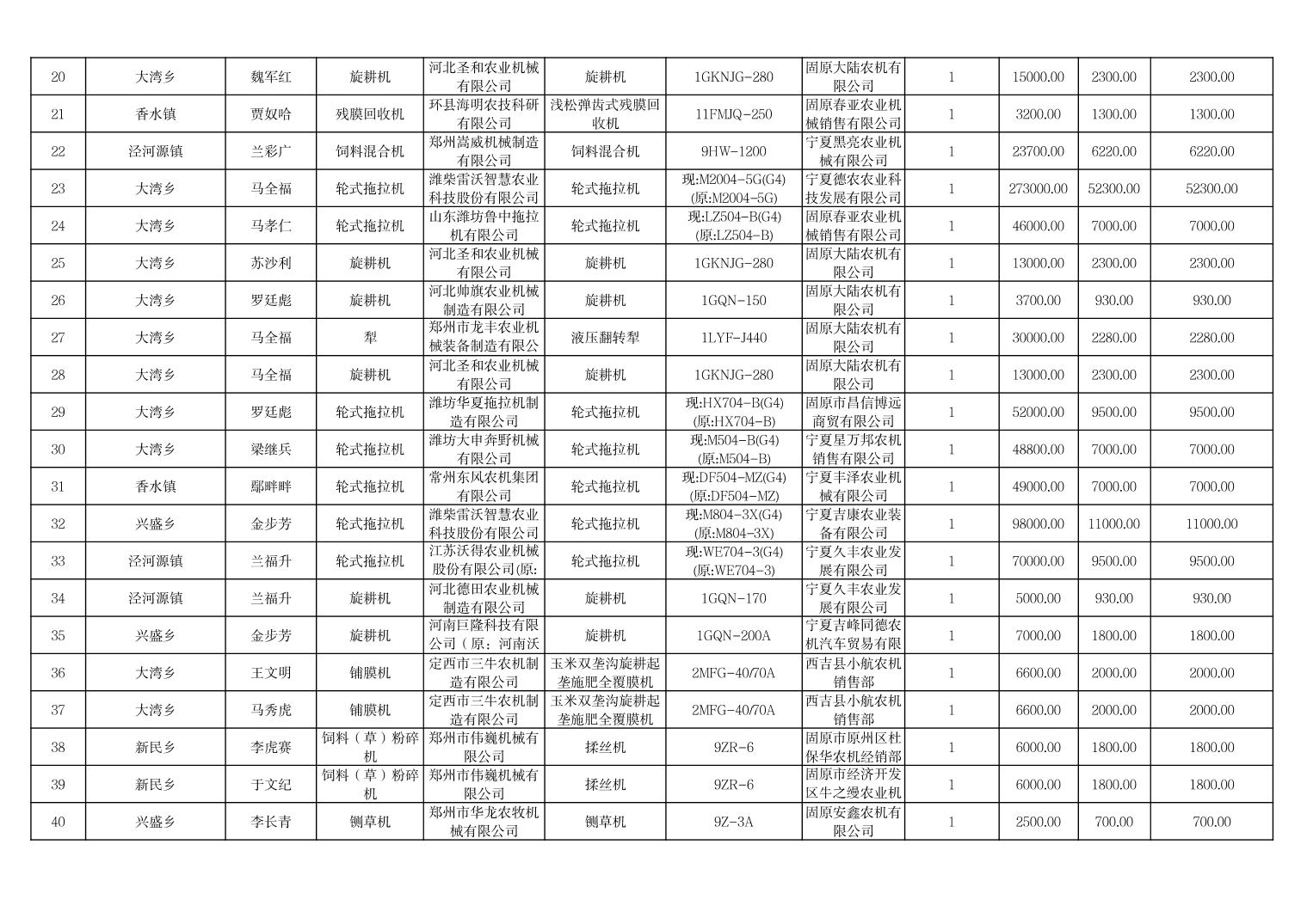
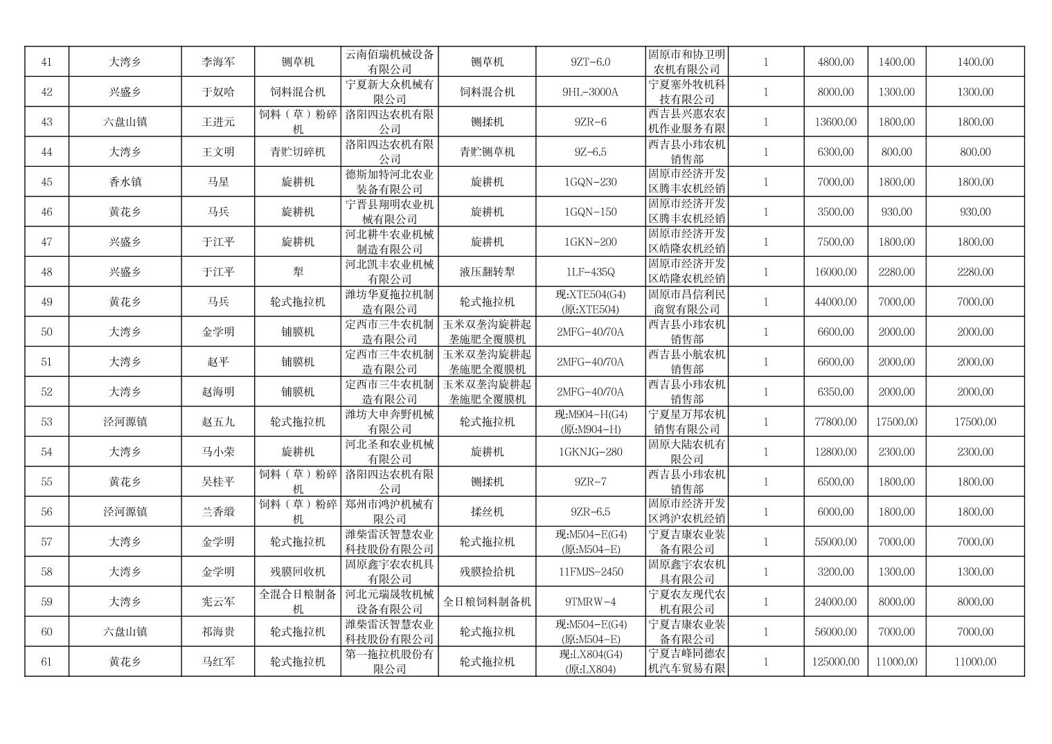
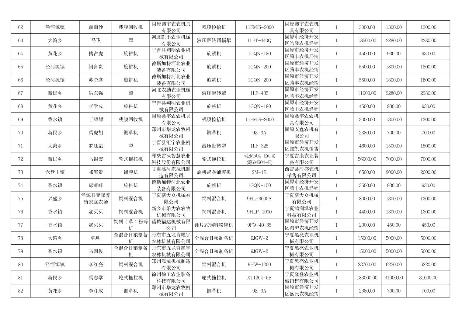
为加强农业财政项目资金管理,充分发挥惠农补贴政策效应,确保农机购置补贴政策规范高效廉洁实施,增强项目实施透明度和群众知晓率,现将泾源县2024年享受农机购置与应用补贴的购机者信息表(第一批)72户,94台(套),共计39.394万元审核验收结果予以公示,接受群众和社会各界监督,公示时间为2024年6月19日— 6月26日(7天)。如有弄虚作假、优亲厚友等违纪违法现象发生,请拨打监督举报电话。
监督举报电话:0954-5011154(泾源县农业农村局)
0954-5011615(泾源县农机中心)
举报时间:上午8:30-12:00,下午14:30-18:30
附件:泾源县2024年享受农机购置与应用补贴的购机者信息表(第三批)
泾源县农业农村局
农业机械化推广服务中心
2024年6月19日





扫一扫在手机上查看当前页面
国家及部委网站
各省区市政府网站
自治区各部门网站
宁夏各市县政府网站
新闻媒体
主办:泾源县人民政府 承办:泾源县人民政府办公室 电话:0954-5670071 E-Mail:jyxzhfb@163.com
宁公网安备64042402000010号 宁ICP备15000055号 政府网站标识码:6404240001
