当前位置:首页 > 政府信息公开 > 法定主动公开内容 > 农业农村
索引号
640424014/2023-00175
文号
发布机构
泾源县农业农村局
责任部门
有效性
有效
公开日期
2023-08-01
名称
泾源县2022年农村厕所革命项目第四批验收结果公示
泾源县2022年农村厕所革命项目第四批验收结果公示
日期:2023-08-01 来源:泾源县农业农村局
打印页面 关闭页面

用微信扫描二维码
分享至好友和朋友圈

×

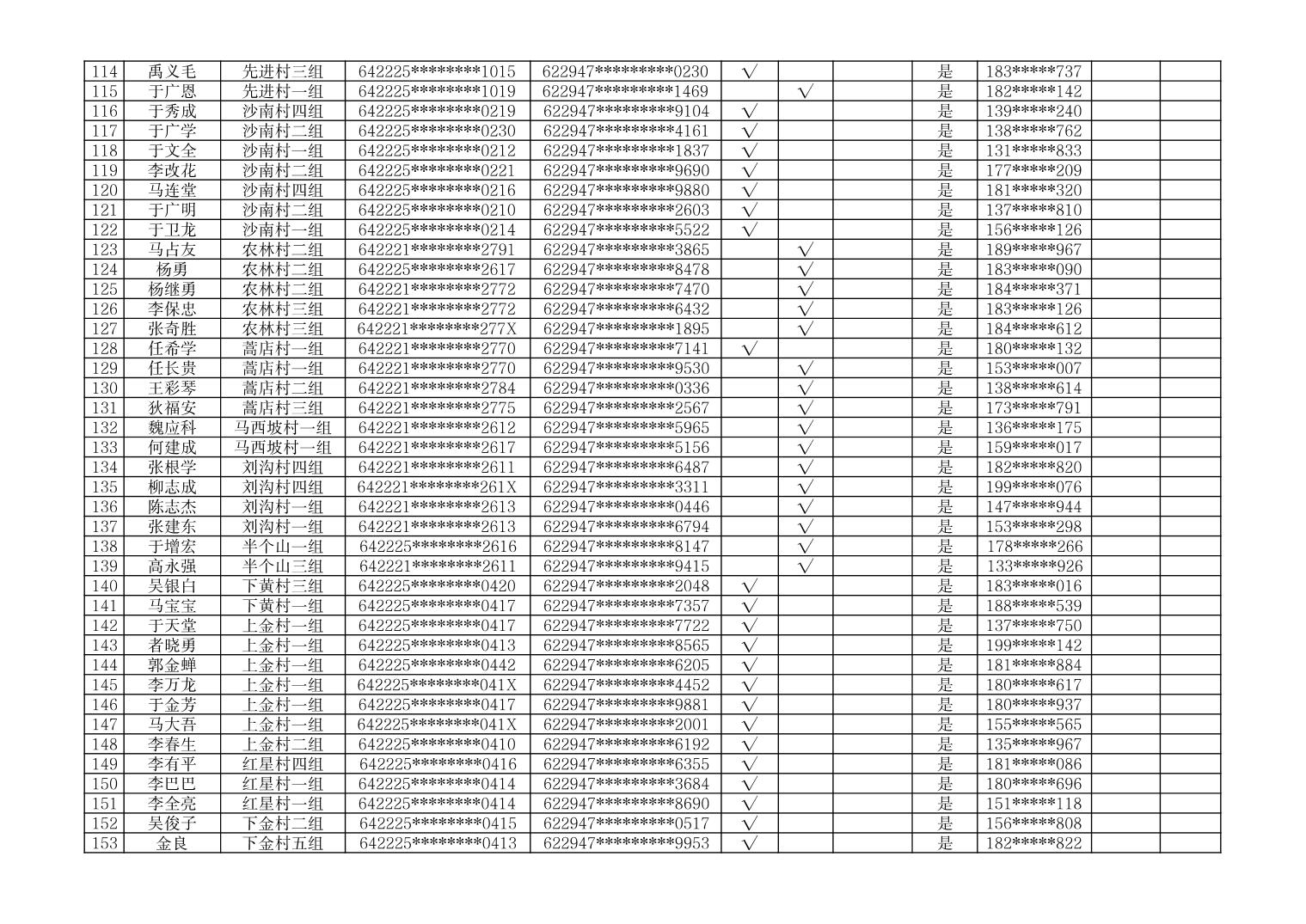
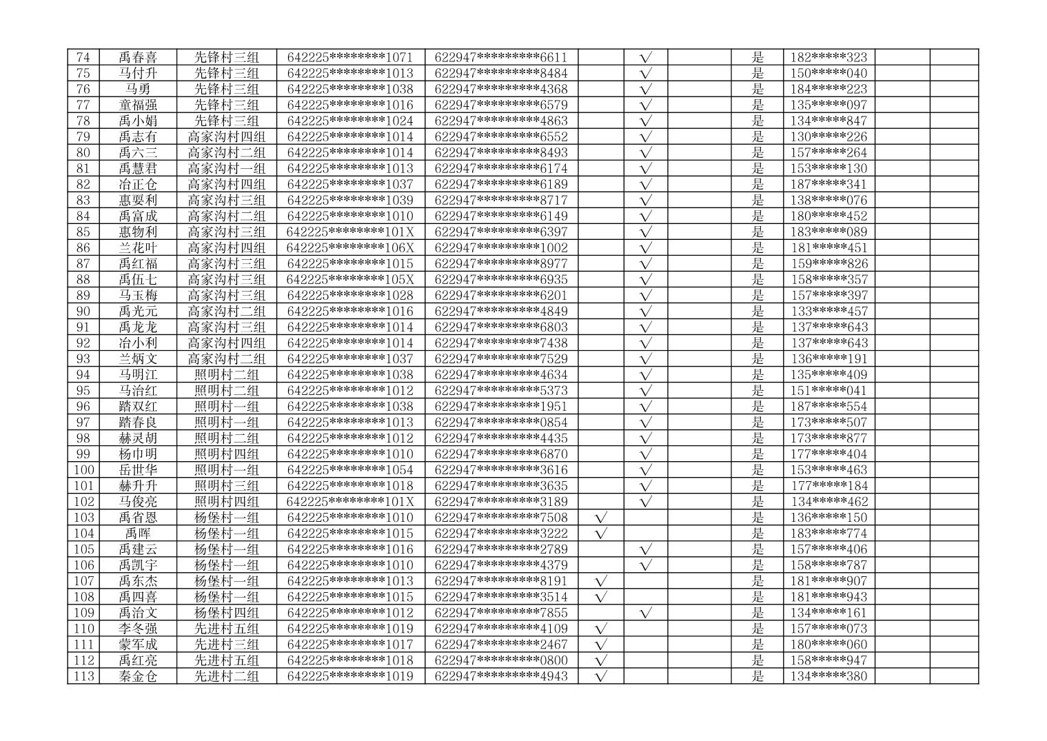
为加强农业财政项目资金管理,增强项目实施透明度和群众知晓率,现将泾源县2022年农村厕所革命项目参与改厕农户通过乡村自验和县级验收组第四批验收合格的201户连接管网水冲式厕所及验收合格的61户、三格式水冲厕所共140户,其中:新民乡115户,泾河源镇40户,兴盛乡14户,黄花乡8户,香水镇7户,六盘山镇17户的验收结果予以公示,接受群众和社会各界监督,公示时间为2023年8月1日—8月10日(10天)。如有弄虚作假、优亲厚友等违纪违法现象发生,请拨打监督举报电话。

监督举报电话:0954-5011154(泾源县农业农村局)

举报时间:上午8:30-12:00,下午14:30-18:30


附件:泾源县2022年第四批农村户改厕补助资金兑付花名册



泾源县农业农村局      

2023年8月1日        

附件下载:

扫一扫在手机上查看当前页面