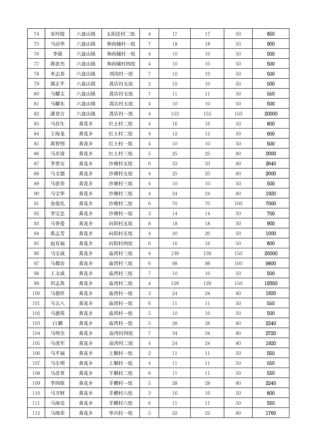
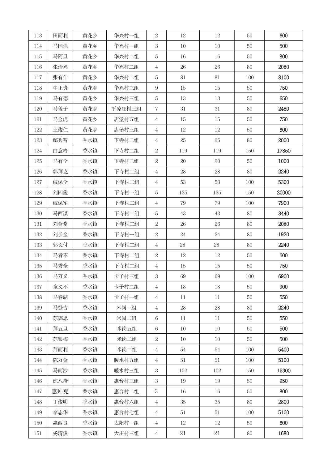
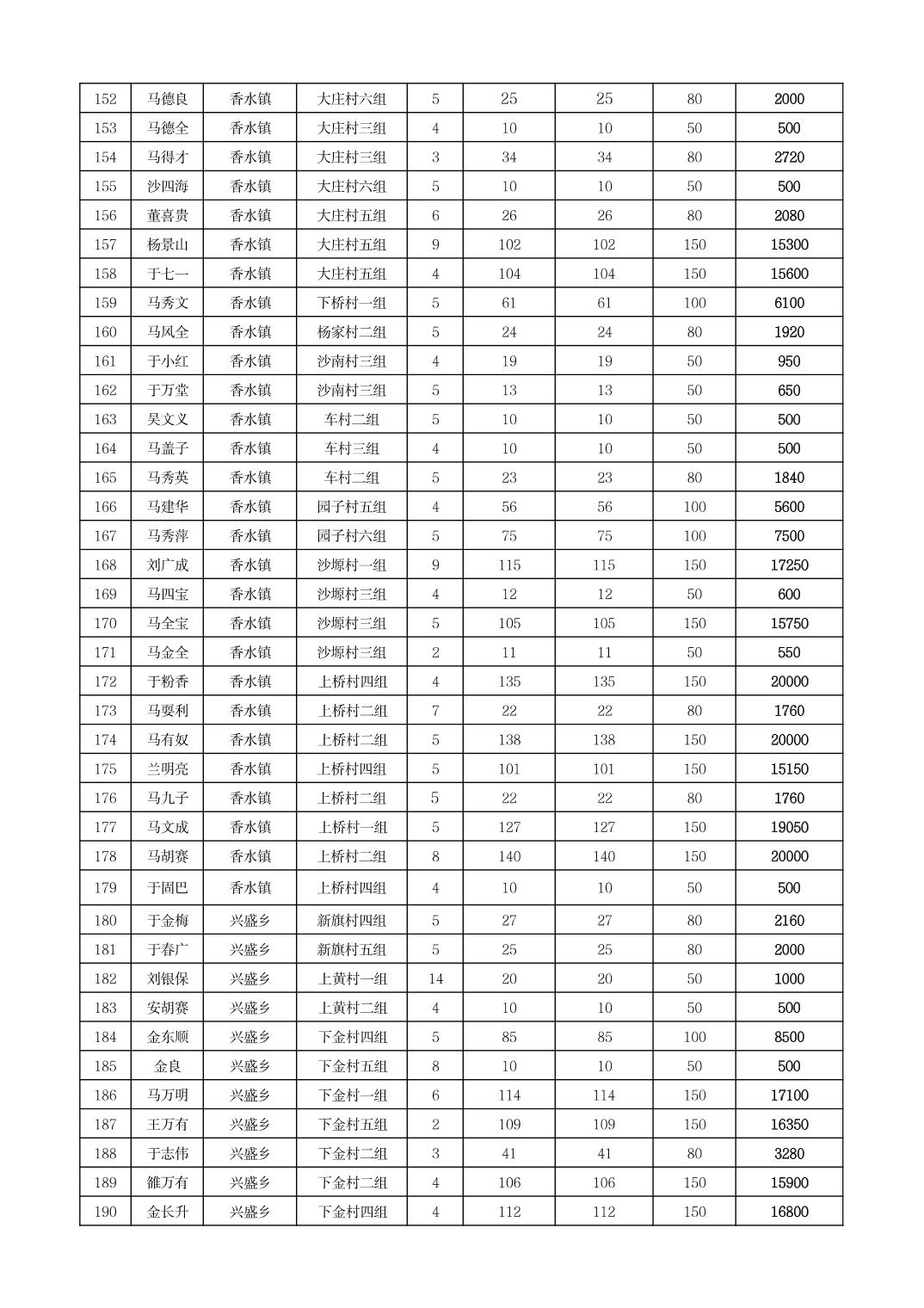
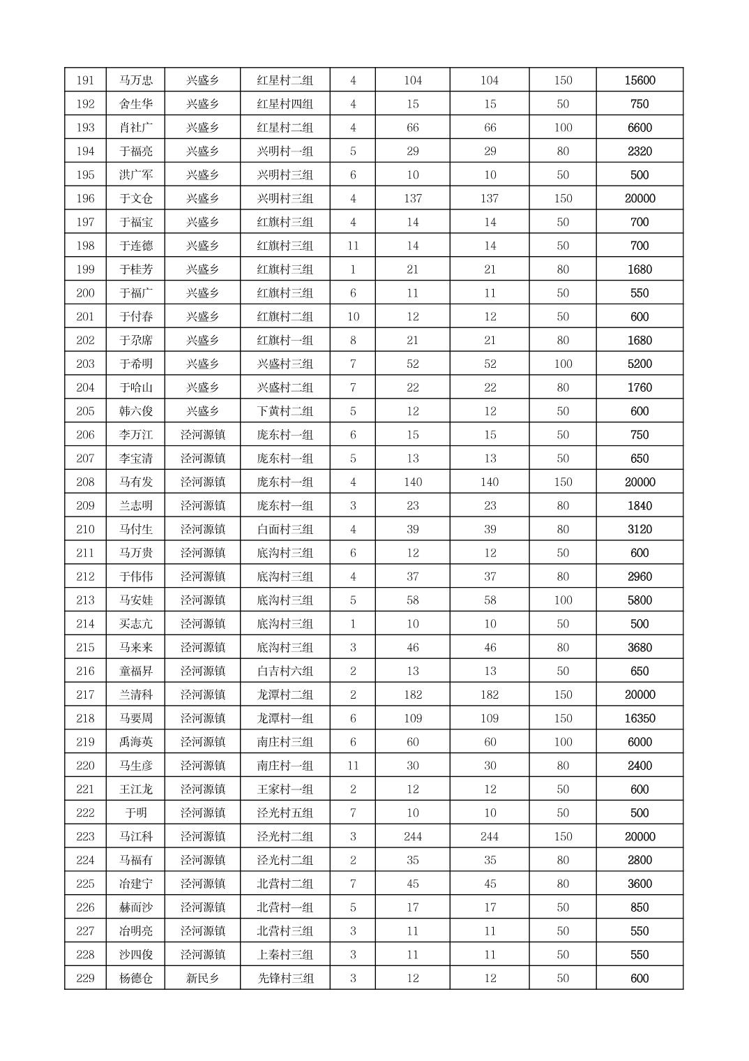
根据《关于印发<泾源县2024年“八个万级”农业特色产业提质增效工程实施方案>的通知》(泾党办发〔2024〕6号)《泾源县2024年中蜂产业发展工作方案》和《关于印发<泾源县2024年巩固拓展脱贫攻坚成果同乡村振兴有效衔接工作方案>的通知》(泾党发[2024]11号)精神,中蜂养殖项目工作在乡、村两级自验公示的基础上,由农业农村局、财政局和乡村振兴局联合组成县级验收组,按照自验数量的30%进行了县级抽验,共抽验7个乡镇 25个行政村151户养蜂户的蜂群7557箱,抽验结果与乡村自验结果相符,入户抽验率达到33.6 %。通过三级验收,享受中蜂养殖项目补贴资金的农户共450户20051箱,补贴资金2130350元。其中脱贫户和监测户249户9922箱,资金1069170元;一般户201户10129箱,补贴资金1061180元。现将验收结果进行公示。
公示期为2024年7月5日—14日。公示期间如对以上结果有异议,请于2024年7月14日18:30前,以口头、电话或书面形式,向农业农村局、财政局、乡村振兴局反映。反映情况要实事求是,署真实姓名,以便调查核实。
举报电话: 泾源县农业农村局(蜜蜂中心)0954-5610536举报时间:上午8:30-12:00,下午2:30-6:30
附件1:泾源县2024年中蜂养殖项目验收结果公示表(脱贫户)
附件2:泾源县2024年中蜂养殖项目验收结果公示表(一般户)
泾源县农业农村局
中华蜜蜂产业发展服务中心
2024年7月5日














扫一扫在手机上查看当前页面