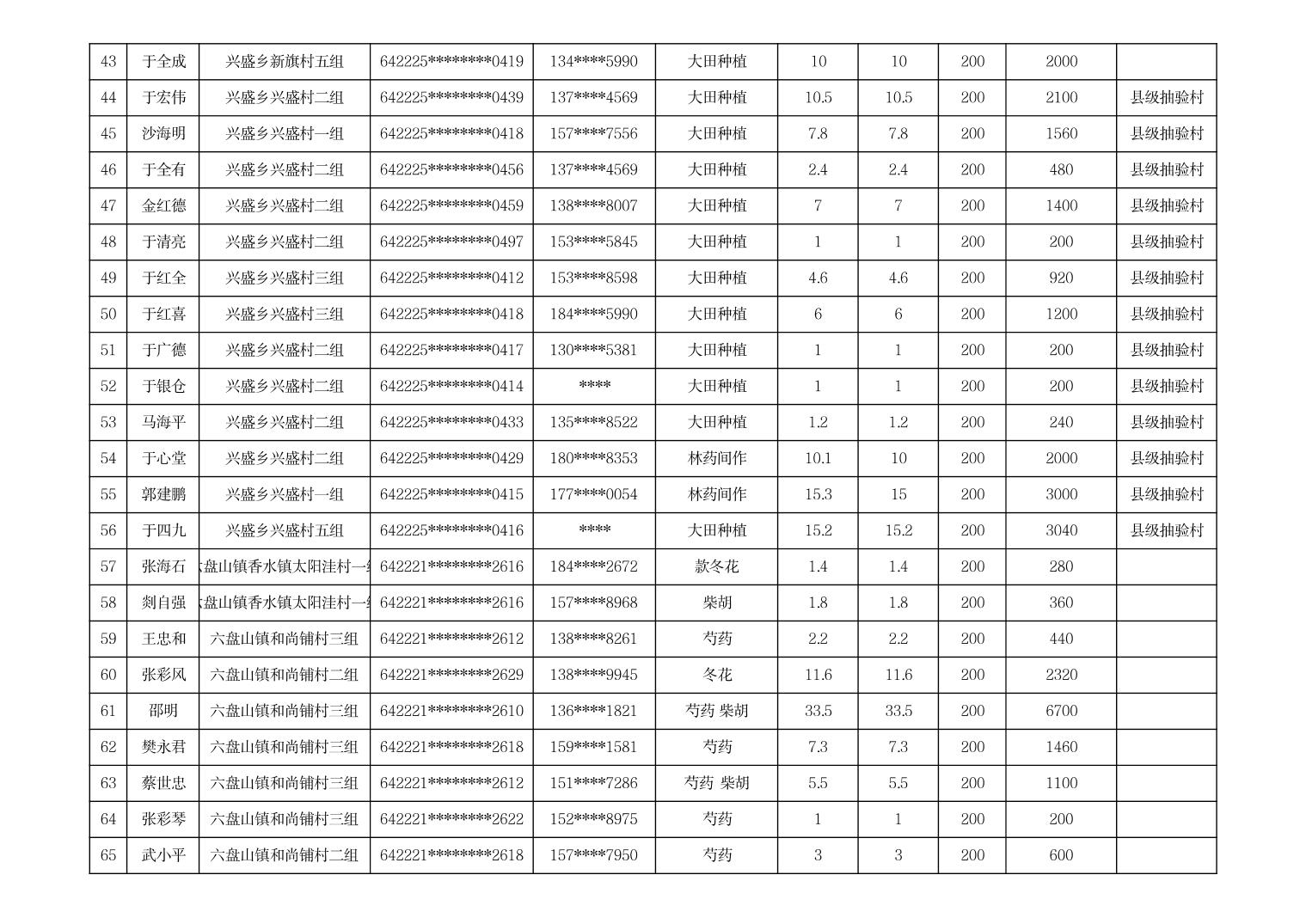
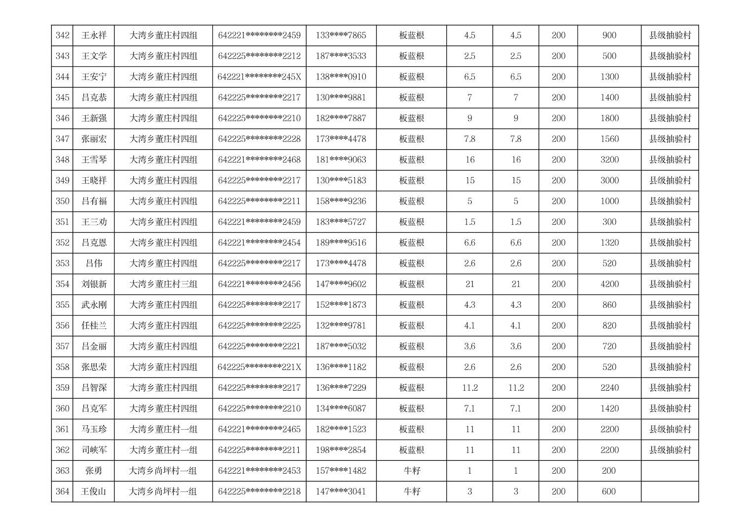
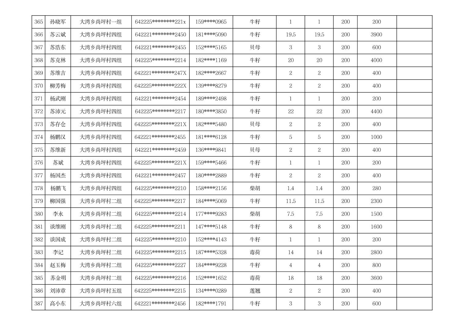
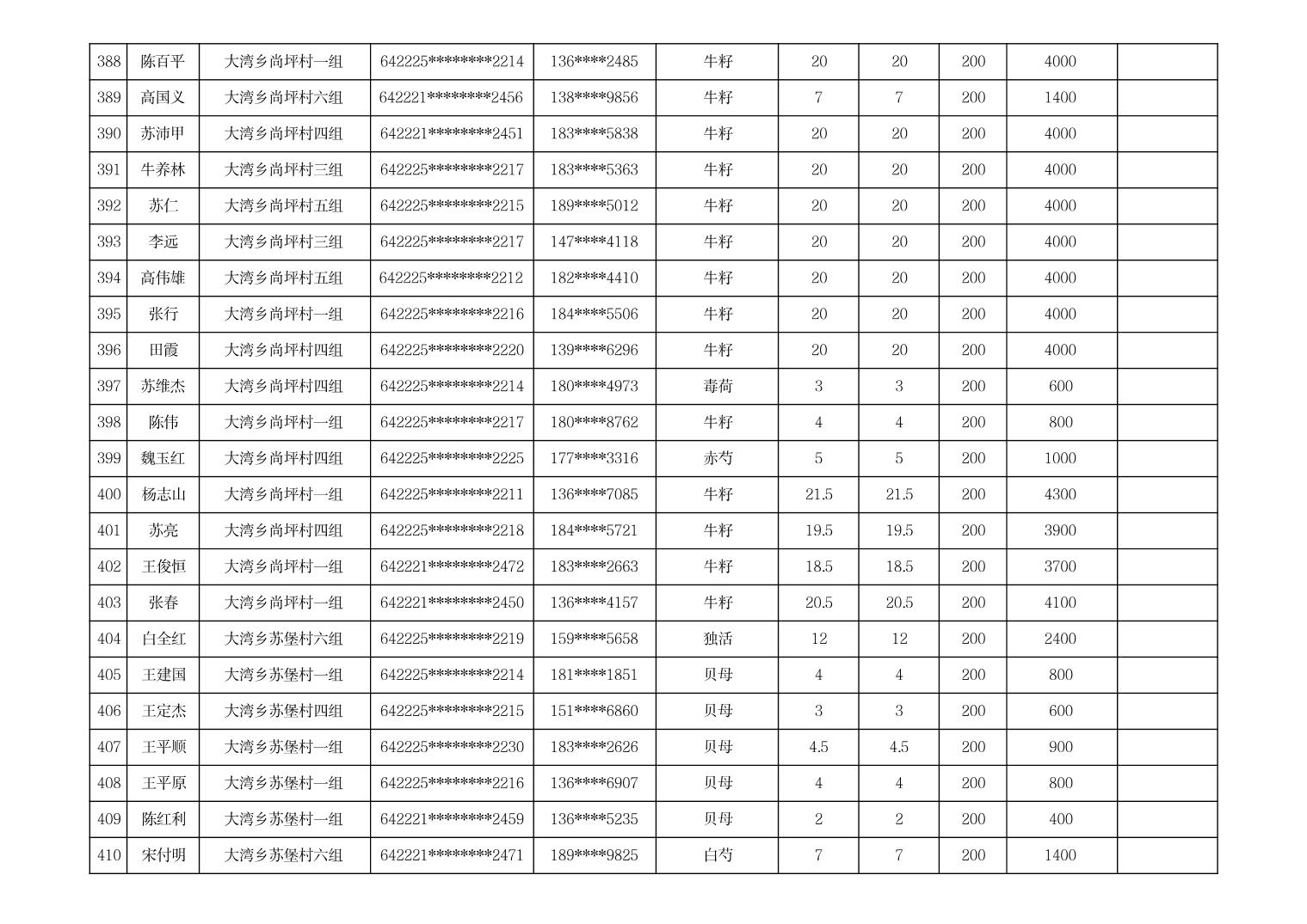
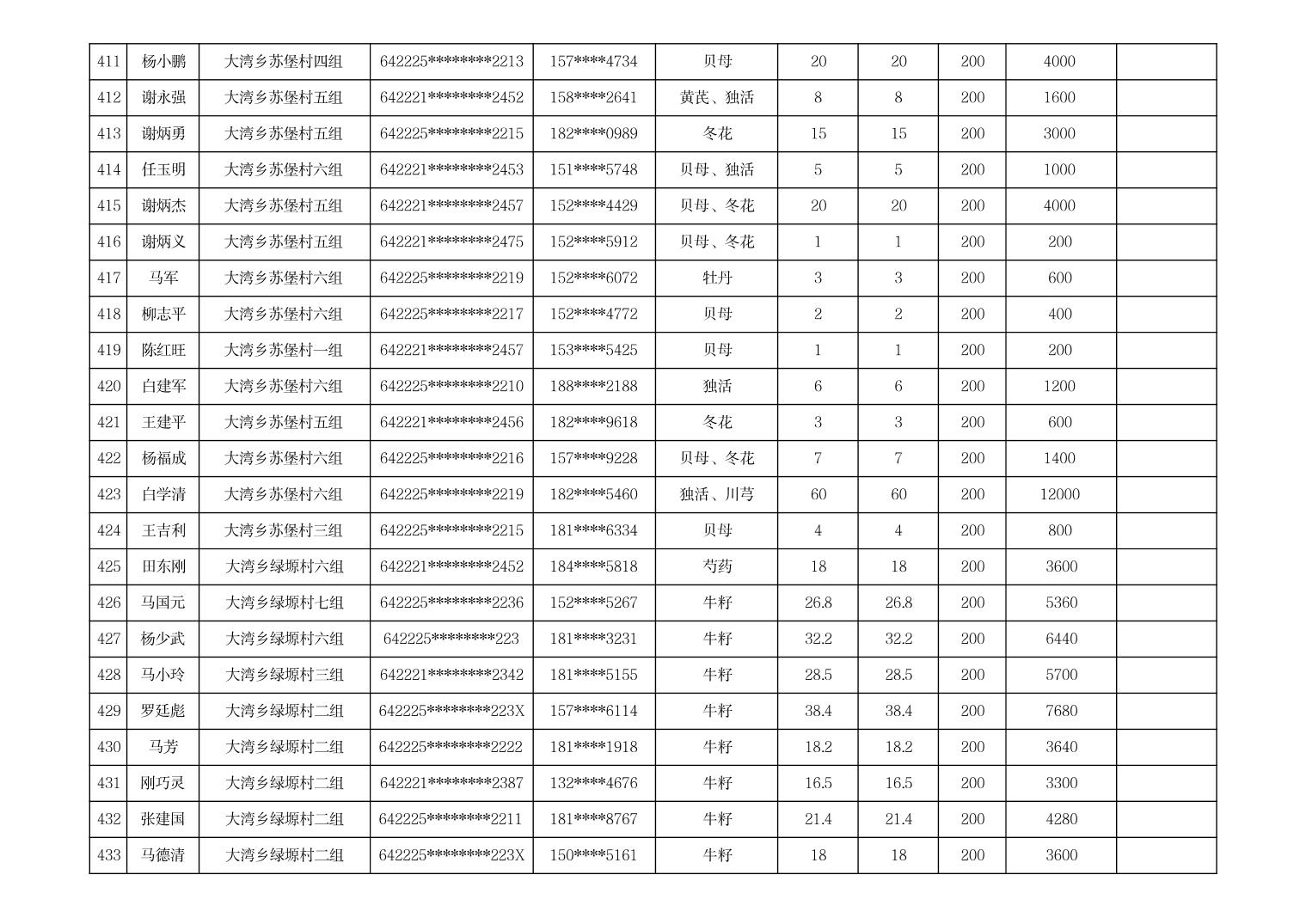
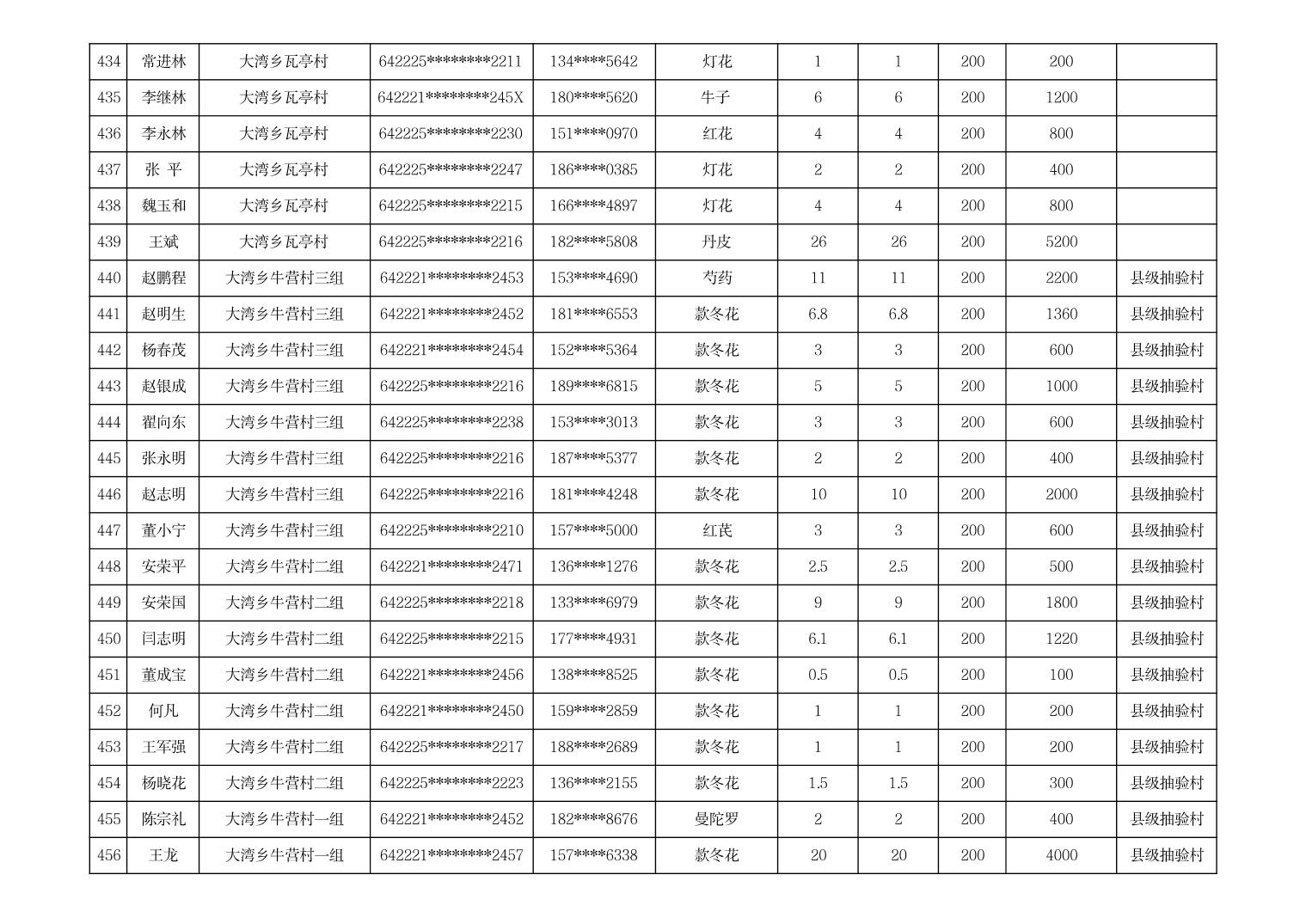
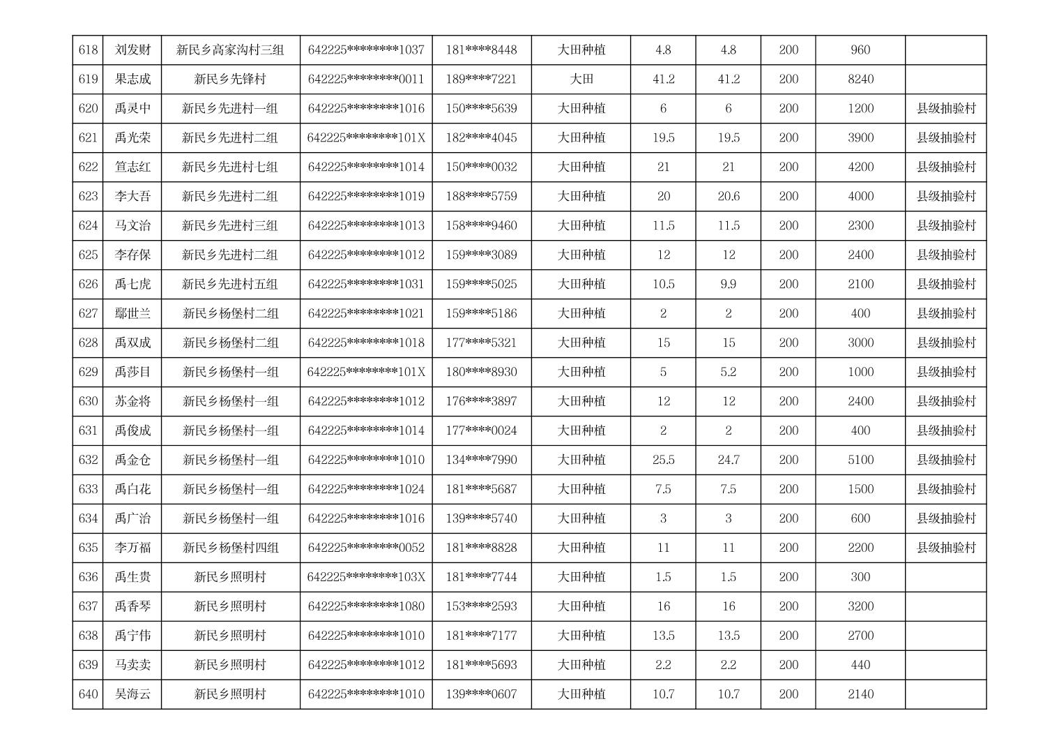
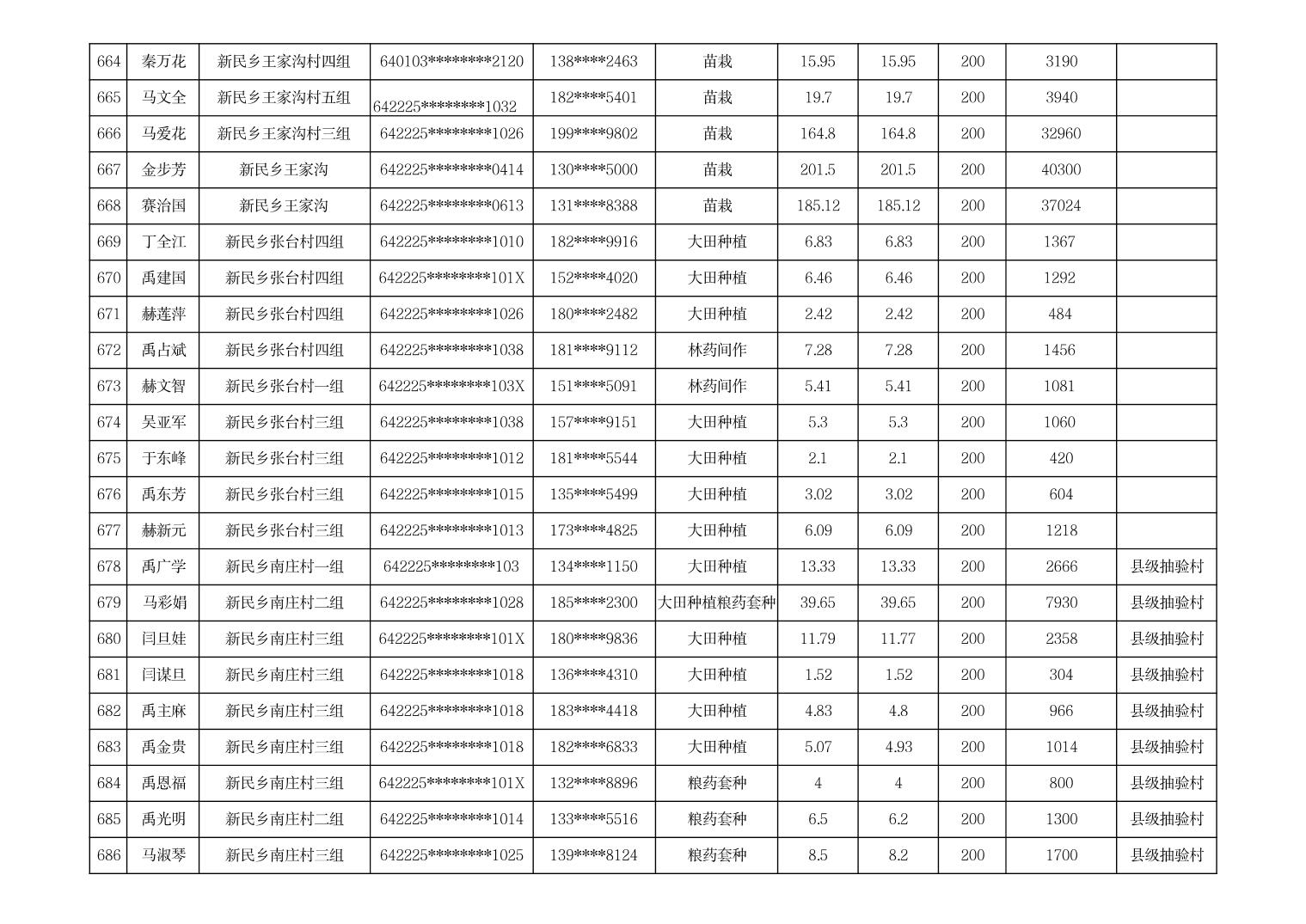
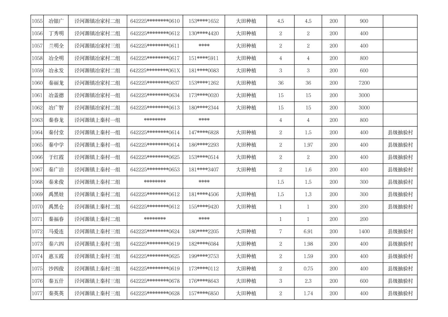
根据《泾源县2024年“八个万级”农业特色产业提质增效工程实施方案》(泾党办发〔2024〕6号)和《泾源县2024年巩固拓展脱贫攻坚成果同乡村振兴有效衔接工作方案》(泾党办发〔2024〕11号)精神,按照县委农办《关于对2024年中药材产业进行验收的通知》,由县农业农村局(乡村振兴局)、发展改革和技术局、财政局组成县级验收工作组,会同各乡(镇)政府、相关项目实施村“两委”,对全县7个乡镇农户、企业、合作社种植的中药材了进行联合验收,现将验收结果公示如下:
验收结果:本次共计验收7个乡镇,验收农户1110户;企业、村集体、家庭农场28家,共计确认中药材种植面积16728.05亩,补贴资金2717290元,其中:农户中药材种植面积10212.85亩,补助资金2024270元;企业、村集体、家庭农场种植面积6515.2亩,补助资金683020元。
现将项目验收结果予以公示,公示时间为2024年9月8日—2024年9月18日。公示期间如对以上结果有异议,请于2024年9月18日18时前,以口头、电话或书面形式,向泾源县农业农村局(乡村振兴局)反映。反映情况要实事求是,署真实姓名,以便调查核实。
举报电话:泾源县农业农村局 0954-5011154
泾源县农业综合服务中心 0954-5011718
来访来信地址:泾源县龙潭街“三馆一中心”五楼(512室)
举报信箱:jyxnjzx@126.com
附表:
1.泾源县2024年中药材种植补贴验收公示表(农户);
2.泾源县2024年中药材种植补贴验收公示表(村集体、企业、家庭农场)。
泾源县农业农村局
泾源县农业综合服务中心
2024年9月8日



















































扫一扫在手机上查看当前页面
国家及部委网站
各省区市政府网站
自治区各部门网站
宁夏各市县政府网站
新闻媒体
主办:泾源县人民政府 承办:泾源县人民政府办公室 电话:0954-5670071 E-Mail:jyxzhfb@163.com
宁公网安备64042402000010号 宁ICP备15000055号 政府网站标识码:6404240001
