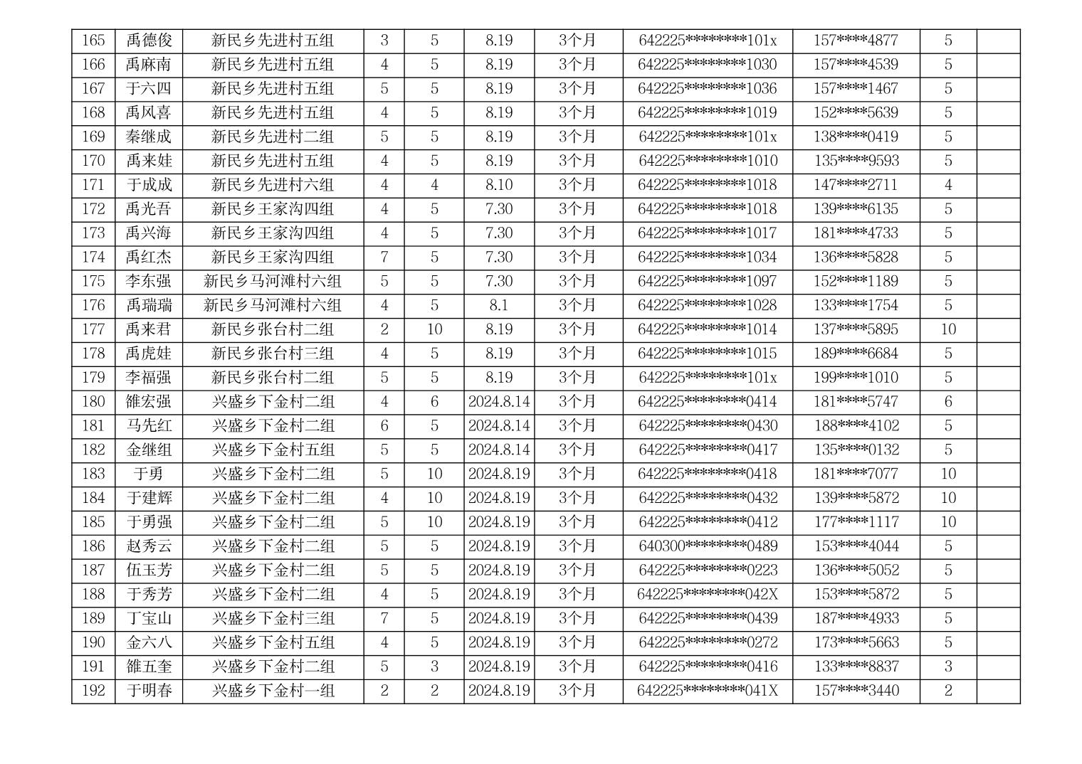
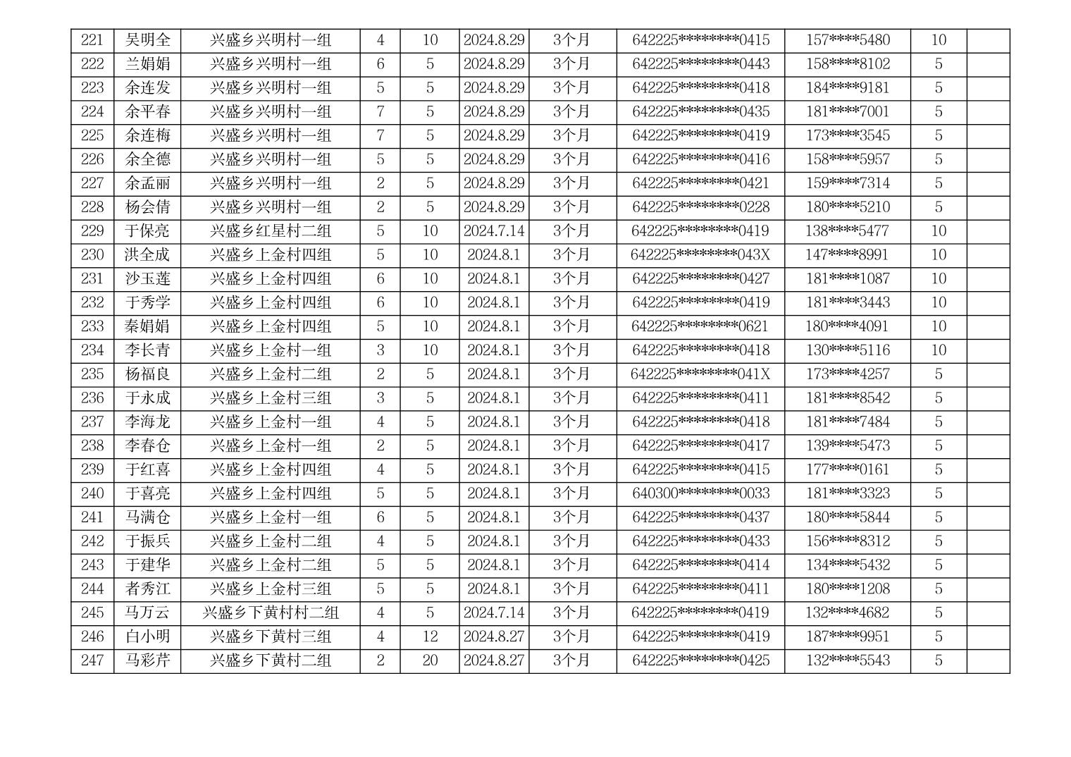
按照《泾源县2024年肉牛产业高质量发展工作方案》要求,通过引进优质肉牛品种,增加育肥牛存栏,提高养殖效益,经村,乡(镇)两级公示,全县第三批(8月份)外购育肥牛引进共验收247户,外购育肥牛1293头,现予以公示。
公示时间为2024年9月16日—2024年9月25日(公示10天)。公示期间如对公示结果有异议,请于2024年9月25日前,以口头、电话或书面形式,向农业农村局反映,反映情况要实事求是,署真实姓名,以便调查核实。
举报电话:0954-5011478
附:泾源县2024年育肥牛引进奖补项目(第三批)验收登记表
泾源县农业农村局
泾源县畜牧技术推广服务中心
2024年9月16日









扫一扫在手机上查看当前页面
国家及部委网站
各省区市政府网站
自治区各部门网站
宁夏各市县政府网站
新闻媒体
主办:泾源县人民政府 承办:泾源县人民政府办公室 电话:0954-5670071 E-Mail:jyxzhfb@163.com
宁公网安备64042402000010号 宁ICP备15000055号 政府网站标识码:6404240001
